物理AI如何开始重塑我们的世界

简介: 本文提出AI驱动数字孪生的统一四阶段框架:建模(物理信息AI)、镜像(生成式AI实时同步)、干预(预测与优化)和自主管理(大模型与智能体)。综述十一大领域应用,剖析可扩展性、可解释性等共性挑战,指明跨学科演进方向。(239字)

作者:Rong Zhou,Dongping Chen,Zihan Jia,Yao Su,Yixin Liu,Yiwen Lu,Dongwei Shi,Yue Huang,Tianyang Xu,Yi Pan,Xinliang Li,Yohannes Abate,Qingyu Chen,Zhengzhong Tu,Yu Yang,Yu Zhang,Qingsong Wen,Gengchen Mai,Sunyang Fu,Jiachen Li,Xuyu Wang,Ziran Wang,Jing Huang,Tianming Liu,Yong Chen,Lichao Sun,Lifang He

摘要

数字孪生作为物理系统的精确数字表示,通过人工智能技术的整合,已从被动的仿真工具演变为智能且自主的实体。本文提出了一种统一的四阶段框架,系统性地描述了数字孪生生命周期中的人工智能整合,涵盖建模、镜像、干预和自主管理。通过综合现有技术和实践,我们提炼出一个统一的四阶段框架,系统性地描述了人工智能方法如何嵌入数字孪生生命周期:

(1) 通过基于物理信息驱动的AI方法对物理系统进行建模;

(2) 实时镜像物理系统;

(3) 通过预测建模、异常检测和优化策略对物理系统进行干预;

(4) 利用大语言模型、基础模型和智能体实现自主管理。

我们深入分析了基于物理的建模与数据驱动学习之间的协同作用,强调了从传统数值求解器向物理信息驱动的模型和基础模型的转变。此外,我们探讨了生成式AI技术如何将数字孪生转变为具有推理、通信和创造性场景生成能力的主动且自我提升的认知系统。通过对医疗健康、航空航天、智能制造、机器人技术和智慧城市等十一个应用领域的广泛综述,我们识别出包括可扩展性、可解释性和可信度在内的普遍挑战,以及特定领域的需求。本文揭示了AI驱动的数字孪生正朝着更智能、互操作性强且符合伦理规范的生态系统演进,并指明了未来跨学科研究与发展的关键方向。

1 引言

“不能创造的,我就不理解。”——理查德·费曼

数字孪生作为物理实体的精确数字表示,精心设计以维持与现实世界系统的双向连接,实现状态同步,用于监测、预测、优化和决策支持。超越简单复制,数字孪生体现了从静态数字镜像到动态、持续学习的现实映射的范式转变。由于数字孪生提供的预测分析、动态系统仿真和运营优化等固有优势,该技术已在医疗保健、生物领域、城市规划与管理、制造业和科学等领域广泛应用。NVIDIA创始人兼CEO黄仁勋在柏林地球虚拟化引擎倡议峰会的主题演讲中指出,人工智能和加速计算将彻底改变我们对复杂系统的理解,强调了数字孪生从分析工具演变为能够学习、预测并作用于物理世界的智能体的新时代。

技术上,数字孪生通过整合被研究对象的全面传感器数据来运行,其中传感器被战略性部署,用于监测关键性能指标,包括能量输出、温度和天气状况。该数据持续传输至处理系统,用于更新物理对象的虚拟模型。利用这一实时更新的数字模型,可进行多种仿真以分析性能问题并制定改进方案。该过程的最终目标是从仿真中提取洞见,进而应用于提升现实世界中的对象,优化其效率和功能。一个更熟悉的例子是Google Map,它融合卫星图像、GPS数据和实时交通信息,保持物理世界的实时更新镜像。这种感知、建模与适应之间的持续反馈循环,构成了AI驱动数字孪生系统的基础——这些系统不仅反映世界,还能从中学习以指导现实行动。

多年来,数字孪生的概念已显著发展,越来越多地与AI突破相结合,改变了我们模拟和预测物理系统行为的方式。数字孪生与ML紧密相关,提升了各行业的预测性维护和决策能力。早期系统依赖传统的机器学习算法来支持预测性维护和故障检测。然而,随着数据量和系统复杂性的增加,深度学习成为数字孪生的认知核心,使其能够提取复杂的时空模式并模拟复杂动态。CNN、RNN和GNN等架构使数字孪生能够从建模观测到的行为转向推理未观测到的机制。这种整合标志着根本性的转变:AI不再仅仅是数字孪生中的一个组件,而是驱动其运作的智能。

image.gif 01.png

图1:AI驱动的数字孪生框架与应用全景。四阶段生命周期将数字孪生概念化为演进的智能系统:第一阶段,通过物理信息AI和观测数据描述世界;第二阶段,通过生成式AI将世界同步镜像为数字孪生;第三阶段,利用预测性AI进行预测、诊断和优化以干预世界;最终,通过由大语言模型和基础模型驱动的智能体AI实现世界的自主管理。该概念框架适用于广泛的应用领域。

随着大规模AI模型和基础架构的出现,AI与数字孪生的协同作用进入前所未有的阶段。近期突破,从基于LLM的自主代理到世界模型,展示了AI如何模拟、推理甚至想象复杂的物理系统。例如,应用LLM的多智能体系统框架用于自动化数字孪生中的过程仿真参数化。此外,NVIDIA Cosmos提供了一个世界基础模型,可生成用于机器人和自主系统数字孪生仿真的逼真合成环境。

在AI驱动的数字孪生技术快速多样化的背景下,亟需整合相关知识。本文对数字孪生技术进行了以AI为中心的全面综述。我们首先追溯数字孪生的发展历程以奠定概念基础,随后提出一个四阶段生命周期框架,系统阐述AI赋能数字孪生的路径:通过基于物理的方法和数据整合对物理孪生体进行建模,将其转化为可执行模拟器,通过预测、异常检测和优化进行干预,最终借助大语言模型和智能代理实现自主管理。鉴于数字孪生的多样化应用场景,我们将探讨AI技术如何提升其在医疗、生物系统和工业等领域的应用效果。最后,我们将分析AI技术应用于数字孪生所面临的挑战与问题,并提出未来研究方向的建设性建议。

1.1 主要贡献

据我们所知,本文提供了以AI为中心的数字孪生概念综合,将数字孪生视为演化智能系统。与以往特定领域的综述不同,我们提出了一种统一框架,整合了该新兴范式的物理、数字和认知层。主要贡献如下:

• 我们将数字孪生概念化为演进的AI系统,提炼出四个阶段的生命周期:描述物理实体、将物理实体镜像为数字孪生、干预物理实体,以及自主管理物理实体。这种分层视角揭示了AI如何持续提升数字孪生的保真度、智能性和自主性。

• 我们对基于物理的建模与数据驱动学习的融合进行了深入分析,强调从传统数值方法向物理信息神经网络、神经算子和物理系统基础模型的过渡。这种综合分析阐明了物理原理与学习算法如何共同提升数字孪生建模的可解释性、泛化能力和可靠性。

• 我们分析了生成式AI的快速发展,包括大语言模型、扩散模型和世界模拟器,并探讨了它们在数字孪生中实现推理、交流和想象的作用。这些技术将数字孪生从被动的仿真工具转变为具有自主理解能力和创造性场景生成能力的主动、自我改进的认知系统。

• 通过对十一个应用领域的广泛综述,我们识别出可扩展性、可解释性和可信度等普遍挑战,以及医疗、航空航天、能源和教育等领域的特定需求。这些观察揭示了AI驱动的数字孪生正朝着更智能、互操作性更强且符合伦理的生态系统演进,指明了未来探索和跨学科合作的关键方向。

1.2 论文结构

为引导读者理解这一跨学科综合研究,本文分为七个主要部分。第2节“数字孪生的历史”回顾了数字孪生系统的概念起源和技术演变。第3至6节构成方法论核心,提出渐进式框架,通过数字孪生对物理系统进行建模、镜像、干预和自主管理。

具体而言,第3节“物理系统的建模”阐述了如何通过基于物理和数据驱动的建模方法表示物理系统;第4节“将物理系统镜像至数字孪生”解释了这些模型在虚拟仿真器中的实例化与可视化过程;第5节“通过数字孪生干预物理系统”聚焦于预测建模、异常检测和优化技术,以支持人在回路的决策;第6节“面向数字孪生的自主管理”推进该范式向AI驱动的自主性发展,强调大语言模型、基础模型和智能代理作为自管理数字孪生的使能技术;第7节“应用案例”展示了这些方法论原则在医疗健康、航空航天、智能制造和机器人等领域的应用,体现了数字孪生技术在现实系统中的广泛影响;第8节“开放挑战与未来方向”探讨了关键的开放性问题,并提出了构建可扩展、可信且自主的数字孪生系统的未来研究方向。

2 数字孪生的历史

数字孪生的概念由迈克尔·格里夫斯于2002年在密歇根大学的一次演讲中正式提出。该演讲强调建立一个产品生命周期管理中心,整合现实与虚拟空间及数据流,以提升产品开发与管理的效率和创新能力。尽管围绕数字孪生的术语多年来有所演变,但融合数字与物理实体的核心理念始终未变。

有趣的是,数字孪生的应用可追溯到20世纪60年代,远早于该术语的提出。NASA是早期采用者之一,在太空任务中使用数字孪生的基本形式。一个典型案例是阿波罗13号任务,其中基于数字孪生概念的模拟在将宇航员安全带回地球的过程中发挥了关键作用。这些早期应用展示了数字孪生在提升设计、维护和运营效率方面的潜力,适用于各行业。

罗尔斯·罗伊斯等公司率先采用数字孪生技术,根据发动机部件的特定几何形状定制维修流程,实现维护的自动化和优化。在航空航天领域,波音在787梦想客机的电池系统中应用数字孪生技术,以提升安全性并更有效地管理风险。空客也采用该技术,在A350 XWB飞机上利用数字孪生技术实现实时性能监控,显著提升燃油效率并减少排放。

数字孪生技术的最新进展持续推动多个行业的重大创新。在制造业、医疗、建筑、汽车和城市规划等领域,数字孪生成为不可或缺的工具。例如,特斯拉利用数字孪生加速车辆开发,梅奥诊所利用数字孪生推进个性化医疗。此外,建筑师和城市规划师借助数字孪生提升项目管理和城市发展,整合AI和IoT以优化资源利用并提升成效。

3 物理孪生体建模

在当今技术领域,AI与数字孪生的融合正受到广泛关注,推动多样化应用的发展。AI技术有望提升数字孪生的智能性与自主性。例如,与传统基于物理的方法相比,物理信息AI系统能显著改进数字孪生的多个方面,如自动化建模过程和提升计算效率。此外,通过学习物理系统的传感器数据和仿真数据,AI能提供更高效准确的预测和故障检测。另外,过去两年中,生成式AI和LLMs对数字孪生产生了深远影响,尤其在仿真相关任务中。AI的持续进步不断突破数字孪生的边界,预示着各行各业智能互联系统的新时代。

3.1 物理系统建模

物理知识长期以来是传统数字孪生的基础,通过物理定律的数学表示,为理解与预测复杂系统提供了核心工具。物理信息AI通过结合AI技术与物理知识,有效解决了传统物理方法中固有的多种局限性。本节将回顾数字孪生中的物理方法,指出其局限性,并总结近期物理信息AI模型的新见解。

image.gif 02.png

图2:基于物理的方法与AI系统。(a) 物理信息神经网络的工作流程,通过正则化和域约束将先验知识整合到学习流程中。(b) PINNs架构,将数据、PDEs及边界/初始条件整合到统一损失函数中。(c) 深度算子网络结构,通过分离的分支和主干网络建模非线性算子。(d) 傅里叶神经算子框架,利用傅里叶变换高效学习PDE问题中的解算子。

3.1.1 基础物理方法

在AI出现之前,研究人员主要依赖基于物理的方法处理数字孪生中的仿真、预测、分析和控制等任务,计算结果源自数值方法。本节将介绍这些方法中的几个重要领域,首先是构建偏微分方程,然后通过数值方法求解这些PDEs,最后通过不确定性量化评估误差。

