引言:
什么是链表??
简单来说,链表就是通过指针串联起来的线性结构,每个节点由两部分构成,值域与指针域。指针域内存放的是下一个节点的内存地址。
编辑
链表的储存方式
大家都知道,数组在内存中的空间是连续的。但是链表不是,链表通过,每个指针的指针域,链接每个节点在内存中的位置。
编辑
链表的种类
单链表
以上说的就是单链表!
双链表
单链表中,每个节点只存放一个数据域与一个指针域(内部存放下一个节点的位置)。
而双链表中,每一个节点存放一个数据域与两个指针域,一个指针域存放的是上一个节点的地址,另一个指针域存放的是下一个节点的地址,这样,就能同时向两侧进行查询。
编辑
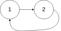
循环链表
简单解释就是,单链表形成了环。
编辑
链表的定义
单链表的定义
struct ListNode{ int val; ListNode* next; ListNode():val(0),next(nullptr){}; ListNode(int x):val(x),next(nullptr){}; };
初始化
ListNode* cur1 = new ListNode(2); ListNode* cur2 = new ListNode(); cur2->val = 2; // (*cur2).val = 2;
双链表的定义
// 定义双向链表节点结构体 struct ListNode { int val; ListNode* prev; // 指向前一个节点的指针 ListNode* next; // 指向后一个节点的指针 ListNode() : val(0), prev(nullptr), next(nullptr) {} ListNode(int x) : val(x), prev(nullptr), next(nullptr) {} };
C++中,是如何运用该链表的!!!
其实这才是重点!哈哈STL库!我最喜欢用了!接下来,就好好的说一下stl!
<list>是C++标准模板库中的一个序列容器。可以不用向<vector>一样,在创建时指定大小。
优点是删除、插入为O(1),缺点是查找速度是O(N)
以下是简单的增删改查的运用。
#include <list> #include <algorithm> #include <iostream> using namespace std; int main(){ list<int> l; // 增 l.push_back(2); l.push_front(1); // 查 for(int i:l) cout<<i;cout<<endl; for(auto it= l.begin(); it!=l.end(); ++it) cout<<*it<<endl; // 改 - 遍历的时候修改 // 删 // 结合这迭代器删 auto it = find(l.begin(),l.end(),3); if(it!=l.end()) l.erase(it); // 必须要判断一下 for(auto it= l.begin(); it!=l.end(); ++it) { if(*it==3) l.erase(it); // 当然也能这样删除一下 } // 引入remove删,直接删除所有 l.remove(3); // 头删、尾删 l.pop_front(); l.pop_back(); return 0; }
好吧,当我写完之后,发现我又不是那么喜欢它了!(┬┬﹏┬┬),好像也不是那么好用。相比于<vector>。
大纲
4、两两交换链表中的节点-(解析)-优雅运用临时节点
5、删除链表的倒数第 N 个结点-(解析)-双指针用法
7、环形链表 II-(解析)-数学思维,Floyed判圈(龟兔赛跑),初步洞悉算法
8、左移右移 -(解析)-蓝桥真题,运用struct与数组,跳出链条问题
( •̀ ω •́ )✧点击这里,继续学习其他模块吧!