偏微分方程。计算物理学长期以来是构建数字孪生传统仿真的基础学科,主要专注于PDE的数值解。例如,在构建流体现象仿真器时,通常需要求解纳维-斯托克斯方程。这些方程被广泛应用于航空航天、飞机、天气和石油管道等领域的仿真器,均涉及流体动力学。同样,在固体物理学和材料科学中,热方程用于模拟热传导过程,塑性方程用于模拟材料中的应力变化。这些仿真被应用于建筑、制造及其他行业的数字孪生构建。此外,反应-扩散方程常用于建模物质或信号的扩散过程,例如生化反应和肿瘤生长。

这些方程在数字孪生仿真中起关键作用,尤其在医疗行业和生物实体中。除描述自然现象外,PDE还常用于模拟各种社会现象。例如,传染病的传播通常由SIR模型描述;交通流模型用于模拟交通状况并预测拥堵。在经济学和金融领域,投资策略和期权定价通常分别用HJB方程和布莱克-斯科尔斯方程描述。

数值方法。为在计算物理学中准确获取方程的数值解,必须进行离散化处理。该过程通过将计算域划分为离散网格,并在这些网格点上近似求解。基于此策略,已开发出多种数值方法,每种方法均针对特定的模拟挑战。有限差分法通过使用函数值的差分来近似网格点处的导数,简化了实现过程;但通常精度和效率不足。谱方法则使用不同的基函数全局表示解,提供高分辨率(即谱精度)。尽管精度高,谱方法通常仅适用于相对规则的域,限制了其在其他下游任务中的适用性。

有限元方法(FEM)将域分割为各种小单元,如三角形或四面体,并在每个单元内用低阶多项式近似解。由于其灵活的网格划分策略,FEM能够适应多种场景和复杂的现实条件。FEM在模拟中的一个典型应用是二十面体非静力(ICON)模型,该模型首先将地球离散化为由20个三角形面组成的二十面体,便于数值解的计算。ICON模型通过将描述各种天气状况的一组偏微分方程转换为代数方程,并使用超级计算机求解,展示了FEM的强大能力。该方法已被NVIDIA集成到Earth2系统中。

不确定性量化。数字孪生中的仿真旨在实现物理系统与其虚拟表示之间的精确一一对应,这体现了量化物理测量和计算模型中固有不确定性的重要性。 用于量化仿真中不确定性及其传播的主要技术包括蒙特卡洛方法、贝叶斯推断和敏感性分析。蒙特卡洛方法通过随机抽样输入参数生成可能结果的分布,从而估计输出不确定性。该方法在处理复杂和高维问题时尤为有效,并通过方差缩减技术(如重要性抽样和分层抽样)进一步优化,聚焦于输入空间中最关键的部分。

贝叶斯推断则利用贝叶斯定理,根据先验知识和新数据更新模型参数的概率分布。该方法为将不确定性融入模型预测提供了系统框架,使得模型能够随着更多数据的获取而不断优化。诸如MCMC等技术至关重要,因为它们通过在高维空间中近似后验分布,使贝叶斯推断得以实际应用。敏感性分析评估输入参数的变化如何影响模型输出,并识别对结果有显著影响的关键参数。全局敏感性分析方法,如Sobol index,提供对输入不确定性在模型中传播的全面理解,从而突出最具影响力的参数并指导降低不确定性的努力。

3.1.2 物理信息人工智能模型

近年来,人工智能技术的快速发展为解决传统物理方法中的建模和计算挑战提供了创新方法。一种方法是利用AI显式地从数据中提取潜在的偏微分方程(PDEs)用于后续建模。另一种策略是将部分或全部已知物理知识直接嵌入AI模型。此外,AI辅助计算通过AI技术增强数值计算步骤,从而降低计算成本。这种整合简化了流程,提升了建模和计算任务的效率。

PDEs发现用于建模。在传统数字孪生建模过程中,当某些物理定律尚不明确或仅部分理解时,会面临建立准确数学模型的重大挑战。这种情况在湍流、多相流和材料科学等复杂系统中尤为常见。为应对这些建模挑战,研究人员开始探索利用AI技术直接从数据中学习底层物理知识和模型。早期且具有高度影响力的工作之一是Brunton等人提出的稀疏识别非线性动力学(SINDy)方法,该方法能够从时间序列数据中发现控制方程。

该算法基于物理定律通常较为简单的假设,从而导致系数稀疏。借助库普曼算子的概念,SINDy将寻找低维控制方程的问题转化为高维线性回归问题。一系列后续研究扩展了SINDy在更广泛场景中的适用性,包括PDEs发现、处理噪声数据、处理多尺度物理以及联合处理控制输入。特别是,近期研究开始利用SINDy在制造业、化学工程等工业场景中构建数字孪生模拟器。最近,研究人员继续通过深度学习推进数据驱动的PDE发现领域。早期的有影响力工作包括基于数值方法的PDE-Net和基于符号回归的方法,两者沿着两条并行路径发展。后续研究如PDE-Net 2.0则将数值方法与符号方法相结合。此外,一系列研究结合深度学习技术进一步提升了SINDy算法的适用性和维度。

求解PDEs用于模拟。除了利用AI显式地从数据中挖掘潜在的物理知识和数学模型外,另一种方法是将基于PDEs的已知物理知识部分或全部嵌入AI模型,旨在结合数据驱动方法的灵活性与物理模型的可解释性来求解PDEs。遵循这一思路,最著名的成果是物理信息神经网络(PINNs)。通过将PDEs直接作为惩罚项嵌入损失函数,PINNs使物理信息能够在一定程度上约束神经网络的输出。

image.gif 03.png

其中,$$λdata,λphysics$$ 是用于平衡各项贡献的权重。PDE的损失项通常由两个独立部分组成:一部分满足物理方程,另一部分满足边界条件。

image.gif 04.png

其中, $$N[u](xj,tj)$$为PDE在配置点 (xj , tj )处的残差,B[u]=g为边界条件。随后,研究人员开发了多种PINN变体,每种变体从不同角度提升了PINNs的性能和适用性。变分PINNs引入了变分形式以提高训练的稳定性和准确性,保守PINNs确保了物理量的守恒,自适应PINNs采用了自适应激活函数以提升学习效率。概率PINNs引入了概率模型以量化预测中的不确定性。PINNs及其变体已广泛应用于流体动力学、结构力学和生物医学工程等仿真领域。

目前,神经算子已成为嵌入物理知识的另一类方法。最早的成果是DeepONet,它利用通用近似定理直接学习PDEs中的微分算子,而非PDEs的解。这一方法催生了神经算子的概念。后续的改进带来了傅里叶神经算子(FNO),它通过多层傅里叶层滤除高频信息,显著提升了性能。基于FNO结构的更先进发展是FourCastNet,该模型用于天气预报,并已集成到Earth2系统中。其他基于FNO的变体包括自适应FNO和多小波傅里叶特征算子(MWFF)。神经算子和PINNs在模型训练阶段集中了大部分计算资源。

训练完成后,这些物理信息AI模型能够以惊人的速度生成预测,通常比传统数值求解器快几个数量级。这种计算范式的转变在需要重复模拟或实时预测的场景中具有显著优势。例如,Lu等人证明,他们的物理信息DeepONet求解偏微分方程的速度比传统数值方法快1000倍。同样,Hennigh等人展示了基于AI的湍流模型可将CFD模拟速度提升两个数量级。这种推理时间的大幅缩短不仅使快速进行what-if分析和设计优化成为可能,还为复杂系统的实时控制和决策开辟了新途径。然而,需要注意的是,这些AI模型的训练过程可能计算量较大,需要大量数据或精心设计的融合物理约束的损失函数。但快速准确的预测潜力使物理信息AI模型成为数字孪生任务中越来越有吸引力的选择。

3.2 观测数据整合

在建模物理孪生时,一个关键挑战是确保现实世界的观测数据能够有效整合到模型中。该过程分为两个步骤。3.2.1节处理采集与对齐,将来自传感器、IoT设备或日志的异构数据清洗、同步并转换为一致的观测数据。3.2.2节则聚焦于数据同化,即这些已处理的观测数据与模型融合以更新其状态和参数的阶段。换句话说,采集与对齐确保数据可信且可比,而数据同化则确保模型能够适应新证据。二者共同构成了方法论桥梁,使物理孪生与不断变化的现实紧密相连。

3.2.1 获取与对齐

数字孪生的构建始于观测数据的获取,这些数据构成了物理系统与计算模型之间的桥梁。实践中,数据来自不同来源,其异质性带来了噪声、缺失值、采样不一致和语义不匹配等挑战。获取与对齐方法旨在将这些异构输入转化为干净、可靠且可互操作的序列,作为下游建模与数据同化的证据。

传感器数据。物理传感器通过测量温度、压力、振动、电压、位置、音频或视频等变量,产生最直接的观测数据。原始传感器信号未经处理时通常难以直接使用,因为它们常受噪声、基线漂移或间歇性数据缺失的影响。低通滤波和去趋势等信号处理技术是缓解这些问题的标准方法。异常检测也是必要的,用于识别故障测量或异常峰值,否则会破坏数据集。Hodge和Austin对统计和机器学习方法在异常检测中的应用进行了全面综述。传感器数据缺失导致的缺失值通常通过插值或填补方法重建,涵盖从经典统计方法到概率模型。这些预处理步骤共同将原始传感器数据流转换为适合集成的稳定序列。

IoT和边缘数据。除了专用传感器外,观测数据越来越多地通过IoT采集,IoT是指通过Wi-Fi、蓝牙、Zigbee和LTE/5G等无线通信网络连接的分布式设备。物联网基础设施生成从环境监测数据到用户交互的海量异构数据。其通信通常基于MQTT或CoAP等轻量级协议,专为资源受限环境设计。然而,大规模IoT部署带来了延迟、数据包丢失和设备配置不一致等挑战。为缓解这些问题,边缘计算作为一种补充范式应运而生:不是将所有原始数据发送到云端,而是在靠近数据源的网关或嵌入式处理器上部分执行计算。该策略减少了带宽使用量和响应时间,同时支持本地预处理,如压缩或异常检测。近年来,将AI模型集成到边缘设备中,实现了实时特征提取和自适应决策支持,这一方向通常被称为边缘智能。

异构数据对齐。无论数据来源如何,获取的数据流都必须对齐以确保互操作性。时间对齐是首要要求:传感器可能以不同的采样率运行,IoT设备可能间歇性报告,日志可能记录离散事件。同步协议(如网络时间协议)为分布式设备建立共同的参考时钟。当无法实现完美同步时,应用插值和重采样方法在共享时间线上协调信号。滑动窗口聚合可进一步协调高频传感器数据与低频记录。除时间维度外,语义和单位标准化是必要的,以防止异构数据集之间的冲突。基于本体的映射和字典驱动的标签对齐通常用于统一变量名称,而单位转换确保温度或流量等物理量的可比性。这些步骤共同将异构数据源转化为适用于数字孪生模型集成的连贯数据集。

采集与对齐为数字孪生数据集成提供了方法论基础。传感器数据、IoT和边缘平台、日志或事件系统均提供有价值但异构的数据。通过预处理、同步和语义归一化,原始观测数据被转化为既保持高保真度又实现互操作性的统一序列。这些步骤还凸显了AI研究者的机遇,例如噪声信号的异常检测、边缘层特征提取的轻量级模型,以及基于表征学习的语义对齐。

3.2.2 数据同化

观测数据采集并对齐后,下一步是将其与模型融合,以估计真实系统状态并校准未知参数。这一过程称为数据同化(DA),它提供了一个系统化的框架,用于融合模型预测与观测数据。在数字孪生技术中,DA至关重要:若缺少DA,模型会因初始条件不完善、参数化不完整或未建模扰动而偏离现实;而有了DA,模型能与物理实体保持动态一致性。简而言之,数据的获取与对齐使数据可用,而同化使模型能够响应数据。严格来说,DA可视为一个贝叶斯估计问题,其中模型预测提供先验,观测数据提供似然,同化步骤生成系统状态的后验估计。除更新状态外,DA还提供不确定性估计,这对预测、优化和决策等下游任务至关重要。过去几十年来,DA方法主要沿着三个方向发展:序贯方法、变分法,以及近年来的混合方法和基于学习的方法。