题目
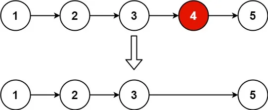
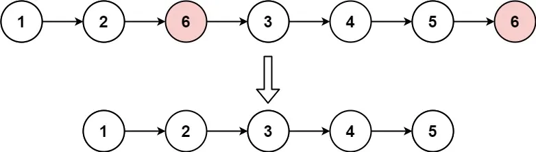
一、移除链表元素
给你一个链表的头节点
head和一个整数val,请你删除链表中所有满足Node.val == val的节点,并返回 新的头节点 。示例 1:
编辑
输入:head = [1,2,6,3,4,5,6], val = 6
输出:[1,2,3,4,5]
示例 2:
输入:head = [], val = 1
输出:[]
示例 3:
输入:head = [7,7,7,7], val = 7
输出:[]
提示:
- 列表中的节点数目在范围
[0, 104]内1 <= Node.val <= 500 <= val <= 50
/** * Definition for singly-linked list. * struct ListNode { * int val; * ListNode *next; * ListNode() : val(0), next(nullptr) {} * ListNode(int x) : val(x), next(nullptr) {} * ListNode(int x, ListNode *next) : val(x), next(next) {} * }; */ class Solution { // 设置一个虚拟节点,可以事半功倍 public: ListNode* removeElements(ListNode* head, int val) { // 整理一个虚拟头节点 ListNode* curHead = new ListNode(-1); curHead->next = head; ListNode* cur = curHead; while(cur->next!=nullptr){ if(cur->next->val==val) cur->next=cur->next->next; else cur=cur->next; } return curHead->next; } };
二、 设计链表
你可以选择使用单链表或者双链表,设计并实现自己的链表。
单链表中的节点应该具备两个属性:
val和next。val是当前节点的值,next是指向下一个节点的指针/引用。如果是双向链表,则还需要属性
prev以指示链表中的上一个节点。假设链表中的所有节点下标从 0 开始。实现
MyLinkedList类:
MyLinkedList()初始化MyLinkedList对象。int get(int index)获取链表中下标为index的节点的值。如果下标无效,则返回-1。void addAtHead(int val)将一个值为val的节点插入到链表中第一个元素之前。在插入完成后,新节点会成为链表的第一个节点。void addAtTail(int val)将一个值为val的节点追加到链表中作为链表的最后一个元素。void addAtIndex(int index, int val)将一个值为val的节点插入到链表中下标为index的节点之前。如果index等于链表的长度,那么该节点会被追加到链表的末尾。如果index比长度更大,该节点将 不会插入 到链表中。void deleteAtIndex(int index)如果下标有效,则删除链表中下标为index的节点。示例:
输入
["MyLinkedList", "addAtHead", "addAtTail", "addAtIndex", "get", "deleteAtIndex", "get"]
[[], [1], [3], [1, 2], [1], [1], [1]]
输出
[null, null, null, null, 2, null, 3]
解释
MyLinkedList myLinkedList = new MyLinkedList();
myLinkedList.addAtHead(1);
myLinkedList.addAtTail(3);
myLinkedList.addAtIndex(1, 2); // 链表变为 1->2->3
myLinkedList.get(1); // 返回 2
myLinkedList.deleteAtIndex(1); // 现在,链表变为 1->3
myLinkedList.get(1); // 返回 3
提示:
0 <= index, val <= 1000- 请不要使用内置的 LinkedList 库。
- 调用
get、addAtHead、addAtTail、addAtIndex和deleteAtIndex的次数不超过2000。
class MyLinkedList { // 创建一个链表,真为链表 public: struct LinkedList{ // 创建节点 int val; LinkedList* next; LinkedList():val(0),next(nullptr){} LinkedList(int x): val(x),next(nullptr){} LinkedList(int x,LinkedList* next): val(x),next(next){} }; MyLinkedList() { // 初始化用的 _dummyHead = new LinkedList(0); // 首元节点 size = 0; } int get(int index) { if(index>=size){ return -1; } LinkedList* _dummyCur = _dummyHead; while(index--){ _dummyCur = _dummyCur->next; } return _dummyCur->next->val; } void addAtHead(int val) { LinkedList* cur = new LinkedList(val); // 创建临时节点 cur->next = _dummyHead->next; _dummyHead->next = cur; size++; } void addAtTail(int val) { LinkedList* cur = new LinkedList(val); // 创建临时节点 LinkedList* _dummyCur = _dummyHead; while(_dummyCur->next != nullptr){ _dummyCur=_dummyCur->next; } _dummyCur->next = cur; size++; } void addAtIndex(int index, int val) { if(index>=size){ // 如果,长度与index相等的情况下 if(index==size) addAtTail(val); return; } LinkedList* cur = new LinkedList(val); // 创建临时节点 LinkedList* _dummyCur = _dummyHead; while(index--){ // 换位置 _dummyCur=_dummyCur->next; } // 插 cur->next = _dummyCur->next; _dummyCur->next = cur; size++; } void deleteAtIndex(int index) { if(index>=size) return; // 无效 LinkedList* _dummyCur = _dummyHead; while(index--){ _dummyCur=_dummyCur->next; } _dummyCur->next= _dummyCur->next->next; // 直接跳过 size--; } private: // 创建本函数中,宏观上需要的东西 int size; LinkedList* _dummyHead; }; /** * Your MyLinkedList object will be instantiated and called as such: * MyLinkedList* obj = new MyLinkedList(); * int param_1 = obj->get(index); * obj->addAtHead(val); * obj->addAtTail(val); * obj->addAtIndex(index,val); * obj->deleteAtIndex(index); */
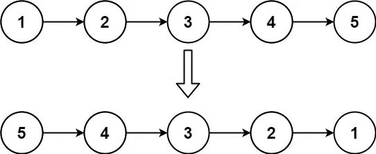
三、反转链表
给你单链表的头节点
head,请你反转链表,并返回反转后的链表。示例 1:
编辑
输入:head = [1,2,3,4,5]
输出:[5,4,3,2,1]
示例 2:
编辑
输入:head = [1,2]
输出:[2,1]
示例 3:
输入:head = []
输出:[]
提示:
- 链表中节点的数目范围是
[0, 5000]-5000 <= Node.val <= 5000进阶:链表可以选用迭代或递归方式完成反转。你能否用两种方法解决这道题?