序贯数据同化。序贯方法随着新数据的到来逐步更新系统状态。经典示例是卡尔曼滤波(KF),它在高斯假设下提供最优线性估计。为处理非线性动力学,扩展卡尔曼滤波(EKF)通过局部线性化近似系统,而无迹卡尔曼滤波(UKF)采用确定性采样以更稳健地捕捉非线性效应。对于地球物理模型等大规模、高维系统,集合卡尔曼滤波(EnKF)已成为首选方法。EnKF通过模型轨迹集合表征误差统计特性,提供可扩展的解决方案,广泛应用于天气预报和海洋建模。序贯方法因其实时处理数据流的能力而适用于数字孪生,但在极高维情况下可能存在采样误差或方差损失。

变分数据同化。变分方法将DA视为优化问题。目标是最小化一个代价函数,该函数在给定时间窗口内平衡模型保真度与观测拟合度。在3D-Var中,优化在单个分析时刻进行,将背景预报与新观测结合。在4D-Var中,同化过程跨越一个时间窗口,使系统动力学能够约束分析。这些方法利用同化窗口内的所有可用观测,生成动力学一致的状态轨迹。它们在数值天气预报等大规模应用中尤为有效。然而,依赖伴随模型和高维优化使得计算量较大,这可能会限制其在某些数字孪生场景中的直接适用性。

混合与基于学习的方法。近期研究致力于将顺序和变分方法与机器学习的优势相结合。其中一个活跃方向是学习或近似同化流程中的组件。例如,神经网络可作为代理观测算子,在真实算子高度非线性或计算成本高昂时将模型状态变量映射到观测空间。另一项研究整合机器学习以改进误差协方差建模,这是EnKF和变分方法中长期存在的挑战。

神经数据同化概念也已出现,其中深度学习架构被训练以直接模拟更新步骤,提供贝叶斯推断的数据驱动近似。此外,可微分编程框架使得可微分DA的构建成为可能,其中同化过程本身被嵌入计算图中,便于模型和同化参数的端到端学习。PINNs(尽管已在第3.1.2节中介绍)也可整合到同化框架中,作为引导状态估计的约束条件。这些混合方法凸显了有前景的协同效应:传统DA提供严谨的统计框架,而AI方法则带来灵活性、可扩展性以及利用大数据集的能力。

数据同化是数字孪生中连接数据与模型的方法论桥梁。序贯方法强调实时、逐步更新,变分方法利用时间窗口内的优化,混合方法融合机器学习以克服长期存在的局限。它们共同确保数字孪生不仅仅被模拟,而是持续与物理对应体同步。通过这种方式,数据同化将数字孪生转化为物理对应体的动态镜像,能够支持复杂环境中的可靠预测、优化和决策。

4 物理孪生到数字孪生的镜像

基于真实数据观测学习分布是生成式AI中的基本挑战。数字孪生的表示维度各异,需要不同的建模框架。本节将介绍一些基础方法,并涵盖基于动态建模的2D和3D数字孪生学习的最先进方法。

image.gif 05.png

图3:生成式AI模型。(a)GANs框架。(b)去噪扩散概率模型(DDPMs)框架。(c)神经辐射场(NeRF)框架。(d)3D高斯泼溅框架。

变分自编码器(VAEs)。VAEs旨在学习一个编码器-解码器对,将输入数据映射到具有两个高斯代理分布的连续潜在空间。在此框架中,我们训练编码器模型以匹配潜在变量z的先验分布,并训练解码器模型以重建原始图像。在编码器部分,我们使用由神经网络φ参数化的高斯代理分布$$qϕ(z∣x)$$来近似难以处理的后验分布$$q(z∣x)$$。我们预测输入图像$$x$$对应的潜在变量z的均值$$μϕ(x)$$和方差$$ϕ(x)$$,以使编码后的分布更接近预定义的先验分布 ($$p(z)=N(z;0,I)$$)。在解码器部分,假设图像服从高斯分布,我们训练解码器$$pθ(x∣z)$$从潜在变量z重建原始图像。为了实现这两个目标,我们可以最大化证据下界(ELBO),其定义为:

约束条件为$$L(ϕ,θ;x)≤logpθ(x)$$。由于公式4中的损失函数是可微的,我们可以使用梯度下降以端到端的方式训练编码器φ和解码器θ。在推理阶段,我们可以从$$p(z)$$中采样潜在变量,然后输入解码器生成新图像。

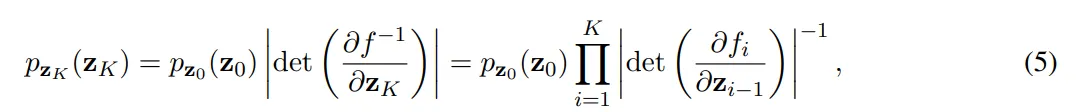
归一化流。归一化流是一类强大的生成模型,能够通过一系列可逆变换将简单的概率分布转换为更复杂的分布,从而实现灵活且易于处理的密度估计。归一化流的核心思想是从一个简单的分布(通常是多元高斯分布)出发,应用一系列双射(可逆且可微)映射,将该简单分布转换为与目标数据分布匹配的分布。具体来说,令 $$z0∼pz0(z0)$$ 表示从简单基础分布$$pz0$$(如标准正态分布)中抽取的随机变量。归一化流应用一系列可逆变换$$fi:Rd→Rd for i=1,2,…,K$$,得到变换后的变量 $$zK=fK∘fK−1∘⋯∘f1(z0)$$。在变换下 zK 的概率密度函数由变量替换公式给出:

07.png

其中,$$det(∂zi−1∂fi)$$是第 i 次变换的雅可比矩阵的行列式。该公式允许精确计算似然,使归一化流在密度估计方面非常有效。

虽然归一化流具有多项优势,例如精确的似然估计和可逆性,但也存在一些局限性。主要挑战之一是变换的表达能力与雅可比行列式计算的复杂度之间的权衡。简单的变换计算效率高,但可能缺乏建模复杂分布的灵活性;而更复杂的变换虽然能够捕捉数据中的精细结构,却会带来更高的计算负担。为应对这些挑战,近期研究尝试提升归一化流的表达能力,例如Neural Spline Flows 和Residual Flows ,这些方法在表达能力和计算效率之间取得了平衡。

生成对抗网络(GANs)。GANs是一种强大的框架(如图3所示),用于学习数据分布,由两个主要组件组成:生成器(G)和判别器(D)。这些组件通常以可微分神经网络实现,将输入数据从一个空间映射到另一个空间。GANs的优化可表述为生成器与判别器之间的极小极大博弈,其目标函数如下:

image.gif 08.png

生成器的目标是创建与真实数据分布高度相似的新样本,而判别器的目标是准确区分真实样本和生成样本。训练过程会达到一个平衡点,即纳什均衡,此时生成器已有效捕捉到真实数据分布。然而,由于真实数据分布与生成数据分布的支撑集不重叠,GANs 常面临训练不稳定的问题。缓解此问题的一种方法是向判别器的输入中引入噪声,从而扩大两者的支撑集。Wang et al. (2022)提出了一种基于扩散模型的自适应噪声注入方案以稳定 GAN 训练。由于 GAN 具有一步生成的特性,相较于需要在推理过程中进行迭代多步且耗时去噪的更强大扩散模型,GAN 可以成为更高效的替代方案。

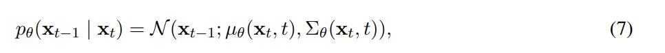
去噪扩散概率模型(DDPMs)。DDPMs 使用两个马尔可夫链:前向链添加噪声,后向链移除噪声。前向链将数据转换为简单的先验分布,而后向链使用神经网络逆转该过程。给定数据分布$$x0∼q(x0)$$,前向过程生成序列 $$X1,X2,…,XT$$,其转移核为 $$q(xt∣xt−1)$$。联合分布是这些转移的乘积。转移核通常为高斯扰动:$$q(xt∣xt−1)=N(xt;1−βtxt−1,βtI)$$,其中 $$\beta_t \in (0, 1$$ 是超参数。这允许解析边缘化$$q(xt∣x0)=N(xt;αtx0,(1−αt)I)$$,其中 $$\alpha_t = 1 - \beta_$$ 且$$αˉt=∏s=0tαs$$。后向过程使用可学习的转移核:

image.gif 09.png

其中 $$\thet$$ 表示模型参数。该过程通过最小化 KL 散度进行训练,以匹配前向过程的时间反转。简化的损失函数为:

image.gif 10.png

去噪过程通过包含学习到的噪声预测 $$\epsilon_\thet$$ 和高斯噪声 $$$$ 的公式逐步进行。

采样效率通过DDIM 等技术得到提升,这些技术通过构建非马尔可夫扩散过程加速采样。EDM框架通过优化设计空间进一步提升了效率和质量。基于分数的模型通过随机微分方程为扩散模型提供了统一视角。针对离散数据,D3PMs 将扩散模型扩展至离散状态空间。GLIDE和Stable Diffusion等研究推动了实际应用,实现了高质量的文本到图像生成。分类器引导和交叉注意力控制进一步提升了条件生成与编辑的效果。

辐射场建模的隐式与显式方法。辐射场提供了一个三维光分布模型,用于描述环境中光线与表面和材料的相互作用。它可以数学表示为函数 $$L:R5→R+$$,其中$$L(x,y,z,θ,ϕ)$$ 表示将空间点 $$(x,y,z)$$ 和由球坐标 $$(θ,ϕ)$$ 定义的方向映射到非负辐射度值。辐射场通常以两种形式表示:隐式或显式,每种形式在场景描绘和渲染方面各有优势。隐式辐射场通过间接方式建模场景中的光分布,无需显式定义场景几何。

在深度学习中,这通常涉及使用神经网络来学习体场景的连续表示。一个典型例子是NeRF,其中神经网络(通常为多层感知机,MLP)将空间坐标 $$(x,y,z)$$ 和视图方向 $$(θ,ϕ)$$映射到相应的颜色和密度值。任意点的辐射度通过查询MLP动态计算,而非直接存储。该方法提供了复杂场景的紧凑且可微分表示,但由于需要体光线步进,渲染时通常需要大量计算资源。相反,显式辐射场使用离散的空间结构(如体素网格或点集)显式地封装光分布。该结构的每个组件编码其特定空间位置的辐射度数据,从而实现更快、更直接的辐射度检索,但会增加内存需求并降低分辨率。

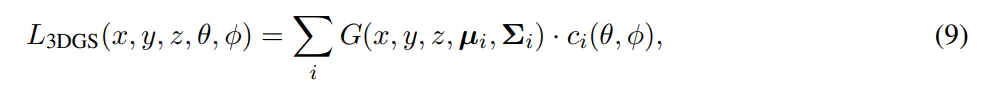
3D高斯泼溅(3DGS)。3DGS通过可调3D高斯融合了隐式和显式辐射场的优势。该方法通过多视角图像监督优化,提供了高效灵活的表示方式,能够准确描绘场景。该方法将基于神经网络的优化与结构化数据存储相结合,旨在实现实时高质量渲染和高效训练,尤其适用于复杂和高分辨率场景。3DGS模型描述为:

image.gif 11.png

其中G表示高斯函数,由均值µi和协方差Σi定义,c表示视角依赖的颜色。具体而言,3D GS的学习过程包含两个主要步骤,如图3所示:

1. 渲染:3D高斯的渲染过程与NeRF等隐式方法所采用的体积光线步进有显著差异,其采用溅射技术将3D高斯投影到2D图像平面。具体步骤包括:首先在视锥裁剪步骤中剔除相机视锥外的高斯;随后在溅射步骤中通过视图变换和投影变换的雅可比矩阵将3D高斯投影至2D空间;最后通过Alpha混合计算像素颜色,依据高斯的不透明度混合重叠区域的颜色。