/** * Definition for singly-linked list. * struct ListNode { * int val; * ListNode *next; * ListNode() : val(0), next(nullptr) {} * ListNode(int x) : val(x), next(nullptr) {} * ListNode(int x, ListNode *next) : val(x), next(next) {} * }; */ class Solution { // 其实就是临时节点的运用 public: ListNode* reverseList(ListNode* head) { // 其实挺简单的,但是为啥我就想这么久呢 ListNode* cur = head; ListNode* temp1 = nullptr; ListNode* temp2 = nullptr; while(cur!=nullptr){ temp1 = cur->next; cur->next = temp2; temp2 = cur; cur = temp1; } return temp2; } };
四、两两交换链表中的节点
给你一个链表,两两交换其中相邻的节点,并返回交换后链表的头节点。你必须在不修改节点内部的值的情况下完成本题(即,只能进行节点交换)。
示例 1:
编辑
输入:head = [1,2,3,4]
输出:[2,1,4,3]
示例 2:
输入:head = []
输出:[]
示例 3:
输入:head = [1]
输出:[1]
提示:
- 链表中节点的数目在范围
[0, 100]内0 <= Node.val <= 100
/** * Definition for singly-linked list. * struct ListNode { * int val; * ListNode *next; * ListNode() : val(0), next(nullptr) {} * ListNode(int x) : val(x), next(nullptr) {} * ListNode(int x, ListNode *next) : val(x), next(next) {} * }; */ class Solution { public: ListNode* swapPairs(ListNode* head) { // 建立几个临时变量存储 // 这两步,是基操 ListNode* dummyCur = new ListNode(0); dummyCur->next = head; ListNode* cur = dummyCur; ListNode* temp1 = nullptr; ListNode* temp2 = nullptr; while(cur->next!=nullptr&&cur->next->next!=nullptr){ temp1 = cur->next; temp2 = cur->next->next; temp1->next = temp2->next; temp2->next = temp1; cur->next = temp2; cur = temp1; } return dummyCur->next; } };
五、删除链表的倒数第 N 个结点
给你一个链表,删除链表的倒数第
n个结点,并且返回链表的头结点。示例 1:
编辑
输入:head = [1,2,3,4,5], n = 2
输出:[1,2,3,5]
示例 2:
输入:head = [1], n = 1
输出:[]
示例 3:
输入:head = [1,2], n = 1
输出:[1]
提示:
- 链表中结点的数目为
sz1 <= sz <= 300 <= Node.val <= 1001 <= n <= sz进阶:你能尝试使用一趟扫描实现吗?