2. 优化:为了实现实时渲染,3D GS 采用了多种优化技术,包括使用瓦片(补丁)进行并行处理,以及基于深度和瓦片ID对高斯进行高效排序。3D GS 的学习过程涉及优化每个高斯的属性(位置、不透明度、协方差和颜色),以及控制场景中高斯的密度。优化过程由结合L1和D-SSIM损失的损失函数指导:

image.gif 12.png

其中λ为权重系数。高斯密度通过稠密化和剪枝过程控制。稠密化根据位置梯度克隆或分裂高斯,剪枝移除不必要的或无效的高斯。

自从3D高斯泼溅被引入用于实时辐射场渲染以来,该领域已取得多项重大进展。Plenoxels提出了一种无需神经网络、基于球谐函数稀疏3D网格的逼真视图合成方法。动态3D高斯将该概念扩展至动态场景,支持6个自由度跟踪和新视角合成。可动画与可重光照高斯专注于从RGB视频中构建高保真人体虚拟形象。其他重要工作包括解决NeRF采集中背景坍塌问题的“Floaters No More”,以及实现可动画人体虚拟形象实时渲染的3DGS-Avatar。这些进展凸显了3D场景表示与渲染技术的持续演进与多样化。

4.1 模拟器构建

4.1.1 基础建模与状态表示

数字孪生模拟器必须首先确定如何表示其模拟的物理系统。在某些情况下,模拟器需要明确的几何描述来重现空间相关行为,如形变、流体流动或分子相互作用。在其他情况下,几何描述并非必需,系统可通过关系或时间依赖性进行建模,以捕捉组件间的交互或随时间的演变。这两种互补的视角对应两种状态表示类型:基于几何的用于描述系统的物理结构,抽象的则侧重于系统行为的数据驱动或关系方面。

基于几何的状态表征。在基于几何的表征中,物理系统通过显式空间结构定义其形状、结构和材料属性。这些表征构成了数字孪生的核心,尤其在空间配置直接决定系统动态和行为的领域,如工程设计、制造和生物医学建模。它们回答了物理世界的基本问题:物体是什么样子的?组件如何连接?物理属性是什么?

形状与几何。“物体的形状是什么?”该问题定义了物理实体在空间中的几何构型。形状表示为后续所有建模奠定了基础,决定了物体如何占据空间并与环境交互。常见方法包括:有限元法(FEM)和有限体积法(FVM)中使用的网格,用于将连续域离散化以进行数值分析;点云捕捉密集表面样本以进行3D重建和检测;体素或网格表示用于体积建模和医学成像;以及参数化模型如CAD和BIM,同时编码几何和语义信息。神经场,包括神经辐射场(NeRF)、有符号距离场(SDF)和占据网络,进一步将几何泛化为连续隐式函数,提供可微分且紧凑的场景表示。这些方法共同提供了重建、可视化和模拟物理世界空间状态的手段。

拓扑与连接性。“其组件如何连接?”拓扑超越局部几何,描述关系与连接性,从而定义结构完整性和运动约束。在机械系统中,网格连接性指定元素间的邻接关系,支持应力或变形分析。关节型系统(如机械臂)的运动链描述关节与连杆间的层次依赖关系及自由度。装配图进一步编码各部件接口与相对运动方式,支持多体动力学与结构耦合的仿真。准确的拓扑建模确保数字孪生保留物理系统的结构逻辑,支持物理约束下的载荷传播、碰撞检测及变形跟踪等分析。

物理属性。“其物理特性是什么?”仅凭几何和拓扑无法确定系统行为,必须描述其固有材料属性和边界条件。这些属性定义了物理实体对外部力、热量或其他环境刺激的响应方式。关键描述包括材料属性(如密度、弹性、粘度)、边界条件(载荷、固定支撑或流体界面)、热参数(包括热导率和比热容)以及初始条件(定义温度、速度等场的初始状态)。这些参数通过控制方程实现精确的数值模拟和预测建模。此类物理属性的引入将几何模型从静态可视化转变为动态计算实体,从而模拟现实系统在机械、热学或电磁方面的响应。

非几何状态表示。并非所有模拟器都需要显式几何来描述系统行为。在许多数字孪生中,关键动态来源于关系、时间模式或统计依赖,而非空间形态。因此,非几何状态表示通过符号、关系或基于特征的结构描述系统,从而能够对几何不可用、不相关或计算上不必要的过程进行建模。此类表示广泛应用于信息物理系统、社会系统和生物系统中,以支持大规模推理和预测。

基于特征的表示。特征表示将复杂的系统状态编码为紧凑的数值向量,从而实现高效的计算和跨模态整合。这些嵌入可从文本、图像和传感器测量中提取,或通过自监督和多模态模型学习。大规模基础模型,通过学习统一的潜在空间进一步泛化了这一概念,该空间能够表征多样化的系统行为和属性。在数字孪生仿真器中,嵌入提供了高维推理的可扩展接口,支持快速查询、跨域适应和智能决策。

时间序列表示描述系统状态随时间的演变,是数字孪生的核心,用于监控和预测来自连续数据流(如传感器信号、生理测量或环境变量)的行为。循环和基于注意力的模型,包括RNNs、TCNs和Transformers,能够有效捕捉短期和长期依赖关系。在医疗数字孪生中,这些表示方法支持动态患者监控和疾病进展建模;在工业数字孪生中,它们支持基于遥测数据的预测性维护和异常检测。

基于图的表示将系统建模为实体及其交互的集合,为描述关系动力学提供了自然框架。该方法在交通系统、供应链、能源电网等网络化基础设施,以及语义和生物医学知识图谱中已被证明有效。图神经网络(GNNs)通过学习结构化依赖关系的表示,扩展了这些概念,能够模拟流动、故障传播和系统级优化。

非几何状态表示通过关注关系与动力学而非空间保真度,补充了基于几何的模型。它们共同定义了仿真器构建的两种基础范式:一种基于物理形态,另一种基于数据与交互。现代数字孪生通常整合这两种视角。例如,结构组件采用几何建模,而控制、通信或生物过程通过图或嵌入表示。这种混合方法使仿真器能够捕捉复杂系统的物理动力学和语义交互。

4.1.2 行为与过程仿真

状态空间仿真。状态空间仿真是构建仿真器的主要方向之一。目标是直接从数据中学习系统行为,将仿真视为将输入映射到输出的函数逼近,或预测时序演化的序列预测。这些模型无需显式求解控制方程,而是从观测数据中推断潜在动力学,使得数字孪生在解析表达式不可用或计算成本过高时仍能高效模拟复杂过程。

前馈模型如MLPs、CNNs和ResNets学习设计或控制变量与结果性能指标之间的稳态映射。它们通常用作工程优化的可微分代理模型,例如基于翼型几何预测气动升力、基于材料参数估算热耗散,或基于配方特性预测药物释放速率。通过替代昂贵的有限元仿真,这些神经代理模型能够实现快速设计迭代和灵敏度分析。当时间依赖性占主导时,包括LSTMs、GRUs和Transformers在内的循环及基于注意力的网络捕捉系统状态的动态演化。这些模型将仿真视为序列预测,学习过程如何随时间发展。在工业数字孪生中,它们用于预测传感器轨迹以检测故障;在医疗领域,利用患者时间序列数据建模疾病进展;在交通领域,预测多步交通流量和城市网络中的拥堵传播。

对于具有明确空间或关系结构的系统,GNNs通过学习互连组件之间的交互来扩展这一范式。每个节点代表一个物理或逻辑实体,边描述诸如力传递或资源交换之类的依赖关系。这使得基于GNN的模拟器能够重现机械系统中的网格变形、电网中的电压传播以及交通网络中的流量重新分配。通过消息传递,GNNs 使数字孪生能够建模局部扰动如何共同塑造全局动态。除了离散表示外,神经算子如DeepONet和傅里叶神经算子(FNO)将状态空间学习推广到函数映射。它们并非近似单个轨迹,而是学习偏微分方程的解算子,直接将边界条件或源项映射到整个解场。训练完成后,这些算子为模拟流体流动、热传递和材料变形提供了快速且高保真的代理模型,比传统求解器快几个数量级。

总之,状态空间模拟专注于学习系统如何响应和演化,通过近似稳态映射或预测时间序列。从预测设备故障、优化工程设计到加速物理模拟,该方法是构建能够学习、适应并跨物理领域泛化的智能数字孪生的核心计算路径。

视觉世界模拟。生成式AI的最新进展通过直接生成内部状态的逼真视觉观测,为模拟开辟了新范式。在此视角下,预测未来帧或合成动态场景等同于模拟物理环境的演化。此类世界模拟器使具身智能体(包括机器人和自动驾驶车辆)能够在可控、数据驱动的虚拟世界中学习、规划和交互,无需仅依赖昂贵的物理实验。

视频扩散模型已成为生成式模拟最强大的框架之一。利用大规模视频数据集和扩散架构,这些模型能够合成高保真且时序连贯的视频,模拟真实世界的物理特性和动力学。例如,VideoComposer 引入了基于文本、空间布局和时间线索的组合式视频合成框架,允许对生成的运动和场景构成进行精确控制。DynamiCrafter通过从文生视频扩散模型中学到的运动先验,将静态场景转化为动态模拟。最值得注意的是,Sora 展示了文生视频扩散模型作为通用世界模拟器的显著潜力,能够根据自然语言描述生成物理一致且逼真的视频。

现实性固然重要,但可控性对仿真驱动学习同样必不可少。近年来多项研究聚焦于将结构化控制融入视频生成模型,以生成任务相关、交互式环境。Seer引入了一种帧序列文本分解器,将全局指令转换为时间对齐的子指令,从而增强对视频轨迹的细粒度控制。Video Adapter为大型预训练视频扩散模型提供轻量级适配机制,无需完全微调即可高效定制领域。在更大规模上,Cosmos World Foundation Model Platform提供了一个集成框架,用于构建可控的基于视频的世界模型,包括视频整理管道、分词器和预训练基础模拟器,适用于机器人和自动驾驶等物理AI应用。

除了纯视频生成之外,交互式世界模型如Genie及其后续版本Genie 2 将生成式模拟扩展至具身且动作可控的3D环境。这些系统能够基于文本、草图或其他多模态提示生成可玩的开放式虚拟世界,使自主智能体能够在动态视觉环境中学习和行动。

视频生成作为世界模拟,标志着从显式物理建模到观测驱动合成的范式转变。通过学习现实的视觉与时序结构,此类模型能够提供可控、可扩展且照片级真实感的环境,用于训练、测试和推理。在数字孪生系统中,它们连接模拟与感知,使虚拟智能体能够观察物理世界的逼真表示并与之交互。

4.2 模拟器可视化

4.2.1 场景建模

在数字孪生中,场景建模通过定义模拟世界在三维空间中的呈现方式来支持可视化。一旦模拟器引擎构建完成以模拟系统行为,可视化即专注于重建或合成世界的可见结构。场景建模决定了数字孪生的“外观”。场景建模通过辐射场表示学习光与物质的相互作用,从而呈现真实或虚拟环境的空间构型和视觉外观。随着神经渲染技术的进步,数据驱动方法现在能够直接从多视角图像或传感器数据中重建高度详细且空间一致的3D乃至4D场景。本节介绍了该领域的两个主要方向:大规模静态场景重建和动态场景建模。

静态场景重建。将神经渲染技术扩展到大型城市环境一直是近期研究的重点。这些方法旨在捕捉城市规模场景的复杂性,同时保持高视觉保真度和高效渲染。Block-NeRF提出了一种NeRF变体,通过将场景分解为单独训练的NeRF来表示大规模环境。该方法将渲染时间与场景规模解耦,使渲染能够扩展至任意大的环境。Urban Radiance Fields扩展了NeRF以处理异步捕获的lidar数据并解决图像间的曝光差异,实现了最先进的3D表面重建和高质量街景新视角。TensoRF提出将辐射场建模为4D张量,并引入向量-矩阵分解,从而在重建速度、渲染质量和模型大小方面优于NeRF。NeRF in the Wild解决了无约束照片集合的挑战,可从著名地标的互联网照片中实现精确重建。

近期研究工作专注于进一步提升大规模场景重建的可扩展性和质量。K-Planes引入了一种使用平面表示d维场景的辐射场白盒模型,实现了从静态到动态场景的无缝转换。BungeeNeRF 实现了跨尺度LOD渲染,解决了极端多尺度场景渲染的挑战。Global-guided Focal Neural Radiance Field 提出了一种两阶段架构,在保持场景全局一致性的同时实现大规模场景的高保真渲染。CityGaussian 采用新颖的分而治之训练方法和LOD策略,高效实现大规模3D高斯泼溅的训练和渲染。

动态场景建模。扩展静态表示以建模含移动物体的动态场景是神经渲染研究的另一重要方向。这些方法旨在捕捉复杂真实世界环境的时空特性。4D Gaussian Splatting通过优化一组4D基元来近似动态场景的时空4D体积,实现实时渲染复杂动态场景。

可扩展城市动态场景(SUDS)提出了一种分解式场景表示,使用独立的哈希表数据结构高效编码静态、动态和远场辐射场。Street Gaussians 提出了一种新型方法,通过结合静态和动态3D高斯以及可优化的移动物体跟踪姿态,来建模动态城市街景。Deformable 3D Gaussians 提出了一种方法,通过3D高斯进行场景重建,并在规范空间中利用变形场学习,以建模单目动态场景。DynMF 提出了一种紧凑高效的表示方法,将动态场景分解为少量神经轨迹,实现实时的复杂动态场景运动视图合成。Multi-Level Neural Scene Graphs 提出了一种新型可分解辐射场方法,用于动态城市环境,采用多级神经场景图表示,可扩展至数千张图像和数百个快速移动物体。

4.2.2 交互式可视化与界面

场景建模构建了虚拟环境的结构和视觉基础,而交互式可视化则决定了人类与AI智能体如何观察、探索和理解该环境。这一层将模拟或重建的虚拟世界转化为可感知、可分析的视图,通过直观的视觉界面支持情境感知、假设检验和协作理解。

沉浸式实时可视化。渲染管线和GPU加速的进步使得数字孪生能够实现大规模环境的照片级真实感实时可视化。神经渲染技术如3D Gaussian Splatting 能够在不牺牲保真度的情况下保持交互式帧率,而Instant-NGP 等紧凑场景表示方法进一步提升视图合成效率。沉浸式可视化系统,包括AR/VR头显和CAVE显示系统,为用户带来深度感知和空间存在感,支持通过手势、动作追踪或注视控制进行直观探索。此类沉浸式系统在手术模拟、智慧城市管理和工业培训等领域提升了人类的感知与理解能力。

交互式仪表盘与可视化分析。除沉浸体验外,数字孪生依赖交互式仪表盘和可视化分析工具来组织和解释仿真结果及实时传感器数据。这些接口将预测模型、流数据和诊断视图整合到统一的可视化层中,支持实时监控与推理。实际应用中,它们表现为智能工厂的3D监控仪表盘、用于手术规划的术前可视化系统,或显示交通流量和能源分布以支持态势分析的运营控制中心。近期基于云的可视化框架进一步使分布式团队能够通过同步可视化界面协作探索、标注和解释数字孪生环境。

5 通过数字孪生干预物理实体

5.1 物理行为预测

预测建模是数字孪生系统的核心组成部分,能够基于当前和历史数据预测未来的状态和行为。数字孪生系统通过创建物理实体的虚拟副本,其预测模型能够预测设备故障、性能下降和系统异常等多种场景。这些预测对于优化性能、预防意外问题以及确保物理资产的高效运行至关重要 。利用先进的AI技术,如机器学习和深度学习方法,数字孪生可以分析大量数据以预测趋势、检测异常并实时做出决策。本节将深入探讨两个部分,分别是:1)数字孪生系统中的预测建模;2)数字孪生系统中的预测类型。

5.1.1 预测建模基础

预测建模是数字孪生系统的基石,能够基于当前和历史数据预测物理实体的未来状态和行为。这一能力对于优化运营、规划维护以及提升系统整体性能和可靠性至关重要。本节介绍预测建模的概念,提供高层次的数学定义,并展示数字孪生系统中的相关示例。

预测建模的定义。在数字孪生系统中,预测建模涉及使用观测数据$$Xt⊆X$$和预测函数$$F$$来预测未来状态$$xt+T∈X$$。形式化地,给定截至当前时间t的观测状态集合$$Xt$$,目标是估计未来时间$$t+T$$的预测状态$$X^t+T$$,即$$x^t+T=F(Xt,T)$$,其中Xt = {xt1, xt2, ..., xt}表示截至当前时间t的历史数据,T为预测时域,表示预测所针对的未来时间间隔。状态空间X包含系统的所有可能状态,涵盖各种传感器读数、运行条件和性能指标。观测数据Xt是用于训练预测模型的记录状态。函数F采用机器学习、深度学习或统计方法,基于历史和当前数据预测未来状态。为优化预测函数F,目标是最小化损失函数L,该函数捕捉预测状态$$X^t+T$$与实际未来状态$$X^t+T$$之间的差异,即

image.gif 13.png

其中ℓ是任务特定的损失函数(例如,回归任务中的均方误差ℓ(x, x̂) = (x − x̂)^2)。

5.1.2 预测任务

在数字孪生系统中,预测模型对维护物理和网络组件的可靠性、效率及性能至关重要。通过应用先进AI技术,这些模型能够持续监控与分析复杂数据,识别模式并提前预测潜在问题。预测类型主要分为两大类:1) 实时决策;2) 预测性维护。以下小节将深入探讨这些类别,阐明关键方法与任务,以凸显其在数字孪生系统中的重要性与有效性。

实时决策。实时决策对数字孪生系统至关重要,该系统通过创建物理实体的虚拟副本,实现持续监控与模拟。此能力可基于当前和历史数据进行即时分析与响应,支持快速问题识别、运营优化及系统效率提升。数字孪生系统的实时决策涵盖多个领域,包括交通管理、工业物流、医疗健康、消防安全、结构健康监测以及能源管理。以下章节将探讨这些领域中的关键方法与任务,突出先进AI技术如何促进实时决策。

a) 交通管理方面,Cai等人开发了混合编码器-解码器神经架构Traffic Transformer用于交通预测。该模型采用图卷积网络建模空间依赖性,Transformer用于建模时间依赖性,并提出新型时间位置编码策略以捕捉时间序列的连续性与周期性。Li等人开发了多传感器数据相关图卷积网络(MDCGCN)以应对实时交通流量预测的挑战。该模型有效捕捉交通模式中的动态时空相关性,显著提升预测准确率。Liang等人提出了时空感知数据恢复网络(STAR),利用图神经网络填补时空交通数据中的缺失值,确保智能交通系统(ITS)中实时监控与决策所需的精准数据恢复。Kong等人引入了动态图卷积循环插补网络(DGCRIN),该网络建模动态空间依赖性并利用多样数据填补缺失交通数据,从而提升实时交通数据分析能力。

b) 工业物流领域,Wu等人提出了一套基于工业物联网和长短期记忆网络(LSTM)的系统,用于制造资源的实时追踪。该系统通过准确定位产品推车并提供基于位置的服务,提升运营效率。Wang和Ma设计了PhysiQ框架,用于居家物理治疗运动监测。该系统采用多任务时空孪生神经网络评估运动质量,确保患者实时正确执行运动。

c) 消防安全领域,Zhang等人提出的AI数字消防系统(AID-Fire)利用卷积LSTM神经网络实时识别与监测火势演变,显著辅助灭火与疏散工作。

d) 医疗领域,Pan等人开发了基于时间的Swin Transformer网络(TSTNet)用于实时手术视频流程识别,通过建模时间信息与多尺度视觉数据实现高精度。

e) 电池管理领域,Li等人提出了一种结合卷积神经网络与LSTM的框架,用于锂离子电池退化的实时预测,确保电池健康监测的准确性。同样,Yi等人提出了一种利用LSTM网络进行锂离子电池实时温度预测与退化分析的方法,以维持电池安全与性能。

预测性维护。预测性维护对于确保各行业机械设备的可靠性和使用寿命至关重要。通过利用先进的人工智能技术,预测性维护能够准确预测设备故障并优化维护计划。

a) 在制造业领域,Li等引入了分层注意力图卷积网络(HAGCN),该网络结合空间和时间依赖性以预测机械的剩余使用寿命(RUL)。同样,Aivaliotis等物理的仿真来估算工业机器人的RUL,展示了将数字模型与实时数据集成的实用性。此外,Luo等提出了一种混合方法,融合基于模型和数据驱动的技术,用于精确预测数控机床寿命。

b) 在系统和设备诊断方面,已提出多种方法。Yang等提出了SuperGraph,一种基于时空图的特征提取方法,用于旋转机械故障诊断,该方法在处理复杂数据方面展现出显著优势。同样,Zhang等利用多变量时空图神经网络实现了机电设备的故障预测系统,提高了预测准确性。在电力电子领域,Peng等开发了DC-DC转换器的非侵入式健康指标估计算法,采用粒子群优化有效监控关键组件。针对物联网生态系统中的挑战,Altun和Tavli探索了分布式账本技术,提出了一种可提升预测性维护应用安全性和可扩展性的模型。Mubarak等结合机器学习和高级分析,为工业4.0创建了全面的预测性维护框架,优化维护决策并提升成本效益。

c) 在航空航天领域,Liu等强调了整合多种数据源以支持决策流程,提高预测性维护效率。同样,Tuegel等专注于使用高保真模型重新设计飞机结构寿命预测,确保在评估结构完整性时具有更高的准确性和安全性。

5.2 异常检测与诊断

异常检测(即故障检测)是识别并响应系统中偏离正常模式的异常模式或行为的过程。数字孪生系统创建物理实体的虚拟副本,异常可能以多种形式出现,例如设备故障、运行性能的意外变化或传感器数据中的不规则模式。若不及时处理,这些异常可能表明潜在问题,导致重大网络故障、安全隐患和经济损失。因此,异常检测对于维持数字孪生系统的完整性、可靠性和效率至关重要。通过利用先进的异常检测算法(如Autoencoders、GANs和RNNs),数字孪生系统能够持续监控和分析实时传感器数据及历史运行记录,以识别异常、预测潜在故障并制定维护措施,从而在高成本故障发生前及时干预和预防性维护。本节将深入探讨三个方面:1)数字孪生系统中的异常;2)异常检测类型;3)异常检测方法。

5.2.1 异常表征

数字孪生系统中的异常表现为偏离预期行为,可能表明系统物理或虚拟组件中的潜在问题。理解这些异常对于开发有效的检测与监控方法至关重要。本节将介绍异常的概念、提供数学定义,并给出与数字孪生系统相关的示例。

数字孪生系统中异常的定义:异常是指系统预期行为的任何偏离,可能涵盖数据、流程和性能指标等多个方面。形式化定义如下:给定系统状态空间S,异常被定义为显著偏离预期行为E(E ⊂ S)的状态s,即

image.gif 14.png

其中,s表示系统状态(例如特定温度读数或生产线速度等性能指标);状态空间S包含系统所有可能的状态,涵盖所有温度、压力或性能指标;预期行为E是S的子集,代表正常运行状态(如温度范围50°C至80°C);异常集合A包含超出该预期范围的状态(如温度读数超过90°C);概率P(s | E)衡量s在正常条件下发生的可能性,若低于预设阈值ε,则s被标记为异常。该定义广泛涵盖数据异常、过程异常和性能异常等多种类型,每种均对应数字孪生系统中的不同潜在问题。