/** * Definition for singly-linked list. * struct ListNode { * int val; * ListNode *next; * ListNode() : val(0), next(nullptr) {} * ListNode(int x) : val(x), next(nullptr) {} * ListNode(int x, ListNode *next) : val(x), next(next) {} * }; */ class Solution { // 简单运用双指针法 public: ListNode* removeNthFromEnd(ListNode* head, int n) { // 要想一趟实现,双指针法 ListNode* dummyHead = new ListNode(0); dummyHead->next = head; ListNode* cur = dummyHead; ListNode* left = dummyHead; n = n+1; while(n--) cur = cur->next; while(cur!=nullptr){ left = left->next; cur = cur->next; } left->next = left->next->next; return dummyHead->next; } };
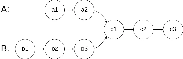
六、链表相交
给你两个单链表的头节点
headA和headB,请你找出并返回两个单链表相交的起始节点。如果两个链表没有交点,返回null。图示两个链表在节点
c1开始相交:编辑
题目数据 保证 整个链式结构中不存在环。
注意,函数返回结果后,链表必须 保持其原始结构 。
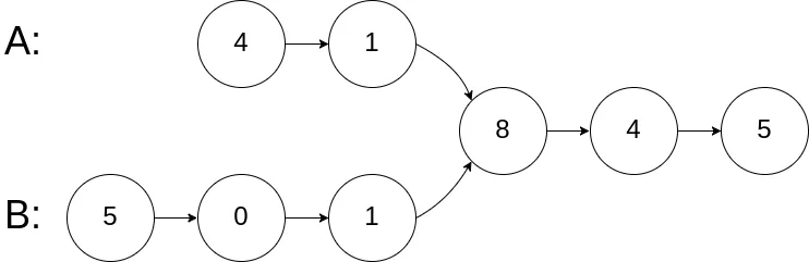
示例 1:
编辑
输入:intersectVal = 8, listA = [4,1,8,4,5], listB = [5,0,1,8,4,5], skipA = 2, skipB = 3
输出:Intersected at '8'
解释:相交节点的值为 8 (注意,如果两个链表相交则不能为 0)。
从各自的表头开始算起,链表 A 为 [4,1,8,4,5],链表 B 为 [5,0,1,8,4,5]。
在 A 中,相交节点前有 2 个节点;在 B 中,相交节点前有 3 个节点。
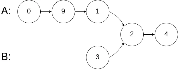
示例 2:
编辑
输入:intersectVal = 2, listA = [0,9,1,2,4], listB = [3,2,4], skipA = 3, skipB = 1
输出:Intersected at '2'
解释:相交节点的值为 2 (注意,如果两个链表相交则不能为 0)。
从各自的表头开始算起,链表 A 为 [0,9,1,2,4],链表 B 为 [3,2,4]。
在 A 中,相交节点前有 3 个节点;在 B 中,相交节点前有 1 个节点。
示例 3:
编辑
输入:intersectVal = 0, listA = [2,6,4], listB = [1,5], skipA = 3, skipB = 2
输出:null
解释:从各自的表头开始算起,链表 A 为 [2,6,4],链表 B 为 [1,5]。
由于这两个链表不相交,所以 intersectVal 必须为 0,而 skipA 和 skipB 可以是任意值。
这两个链表不相交,因此返回 null 。
提示:
listA中节点数目为mlistB中节点数目为n0 <= m, n <= 3 * 1041 <= Node.val <= 1050 <= skipA <= m0 <= skipB <= n- 如果
listA和listB没有交点,intersectVal为0- 如果
listA和listB有交点,intersectVal == listA[skipA + 1] == listB[skipB + 1]
/** * Definition for singly-linked list. * struct ListNode { * int val; * ListNode *next; * ListNode(int x) : val(x), next(NULL) {} * }; */ // 这压根就是一道数学题,一道数学思想 // 还有指针变换时,地址会改变的细节(┬┬﹏┬┬) /* 大概意思就是, 一个指针走了 a+c+b的长度 另一个指针,走了 b+c+a 的长度 最后一定会相交 */ class Solution { public: ListNode *getIntersectionNode(ListNode *headA, ListNode *headB) { // 其实这个应该也挺好写的 ListNode* a = headA; ListNode* b = headB; while(headA!=headB){ // a与b一直在改变 headA = headA!=nullptr ? headA->next : b; headB = headB!=nullptr ? headB->next : a; } return headA; } };
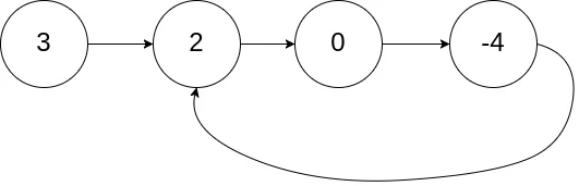
七、环形链表 II
给定一个链表的头节点
head,返回链表开始入环的第一个节点。 如果链表无环,则返回null。如果链表中有某个节点,可以通过连续跟踪
next指针再次到达,则链表中存在环。 为了表示给定链表中的环,评测系统内部使用整数pos来表示链表尾连接到链表中的位置(索引从 0 开始)。如果pos是-1,则在该链表中没有环。注意:pos不作为参数进行传递,仅仅是为了标识链表的实际情况。不允许修改 链表。
示例 1:
编辑
输入:head = [3,2,0,-4], pos = 1
输出:返回索引为 1 的链表节点
解释:链表中有一个环,其尾部连接到第二个节点。
示例 2:
编辑
输入:head = [1,2], pos = 0
输出:返回索引为 0 的链表节点
解释:链表中有一个环,其尾部连接到第一个节点。
示例 3:
编辑
输入:head = [1], pos = -1
输出:返回 null
解释:链表中没有环。
提示:
- 链表中节点的数目范围在范围
[0, 104]内-105 <= Node.val <= 105pos的值为-1或者链表中的一个有效索引进阶:你是否可以使用
O(1)空间解决此题?