5.2.2 异常检测类型与方法

在数字孪生系统中,异常可根据其特性和对系统的影响分为多种类型。以下小节将介绍数字孪生系统所需的异常检测主要类型:1)数据驱动异常检测;2)基于系统的异常检测。

数据驱动异常检测对数字孪生系统至关重要,该系统持续传输和监控来自各类传感器和系统的海量数据。数据异常可能源于多种来源,包括传感器故障、网络问题和运行故障。

a) 传感器数据异常通常由传感器故障或数据采集不准确引起。为解决此问题,已采用多种异常检测技术。例如,Hu等人提出了一种用于轴承故障诊断的掩码一维卷积自编码器(MOCAE)。该模型利用深度学习方法增强特征提取并提高故障检测精度。同样,Darvishi等人引入了一种深度循环图卷积架构,用于传感器故障检测、隔离和补偿。该方法构建虚拟传感器以修复故障数据,并使用分类器检测和隔离故障。此外,Hasan等人开发了一种基于Wasserstein GAN的模型,用于无线传感器网络中的早期故障检测。该模型使用格拉姆角度场编码将时间序列数据转换为图像,再通过GAN处理以检测异常,从而实现高故障检测精度。

b) 网络数据异常源于数据传输和网络性能问题(例如高延迟),影响数字孪生系统接收数据的可靠性和及时性。Li等人通过检测固定接入网络上的互联网服务质量异常来应对这一挑战。该系统聚合多个网络元素的数据,并采用实时模拟来检测服务质量下降和网络故障。此外,强调了以数据为中心的中间件在大规模数字孪生平台中的重要性。其提出的架构支持数字孪生系统内的高效数据通信,这对准确的异常检测和系统可靠性至关重要。

c) 操作数据异常源于系统运行过程中的不规则或故障。由于系统组件间的复杂交互,此类异常的检测和诊断尤为困难。为应对这一挑战,已提出多种异常检测方法。例如,Lian等人提出了一种用于检测油气站多变量时间序列数据异常的方法。其MTAD-GAN方法结合知识图谱注意力与时间霍克斯注意力,以准确识别和解释操作异常。在电力系统中,Shi等人利用随机矩阵理论和自由概率理论进行异常检测,准确刻画数据相关性并有效识别复杂操作中的异常。此外,Hao等人开发了一种融合SARIMA和LSTM的混合统计-机器学习模型,用于工业信息物理系统的异常检测。该模型以高精度和低计算复杂度识别网络攻击、恶意行为和网络异常,适用于实时应用。

系统级异常检测。在数字孪生系统中,系统级异常检测专注于识别和诊断由系统整体运行流程和网络通信产生的故障与异常。这些异常可能源于硬件故障和网络攻击等多种来源。我们将这些异常分为两大类:a) 运行故障诊断;b) 网络安全与网络通信。

a) 运行故障诊断涉及检测和诊断系统运行流程中的故障,包括机械故障、流程中断和部件磨损等。例如,Wu等开发了多层卷积神经网络用于高速列车转向架的实时故障诊断,提高了安全性并降低了维护成本。同样,在制造业领域,Lv等设计了基于主动学习和DANN的故障识别算法,显著提高了在不同运行条件下的故障诊断准确率和稳定性。Ghosh等构建了基于HMM的系统,以封装系统动态特性,通过提升理解、预测和决策能力来增强制造过程中的故障诊断。此外,Xu等提出了一种基于深度迁移学习的两阶段故障诊断方法,通过将训练好的模型从虚拟空间迁移至物理空间,实现实时监控和预测性维护,从而在动态生产环境中保持运行连续性。此外,Wang等探索了多种分类模型在智能制造中的异常检测,证明了决策树在实现高故障分类准确率和预防运行中断方面的有效性。

b) 网络安全与网络通信异常涉及数据传输、网络性能和安全威胁等问题,可能损害数字孪生系统的可靠性和完整性。为应对这些挑战,研究人员开发了多种方法。例如,Wang等利用HMM和迁移学习识别NFV环境中虚拟机的故障组件,提升了故障恢复能力并确保网络安全运行。同样,Liu等提出了一个自主可信网络框架,整合数据聚合、安全模型和智能配置模型,以主动检测和缓解威胁,从而防止安全漏洞和数据丢失。此外,Balta等开发了针对信息物理制造系统的稳健防御机制。通过结合数据驱动的机器学习和基于物理的模型来区分预期异常和网络攻击,他们确保了制造过程的完整性,并抵御恶意活动。

为有效检测和响应数字孪生系统中虚拟和物理组件的异常,已引入多种先进的机器学习和深度学习模型。这些模型能够持续监控和分析复杂数据,识别模式并预测潜在问题,从而确保系统的可靠性、完整性和效率。

基于机器学习的异常检测。数字孪生系统中的机器学习异常检测方法采用多种传统算法识别各领域异常。这些方法涵盖聚类和基于距离的技术、概率方法以及判别模型,每种方法在处理高维数据、捕捉复杂模式及提供实时异常检测与故障诊断的稳健解决方案方面具有独特优势。

a) 聚类和基于距离的方法适用于需要快速自适应响应异常的场景。Shetve等人提出整合DBSCAN、Isolation Forest和Local Outlier Filter的自适应N步技术,以在智能制造环境中高精度检测异常;Zhang等人通过加权距离优化k近邻(kNN)算法,提升多模态过程的故障检测效果;在医疗领域,Sarris等人开发基于K-means的算法从MRI扫描中检测脑肿瘤,Abirami和Karthikeyan则提出优化的模糊k近邻分类器用于早期帕金森病识别。

b) 基于概率的方法为处理不确定性和复杂数据关系提供稳健方案。Ademujimi和Prabh利用协同仿真训练的贝叶斯网络进行智能制造系统故障诊断;Ruah等人提出面向无线系统的贝叶斯框架,通过处理模型不确定性提升检测与数据优化效果;Shi等人应用基于随机矩阵理论(RMT)的方法利用SCADA数据实现早期异常检测,并采用时空相关性分析定位异常;Yu等人提出非参数贝叶斯网络用于健康监测,通过改进的高斯粒子滤波器(GPF)和狄利克雷过程混合模型(DPMM)实现实时更新;Maleh验证了机器学习模型在物联网系统网络安全中的有效性,即使在受限环境中也能保持高精度。

c) 判别模型(如支持向量机SVM)在定义分类任务决策边界方面表现优异。Gaikwad等人在机器学习框架中整合热仿真与传感器数据,利用SVM检测增材制造工艺故障;Yin和Hou强调SVM在复杂工业过程故障监测与诊断中的优势,突出其泛化性能及小样本场景适用性。

基于深度学习的异常检测技术通过利用复杂的神经网络架构,显著提升了数字孪生系统在各领域检测复杂模式和异常的能力。这些方法包括自编码器、GANs、CNNs、RNNs以及混合方法,每种方法在建模高维数据、捕捉时空依赖关系以及确保鲁棒的异常检测和故障诊断方面具有独特优势。

a) 自编码器及其变体在无监督异常检测和特征提取方面尤为有效。Castellani等人提出了一种基于孪生自编码器(SAE)的弱监督工业异常检测方法,在多种场景下优于前沿方法。Hu等人提出了一种掩码一维卷积自编码器(MOCAE)用于轴承故障诊断,在真实轴承数据集上表现出色。Xu等人利用深度迁移学习与堆叠稀疏自编码器(SSAE)模型,在动态制造过程中实现高保真故障诊断。

b) 生成对抗网络(GANs)在捕捉复杂数据分布及生成真实数据以用于异常检测方面表现优异。Xu等人提出了一种名为ATTAIN的GAN方法应用于信息物理系统,通过GCN-LSTM模块增强异常检测能力。Hasan等人提出基于Wasserstein GAN的模型,用于无线传感器网络中的早期漂移故障检测,检测传感器故障的准确率高。Lian等人引入数字孪生驱动的MTAD-GAN,用于石油和天然气站的多变量时间序列异常检测,通过注意力机制提升检测性能。

c) CNNs因其处理空间数据和提取分层特征的能力而被广泛应用。Danilczyk等人采用带注意力机制的多维反卷积网络,实现工业控制系统中的实时异常检测。

d) RNNs,尤其是LSTM网络,在捕捉序列数据的时间依赖性方面表现优异。Feng和Tian提出NSIBF方法,结合神经网络系统辨识与贝叶斯滤波,用于信息物理系统的鲁棒异常检测。Kumar等人将LSTM-SAE和BiGRU与自注意力机制结合,用于数字孪生赋能的IIoT网络中的安全通信,增强入侵检测能力。

e) 其他混合方法,如深度递归图卷积架构,也被用于解决传感器故障检测、隔离与补偿问题。Darvishi等人提出深度递归图卷积架构,用于大规模网络化系统中的传感器故障检测、隔离和补偿。此外,结合深度学习与其他方法的混合策略也得到了探索。Hao等人开发了融合SARIMA和LSTM的混合模型,用于ICS网络中的实时异常检测,在保持低计算复杂度的同时提供高检测准确率。

5.3 优化与控制

AI增强的优化与控制方法在管理复杂系统方面取得重大进展,将人工智能能力与数字孪生提供的详细建模和仿真相结合。这种集成带来了更智能、响应更快且可预测的优化与控制机制。AI在数字孪生中对优化和控制系统的增强体现在以下方面,包括AI增强的优化和自适应控制。

5.3.1 优化策略

传统基于数学规划的优化方法在处理数字孪生场景时,往往难以应对需要快速响应或复杂环境变化且需持续适应的场景。AI增强的优化方法可在一定程度上解决这些问题。本节分为两部分:第一部分讨论AI如何提升响应速度以增强数字孪生的实时优化能力,从而提升系统性能并降低资源消耗;第二部分总结AI如何增强适应性,以提升鲁棒性并更好地处理数字孪生自适应优化任务中的不确定性。

实时优化指基于实时传感器数据和模拟结果对物理系统进行即时调整,以优化系统性能。在需要即时决策和快速响应的相关任务中,AI提升了响应速度和决策效率,从而改善决策质量。例如,早期研究提出了一种基于强化学习的RL-RTO方法,用于流程系统,该方法将最优决策整合到神经网络中,与传统重复过程模型解决方案形成对比。RL-RTO方法在化学反应器中的应用显示,其年利润提升了9.6%,但仍落后于传统机理模型与非线性规划方法(后者提升了17.2%)。此外,Dong-Hoon Oh等人提出了一种用于优化加氢裂化装置操作的Actor-Critic强化学习策略,该策略基于误差小于2%的验证数学模型开发。

该方法在97.86%和98.5%的准确率下实现最优操作条件,展现出快速响应、低计算负担和高可定制性,适用于实际在线优化,并能适配其他化工行业。最近,研究人员通过提出融合人类知识的RL框架,解决了补料分批生物制药过程中的优化挑战。通过领域特定模拟器验证,该RL方案仅需极低的在线计算时间即可将批次产量提升14%,显示出比现有方法更大的潜力。此外,一系列研究探索了使用RL为数字孪生生成实时最优决策。总结来说,RL的优势在于训练最优策略而非在每个时间步优化动作。一旦确定最优策略,即可通过高效前向传播快速生成在线解决方案,从而实现更快的决策。

自适应优化是一种根据实时反馈和变化条件动态调整优化参数或策略,以持续提升性能并处理不确定性的方法。然而,传统数学规划方法通常涉及相对静态的模型,难以反复重新配置或调整参数以应对复杂多变的场景。通过收集实时数据并进行相应调整,AI能够更好地处理这些任务。早期研究主要集中在使用传统机器学习方法实现更好的自适应优化。尽管上述结果和方法能在一定程度上解决工艺参数优化问题,但其动态性较差,难以适应变化的环境。Liu等人提出了一种基于AI的自适应优化方法,用于预测表面粗糙度并自适应调整零件加工中的工艺参数,从而克服了传统优化方法在处理实时和不确定因素方面的局限性。

该方法通过构建数字孪生,并结合粒子群优化和广义回归神经网络,实现对刀具磨损和表面粗糙度的实时监控、预测,以及切削参数的自适应优化,从而提升加工过程的质量和效率。最近,Yang等人提出了一种结合联邦学习的自适应优化方法,利用联邦学习处理异构数据的优势。该方法收敛速度提升超过60%,流量消耗降低60%以上。通过整合多种AI技术,可以更有效地克服传统优化方法在动态性方面的局限,从而提升自适应优化能力,改进数字孪生相关任务。