/** * Definition for singly-linked list. * struct ListNode { * int val; * ListNode *next; * ListNode(int x) : val(x), next(NULL) {} * }; */ class Solution { // 涉及数学思想,数学的推理过程-->Floyd 判圈算法(也称为龟兔赛跑算法),如果搜的化,直接问数学思想 // 当然,本题也能用哈希方式解决 public: ListNode *detectCycle(ListNode *head) { // 涉及快慢指针 ListNode* fast = head; ListNode* slow = head; while(fast!=nullptr&&fast->next!=nullptr){ fast = fast->next->next; slow = slow->next; if(fast==slow) break; } if(fast==nullptr||fast->next==nullptr) return nullptr; ListNode* ptr = head; while(ptr!=slow){ ptr=ptr->next; slow=slow->next; } return ptr; } };
八、
1. 左移右移
问题描述
小蓝有一个长度为 NN 的数组, 初始时从左到右依次是 1,2,3,…N1,2,3,…N 。
之后小蓝对这个数组进行了 MM 次操作, 每次操作可能是以下 2 种之一:
- 左移 xx, 即把 xx 移动到最左边。
- 右移 xx, 即把 xx 移动到最右边。
请你回答经过 MM 次操作之后, 数组从左到右每个数是多少?
输入格式
第一行包含 2 个整数, NN 和 MM 。
以下 MM 行每行一个操作, 其中 “L xx "表示左移 x,"Rxx,"Rx "表示右移 xx 。
输出格式
输出 NN 个数, 代表操作后的数组。
样例输入
样例输出
2 3 4 5 1
样例说明
样例中的数组变化如下:
[1,2,3,4,5]→[3,1,2,4,5]→[2,3,1,4,5]→[2,3,4,5,1][1,2,3,4,5]→[3,1,2,4,5]→[2,3,1,4,5]→[2,3,4,5,1]
评测用例规模与约定
对于 50%50% 的评测用例, 1≤N,M≤100001≤N,M≤10000.
对于 100%100% 的评测用例, 1≤N,M≤200000,1≤x≤N1≤N,M≤200000,1≤x≤N.
运行限制
- 最大运行时间:3s
- 最大运行内存: 512M
/** * Definition for singly-linked list. * struct ListNode { * int val; * ListNode *next; * ListNode(int x) : val(x), next(NULL) {} * }; */ class Solution { // 涉及数学思想,数学的推理过程-->Floyd 判圈算法(也称为龟兔赛跑算法),如果搜的化,直接问数学思想 // 当然,本题也能用哈希方式解决 public: ListNode *detectCycle(ListNode *head) { // 涉及快慢指针 ListNode* fast = head; ListNode* slow = head; while(fast!=nullptr&&fast->next!=nullptr){ fast = fast->next->next; slow = slow->next; if(fast==slow) break; } if(fast==nullptr||fast->next==nullptr) return nullptr; ListNode* ptr = head; while(ptr!=slow){ ptr=ptr->next; slow=slow->next; } return ptr; } };
八、左移右移
问题描述
小蓝有一个长度为 NN 的数组, 初始时从左到右依次是 1,2,3,…N1,2,3,…N 。
之后小蓝对这个数组进行了 MM 次操作, 每次操作可能是以下 2 种之一:
- 左移 xx, 即把 xx 移动到最左边。
- 右移 xx, 即把 xx 移动到最右边。
请你回答经过 MM 次操作之后, 数组从左到右每个数是多少?