5.3.2 自适应控制

自适应控制是一种通过利用实时仿真结果和传感器数据来提高物理系统效率或降低资源成本的技术。具体而言,通过强化学习的改进,自适应控制在包括制造设备调节、机器人技术和自动驾驶在内的多种应用中发挥关键作用。本节将重点介绍控制策略中最具代表性的AI技术——RL,并总结其相对于PID控制和模型预测控制等传统控制技术的优势。

强化学习和PID控制。在数字孪生的控制任务中,最传统且广泛使用的控制器是PID控制器。然而,PID控制难以处理高维、高度非线性及时变系统。通过整合强化学习技术,这些挑战可以在一定程度上得到解决。一种方法是使用RL智能体对PID控制器进行参数调优。早期尝试采用增量式Q-Learning策略在线调优PID控制器。该算法通过离散化技术在动作空间和状态空间方向动态扩展Q值表,以构建离散但精确的调优模型。其他方法则采用连续动作RL自动机算法和径向基函数Actor-Critic网络来调优PID控制器。然而,这些方法未能完全解决PID控制器固有的线性问题。此外,还尝试完全用RL替代PID控制器。一项研究成功应用DDPG算法,为可变几何涡轮增压系统的瞬态响应开发了智能控制策略。类似地,其他研究者提出了RL模型作为PID控制器的替代方案。

强化学习和模型预测控制。MPC是一种广泛使用的控制技术,特别适用于需要预见性动作的控制系统,广泛应用于自动驾驶和机器人控制等领域。虽然MPC能够处理复杂的多变量系统,但面临计算复杂性和模型精度的挑战。将RL与MPC结合提供了有前景的解决方案。一种方法是利用RL提升MPC控制器的性能。提出了一种基于数字孪生的自适应控制器,集成了SIL和HIL仿真。该方法允许实时优化MPC参数,增强其处理非线性和时变系统的能力。另一种策略是使用RL直接替换传统MPC算法。

研究人员开发了能够应对实际时变扰动的DQN策略模型。这些基于RL的控制器能够在无需显式模型更新的情况下适应系统动态变化,这是相对于传统MPC的重大优势。数字孪生在RL-MPC系统的开发中发挥关键作用。通过创建物理系统的精确虚拟表示,数字孪生为RL算法的训练和测试提供了安全的环境。例如,使用LSTM网络捕获控制系统的完整动态,作为RL训练的数字孪生。RL与MPC的集成在数字孪生的控制任务中展现了有前景的结果。

6 数字孪生的自主管理

6.1 自主管理的认知能力

自主管理依赖于数字孪生的认知层,使其能够理解人类意图并解读所管理系统的动态状态。这些认知能力构成了智能控制的基础:数字孪生必须首先明确目标需求并感知系统当前的运行状态。LLM提供将自然语言命令转化为管理操作的机制,而基础模型支持多模态数据的感知。二者共同构建了人类意图、环境理解与自主决策之间的语义桥梁。需要注意的是,当前基于LLM或扩散模型的世界模型无法保证物理保真度或闭环稳定性,其在数字孪生中的作用仍主要处于探索阶段。

6.1.1 与大语言模型的自然语言交互

自然语言交互使数字孪生体能够以直观的方式理解并响应人类指令。操作员无需依赖预定义脚本或手动配置,可直接使用自然语言下达管理目标,例如“降低能耗但不减缓生产”或“检查网络是否正常运行”。LLM解析这些指令,提取可操作的实体,并将其转化为数字孪生体可执行的正式目标。这一自然交互界面将数字孪生管理从高度技术化的过程转变为易于操作且协作的活动。

从语言到管理决策。将人类语言转化为系统级行动的能力,代表了自主管理中的核心认知进步。大语言模型能够将自由文本解析为结构化意图,识别任务中涉及的相关变量、约束和目标。随后通过模式对齐和函数调用,将这些结构化目标映射到内部控制模块或模拟工具中。例如,当用户请求“优化吞吐量同时保持温度低于70°C”时,模型将该请求转化为可测量的目标,为规划模块定义优化目标和边界条件。

该过程通过检索增强推理得到强化,模型基于实时系统数据和历史管理记录做出决策。通过整合来自传感器日志、历史性能数据和配置文件的上下文信息,模型避免了推测性推理,并确保生成的管理操作与物理系统的当前状态保持一致。因此,语言不再是一种模糊或歧义的沟通形式,而成为人类专业知识与机器执行之间的直接、可解释的接口。更重要的是,这种转变还带来了适应性。当系统收到部分定义或冲突的目标时,模型可以请求澄清、协商约束,或基于历史模式推断缺失细节。这种双向推理循环确保人类意图被准确转化为精确的操作指令,从而在自主控制中兼顾效率与安全。

对话式管理界面。除了单次指令外,大型语言模型使人类与数字孪生之间能够进行持续对话。通过对话界面,系统可提供当前状态摘要、报告正在进行的操作,并说明计划决策的理由。例如,在执行维护优化后,数字孪生可能回应:“冷却功率降低10%,能耗减少12%,未检测到过热。”这种透明度使用户无需微观管理即可保持知情。持续对话还支持动态协作,用户可通过自然语言细化目标,例如“更快降温但避免过冲”,系统立即调整计划,通过内部推理模块重新评估权衡。这种适应性将管理转变为持续的人机协商,语言成为共同理解的媒介。此外,对话提供了问责机制,数字孪生能够解释决策原因、引用所用数据并量化预测不确定性。这些基于对话的解释不仅能增强信任,还为监管透明度和可审计性奠定基础,这在制造业和基础设施管理等安全关键领域至关重要。

6.1.2 基础模型的多模态感知

数字孪生的自主管理能力不仅依赖于理解指令,还依赖于准确感知环境。基础模型通过学习图像、信号和文本的联合表征,将感知能力扩展至单个传感器之外。这种多模态能力使数字孪生能够解读复杂操作场景,识别模式、检测异常并推断单一数据流无法显现的隐藏条件。由此,它弥合了物理现象与数字感知之间的鸿沟。

多模态数据理解。基础模型通过将不同数据模态编码到共享语义空间中,学习解释多样化的数据。它们整合来自摄像头、振动传感器、声学信号、热成像阵列和文本日志的信息,构建对系统状态的全面理解。例如,模型可将微弱的噪音模式与异常振动频率关联,在传统诊断检测到前识别潜在的机械不平衡。

这种感知智能超越静态阈值,转向基于上下文的推理。通过将多模态信号抽象为可解释的嵌入,模型能够识别系统配置、运行模式及退化早期指标。该能力增强态势感知,为预测和控制提供更坚实的基础。随着环境变化,模型通过增量微调持续适应,使感知在新条件或传感器配置下仍保持准确。多模态数据理解支持物理层与数字层间的语义一致性。当系统检测到不一致(如传感器读数显示稳定但视频数据揭示异常),可标记这些差异供审查。这种跨模态信号交叉验证的能力提升可靠性,避免自主管理中的盲点。

多模态融合用于系统感知。融合机制将多元信息流整合为统一的态势表征,反映系统整体状态。通过空间和时间对齐,数字孪生体将局部信号整合为连贯的全局视图。例如,电网分布式传感器的数据可与卫星图像和维护日志融合,从而推断运行性能与环境应力模式。这种综合感知使数字孪生体能够推理组件间的交互关系,而非孤立处理各子系统。融合驱动的感知还支持主动行为:数字孪生体可识别新兴模式、预测级联效应,并提前调整管理策略。

通过追踪跨模态的相关性,它学习物理状态与运行结果之间的因果关系。结果不仅是更丰富的感知,更是对系统动态的具身理解。最后,维持感知要求数字孪生体透明地表征不确定性。基础模型量化预测置信度,并将每个推断与可追溯的证据关联。该信息传递至规划与决策模块,确保高风险判断得到保守处理或交由人工监督。由此,多模态融合将原始数据转化为可操作的感知,作为自主管理中推理与规划过程的感知对应体。

6.2 实现自主决策与规划

认知能力使数字孪生能够理解意图并感知系统状态,而自主管理进一步要求具备在无需明确人工干预的情况下做出决策、规划行动并适应变化条件的能力。本节讨论基于智能体的推理和自适应学习如何提供决策机制,以及自我优化和闭环控制如何完成自主管理的循环。这些要素共同实现MAPE-K范式,使数字孪生能够持续监控、分析、规划、执行和优化管理策略。

6.2.1 基于智能体的推理与自适应学习

基于智能体的推理为数字孪生赋予了模块化结构,使其能够在复杂环境中智能行动。每个智能体具备自主性、感知、推理和学习能力,同时充当决策者和管理任务的执行者。在数字孪生系统中,智能体感知环境输入,分析上下文信息,生成管理计划,并通过与底层物理或模拟系统的交互执行操作。强化学习和持续学习进一步使这些智能体能够从经验中优化策略,并在多智能体环境中与其他智能体协调。

自主管理的智能体架构是运行核心。通常基于MAPE-K循环,智能体持续监控系统状态、分析模式、规划干预、执行动作并更新知识库。该循环将管理从被动转为主动,使数字孪生体即使在不确定性下也能保持稳定运行。

架构通常包含四层:感知层收集多模态信号,分析层诊断状态或预测结果,规划层制定自适应策略,执行层与执行器或仿真模块交互。这些层双向交互,确保每个动作基于当前观察,结果反馈至学习和优化。例如工业工厂的自主运行:智能体持续评估性能指标,检测瓶颈,协调调整温度或资源分配等操作。当系统偏离预期性能时,规划层提出新配置,执行层自动实施。知识组件存储上下文规则,如控制变量与结果间的因果关系,使系统能推理“为什么”某些策略有效并复用于未来场景。此外,基于智能体的框架支持分层与分布式管理。本地智能体处理子系统优化,高层智能体协调全局目标,确保个体行动与系统整体性能一致。这种结构提升了可扩展性与鲁棒性,局部故障可由邻近智能体补偿,无需中央控制。

从管理经验中学习。自适应学习将数字孪生从静态控制系统转变为自我改进的实体。通过RL,智能体学习管理策略,以最大化长期奖励而非即时性能。每次经验,包括成功、失败或异常,都有助于优化这些策略,使数字孪生能够预测未来类似情境中其行动的后果。

随着时间推移,这种持续改进带来弹性和高效的管理策略。例如,一个管理数据中心能耗的智能体,最初可能通过模拟探索不同的冷却策略。随着积累关于温度稳定性、成本和延迟的反馈,它逐渐学习到平衡能效与性能的最优控制策略。这一过程类似于人类获取专业知识——不仅从积极结果中学习,也从错误中吸取教训以做出更好决策。除了单智能体学习,多个数字孪生间的协作学习能增强全局智能。当一个系统的经验通过联邦学习或迁移学习与另一个系统共享时,集体知识库得以扩展。这使得系统能够快速适应新环境而无需从头开始,为复杂基础设施网络形成一种“组织记忆”。最终,从管理经验中学习使数字孪生超越预编程行为,实现在动态、不确定且数据丰富的环境中的自我适应。

6.2.2 自我优化与闭环控制

自我优化是自主管理的最高阶段,数字孪生不再依赖外部指令,而是通过闭环反馈持续优化性能。系统实时监测自身行为,识别低效环节,并自动执行纠正措施。当融合预测与认知能力时,闭环控制将数字孪生转化为可自主维持最优性能的智能体,仅需最低限度监督。

自主闭环管理。闭环管理通过持续连接感知、推理与执行,完成自主控制循环。在此范式中,数字孪生监控实时数据,检测与预期性能的偏差,并触发自校正动作。MAPE-K循环在实时环境中运行:Monitor捕获状态数据,Analyze检测异常或预测结果,Plan生成干预措施,Execute应用调整,Knowledge更新未来策略。例如,在智能制造中,当振动传感器显示设备可能存在疲劳时,数字孪生预测故障发生时间,并在故障发生前自动安排维护。系统随后评估干预措施的有效性,从结果中学习以改进未来响应。这一检测、行动与优化的循环确保了对变化的运行条件的持续适应。自主闭环管理的优势在于其持续优化性能的能力。

与依赖定期校准或手动调整的开环系统不同,闭环系统支持持续学习、模型重新校准和策略调整。随着时间推移,数字孪生在自我管理方面更加熟练,弥合了基于仿真的优化与现实世界运行自主性之间的差距。