输入格式
第一行包含 2 个整数, NN 和 MM 。
以下 MM 行每行一个操作, 其中 “L xx "表示左移 x,"Rxx,"Rx "表示右移 xx 。
输出格式
输出 NN 个数, 代表操作后的数组。
样例输入
5 3 L 3 L 2 R 1
样例输出
2 3 4 5 1
样例说明
样例中的数组变化如下:
[1,2,3,4,5]→[3,1,2,4,5]→[2,3,1,4,5]→[2,3,4,5,1][1,2,3,4,5]→[3,1,2,4,5]→[2,3,1,4,5]→[2,3,4,5,1]
评测用例规模与约定
对于 50%50% 的评测用例, 1≤N,M≤100001≤N,M≤10000.
对于 100%100% 的评测用例, 1≤N,M≤200000,1≤x≤N1≤N,M≤200000,1≤x≤N.
运行限制
- 最大运行时间:3s
- 最大运行内存: 512M
Java版
import java.util.Scanner; public class ArrayManipulation { public static void main(String[] args) { // 创建 Scanner 对象用于从标准输入读取数据 Scanner scanner = new Scanner(System.in); // 读取数组的长度 n 和操作的次数 m int n = scanner.nextInt(); int m = scanner.nextInt(); // 定义操作结构体数组,这里用两个数组来模拟结构体的功能 // 一个数组存储操作的方向(字符 'L' 或 'R') char[] directions = new char[m]; // 一个数组存储操作对应的数字 int[] numbers = new int[m]; // 读取 m 次操作,将操作方向和对应的数字分别存储到相应数组中 for (int i = 0; i < m; i++) { directions[i] = scanner.next().charAt(0); numbers[i] = scanner.nextInt(); } // 标记数组,用于标记某个数字是否已经被处理过 boolean[] flag = new boolean[n + 1]; // 结果数组,用于存储最终操作后的数组元素 int[] res = new int[n]; // 左指针,用于从结果数组的左边开始填充元素 int st = 0; // 右指针,用于从结果数组的右边开始填充元素 int en = n - 1; // 逆向遍历操作数组,这样可以确保最后一次操作的元素优先被处理 // 因为最后一次操作对元素位置的影响是最终有效的 for (int i = m - 1; i >= 0; i--) { int num = numbers[i]; // 如果该数字已经被处理过,跳过本次操作 if (flag[num]) { continue; } // 如果操作方向是 'L',表示左移操作 if (directions[i] == 'L') { // 将该数字放到结果数组的左边,然后左指针右移一位 res[st++] = num; } else { // 如果操作方向是 'R',表示右移操作 // 将该数字放到结果数组的右边,然后右指针左移一位 res[en--] = num; } // 标记该数字已经被处理过 flag[num] = true; } // 遍历从 1 到 n 的所有数字,将未被操作过的数字按顺序添加到结果数组中 for (int i = 1; i <= n; i++) { if (!flag[i]) { res[st++] = i; } } // 输出结果数组,元素之间用空格分隔,最后一个元素后面不跟空格 for (int i = 0; i < n - 1; i++) { System.out.print(res[i] + " "); } System.out.print(res[n - 1]); // 关闭 Scanner 对象,释放资源 scanner.close(); } }
C++版:
#include <iostream> using namespace std; // 且看,本题是如何绕开权重,思考问题的(┬┬﹏┬┬),受教了 // 将每一步操作,存起来,后续满满释放的 const int N = 1e6+5; // 全局变量自带初始化 struct Op{ char c; int num; }op[N]; bool flag[N]; // 表示是否标记过 int res[N]; // 存放结果 int main(){ int n,m; cin>>n>>m; for(int i=0; i<m; ++i){ // 存放 cin>>op[i].c>>op[i].num; } int st=0,en=n-1; for(int i=m-1; i>=0; --i){ // 逆向思维,破解权重问题 if(flag[op[i].num]) continue; if(op[i].c=='L') res[st++]=op[i].num; else res[en--]=op[i].num; flag[op[i].num] = true; // 表示已经遍历过 } for(int i=1; i<=n; ++i){ if(!flag[i]) res[st++]=i; } for(int i=0; i<n-1; ++i){ cout<<res[i]<<" "; } cout<<res[n-1]; return 0; }
知识点
一、什么是算法 :: 基础认知 ::
- 算法是一组明确的指令,用于完成任务,无论是否涉及数学。(如食谱、整理文件)
- 算法的核心并不依赖于数学,而是基于明确的步骤与逻辑去解决问题,这才是关键。
- 数学更多的只是起到优化算法的作用。
借鉴博客:
3、链表理论基础
5、什么是算法
( •̀ ω •́ )✧点击这里,继续学习其他模块吧!