人机协作管理。尽管自主性有所提升,但完全脱离人类监督通常既不可取也不安全。人机协作对于平衡效率与责任至关重要。协作管理框架定义了不同的自主级别——从完全手动控制到完全自主运行——当不确定性或风险超过预设阈值时允许人工干预。在中等自主级别下,数字孪生充当智能助手,推荐行动、解释推理,并在获得批准后执行任务。这种协作流程通过分担复杂计算,同时保持透明度和信任,从而增强人类决策能力。例如,在电网管理中,数字孪生可能自动调整电压以稳定供电,但在后果涉及伦理或经济敏感性时,将限电决策交由人工操作员处理。协作还延伸至学习领域:人类专家可通过提供系统响应反馈或标记异常案例以供模型重新训练来指导数字孪生。

这种混合反馈加速了学习收敛,同时确保自主管理符合人类价值观和监管约束。最终,人机协作管理的目标不是取代人类判断,而是增强它——创造不仅自主管理、自我解释,还能在以人为中心的系统中负有责任的数字孪生。

7 应用

7.1 医疗系统

电子健康记录(EHRs)的快速普及以及数字医疗和智能医疗的兴起,加速了多种技术的整合,旨在优化医疗运营、改善患者预后、降低医疗成本。在这些创新中,数字孪生技术通过模拟复杂系统并整合现实实体的虚拟表示与AI,推动医疗保健变革。以下章节将概述数字孪生技术在关键医疗领域的主要应用,包括临床实践、临床研究、药物发现、疾病建模和精准医学。

临床工作流程优化。随着医院从传统实践转向技术驱动的信息系统,数字孪生成为监控运营和管理资源的关键。通过整合实时和历史EHR数据以模拟临床资源使用及系统级流程,数字孪生作为适应性虚拟环境,支持运营决策。这些模型超越简单预测,使医疗管理人员能够测试干预情景并制定数据驱动策略,以优化人员配置、床位利用率和设备部署。基于模拟的决策支持确保资源最优利用,减少浪费和运营成本。例如,西门子医疗在2018年于Mater私立医院应用数字孪生模拟MRI和CT工作流程,识别潜在改进点,显著提升患者体验。

此外,数字孪生促进情景规划与决策,使医院能够应对各种突发情况,如患者突然激增或医疗政策变化,从而增强医院环境的灵活性、韧性和整体护理质量。Karakra等人提出基于离散事件模拟的数字孪生模型,用于评估当前医疗服务体系效率,并在不影响日常运营的情况下评估服务变更的影响。2019年,Karakra等人进一步开发了HospiT’Win——一个虚拟医院模型,使医疗提供者能够追踪患者路径、监控行为并预测未来结果。

image.gif 15.png

图4:以患者为中心的医疗数字孪生框架。多源患者数据,包括实时生理信号、电子健康记录、临床测量数据、实验室结果、基因和药物数据,通过数据摄入与监控持续输入至数字孪生平台。该数字孪生支持疾病建模与分析、治疗模拟与个性化,生成可操作的见解以支持临床决策和干预。通过构建数据、建模与干预之间的闭环,该框架促进虚拟临床工作流程、运营试验和药物研发,并加速研究,最终改善患者护理、降低成本并推动个性化医疗。

临床试验。除了简化医疗工作流程外,数字孪生还显著推动了临床研究的进步。它能够为临床试验的设计和模拟提供变革性潜力,解决诸如对照组缺失、样本量小和可推广性有限等持续存在的障碍,从而推进医学研究中的证据生成。例如,数字孪生利用先进的AI和机器学习模型创建虚拟患者,模拟反事实结果,使试验在参与者更少的情况下仍能保持统计功效。

这种方法有望通过同时模拟多种场景来缩短临床试验的周期和成本,从而减少对大规模人体试验的需求,并加速新疗法的开发。例如,2021年,Qian等人提出了SyncTwin方法,该方法从治疗前观察数据中学习患者特定的时间不变表示,以创建与目标患者高度匹配的数字孪生体,从而实现精准的反事实预测。同样,2023年,Das和Wang等人推出了TWIN模型,该模型利用大语言模型为患者创建个性化虚拟模型,从而增强临床试验。这些数字孪生体基于真实世界数据模拟患者健康轨迹并预测临床结果,展示了数字孪生技术在试验效率和精确性方面的显著进步。

药物发现与开发。药物发现涉及识别潜在新药、理解其作用机制,并在进入临床试验前优化其有效性和安全性。利用数字孪生技术的药物发现与开发过程包括创建生物系统的虚拟模型,以模拟疾病机制和药物相互作用。该过程通常始于通过建模细胞过程和相互作用来识别和验证治疗靶点。候选药物随后通过模拟与这些靶点的相互作用进行筛选,以在临床前测试前实现优化。基于数字孪生的计算机模拟试验有助于预测药物行为和潜在副作用,优化临床阶段的试验设计和患者分层。该方法通过在虚拟生物系统中提供对药物行为的详细理解,加速药物开发、降低成本并提高成功率。2023年,Moingeon强调了数字孪生在自身免疫疾病药物开发中的应用,利用多组学数据创建人体细胞的数字孪生,包括单细胞水平的详细信息。

该数据结合机器学习可预测细胞对不同候选药物的反应,实现数十亿种药物组合的快速测试。这不仅加速了靶点识别和优化,还促进了药物重定位以用于新的治疗应用。另一个例子中,Subramanian利用数字孪生技术创建了综合虚拟模型,模拟肝脏功能、疾病进展和治疗反应。该模型整合实验研究和数学框架的数据,使研究人员能够在临床试验前预测药物性肝损伤并优化候选药物。

疾病建模、诊断与预后。数字孪生技术能够创建动态、个体化的患者模型,在推进精准医学方面发挥关键作用,支持早期疾病检测和病程预测。数字孪生通过整合医学影像、电子健康记录、基因信息和实时传感器数据等多种来源的数据,能够模拟广泛的生理和病理过程。数字孪生能够模拟器官功能,追踪疾病发展,并预测特定患者的疾病进展。无需侵入性操作即可模拟和分析多种医疗场景,代表了医疗技术和患者护理的重大进步。

通过运行模拟,医护人员可以在不对患者造成风险的情况下测试不同药物或生活方式改变的影响。这有助于早期发现潜在健康问题并进行主动干预。2024年,Wang等人将数字孪生技术应用于模拟多芯光纤的非均匀光学特性,实现非像素化、高分辨率的肿瘤成像,以增强癌症诊断。Surian等人利用来自不同队列的临床和生理生物标志物数据,开发了模拟代谢健康状况的数字孪生。

该模型能够准确预测三年内慢性肾病(CKD)的发病情况,并有效对患者进行风险分层,促进早期检测并改善CKD的管理策略。同样,Venkatapurapu等人整合了克罗恩病(CD)的机制模型和每位患者的数字孪生,以预测黏膜损伤和愈合的时间进程,提供详细且按时间顺序的疾病动态预测,以支持治疗决策。

个性化治疗。个性化治疗通过根据患者的特定遗传、环境和行为特征定制医疗干预措施,提供更精准有效的诊疗方案。与疾病诊断中的应用类似,数字孪生技术通过整合多源数据构建患者个体的虚拟副本,聚焦于全面健康洞察与治疗方案的精细定制。通过整合患者遗传信息,数字孪生可模拟不同药物与个体独特基因组的相互作用,在用药前预测潜在副作用或不良反应,从而提升治疗效果并减少不良反应。此外,数字孪生支持治疗计划的持续监测与动态调整,确保照护效果长期保持最优。例如,Martinez-Velazquez等人构建的Cardio Twin基于数字孪生技术,整合智能手机传感器、外部设备、社交网络及医疗记录数据进行实时分析,通过分析患者特异性数据预测药物相互作用并定制疗法,同时自动处理实验室数据传输与紧急服务请求,优化心血管疾病患者的个性化治疗。

同样,Wickramasinghe等人在子宫内膜癌患者的个性化护理中应用数字孪生技术,通过分析海量数据构建癌症进展及治疗反应的预测模型,而非依赖预设理论框架。基于数字孪生的临床支持系统借助人工智能和机器学习处理大规模数据集,有效应对传统癌症护理中的复杂性与认知局限,显著提升癌症治疗的精准度与疗效。

7.2 生物系统

数字孪生技术在生物系统中的应用是一项突破性进展,有望革新生命科学的多个领域 。通过创建生物实体的精确虚拟副本,数字孪生技术使研究人员能够实时模拟、分析和预测复杂生物过程的行为。这一创新方法有助于深入理解分子相互作用、细胞动态和解剖功能,提升研发能力,改进诊断技术,优化实验与治疗干预,并优化生物制造流程。

分子研究。数字孪生技术可应用于生物系统的多个层面。在分子层面,数字孪生能够高精度模拟蛋白质、核酸、脂质及其他生物分子间的相互作用。这些模拟涵盖详细的分子动力学过程,包括蛋白质-蛋白质相互作用、DNA-RNA转录与翻译过程、脂质双层形成与行为,以及复杂分子组装。因此,数字孪生为复杂生化通路和分子机制提供了全面见解,助力靶向疗法、个性化医学和生物技术创新的发展。例如,Hengelbrock等人利用数字孪生技术对mRNA转录过程的物理过程构建虚拟模型,以模拟和优化生产条件。

通过确定关键动力学参数并使用活塞流反应器进行高通量筛选,研究人员显著提升了mRNA产量,并减少了截短mRNA等杂质。该方法在短时间内高效生产了20种疫苗候选物,生产效率提升十倍。在生物制药4.0框架下整合过程分析技术与数字孪生,实现了连续自动化生产,确保mRNA疗法的可扩展稳定供应。同样,Silva等人利用数字孪生优化了单克隆抗体(mAbs)纯化过程中使用的色谱工艺。数字孪生框架促进了阳离子交换(CEX)树脂的筛选、模型校准以及不同条件下色谱行为的预测,从而简化工艺开发、减少实验工作量并加快进程。

细胞制造和代谢途径。细胞层面的数字孪生创建精准实时的生物过程虚拟模型,整合多源数据以模拟和优化细胞生长、生产及代谢活动的条件。这些数字孪生使研究人员和制造商能够实时监控、预测和调整参数,显著提升效率并确保产品质量的一致性。在细胞制造中,数字孪生通过微调温度、pH和氧气水平等参数来优化生物反应器条件,调控营养供给以维持最佳生长条件,并通过持续监测和反馈循环预测产品质量。对于代谢途径,它们模拟复杂的生化过程,包括酶活性、代谢通量和基因修饰的影响,从而提升基于细胞过程的设计和生产效率)。例如,Cheng等人将数字孪生模型与生物系统之系统(Bio-SoS)结合,用于模拟单细胞模型和代谢转变模型等子模型中的相互作用。

该方法可实时调整培养条件并优化营养管理,确保细胞培养结果的一致性和高质量。通过模拟从分子到宏观尺度的相互作用,该数字孪生模型全面解析细胞培养过程,促进更高效灵活的制造。同样,Helgers等人采用数字孪生技术,利用动态代谢模型提升基于CHO细胞的抗体生产,该模型模拟糖酵解、TCA循环和氨基酸代谢等核心代谢途径。该模型整合了详细的反应动力学和反馈机制,实现对代谢活动和细胞生长的精确控制。该数字孪生具有高准确性和精确性,有效优化了单克隆抗体的产量和产品质量。通过整合实时数据与预测建模,该数字孪生支持持续工艺改进和稳健的工艺控制,确保高生产力及符合监管标准。

单个解剖结构是指身体中具有特定形态和功能的独立组成部分,如器官、骨骼和肌肉。针对这些结构的数字孪生技术提供详细、精确的模型,提升研究和教育水平。它们支持术前规划,使外科医生能够模拟复杂手术流程,从而降低风险并改善结果。此外,数字孪生技术还能促进医疗器械的模拟与测试,确保其应用前的安全性和有效性。这些虚拟模型通过MRI、CT扫描和超声等高分辨率成像技术创建,整合解剖和生理数据,利用深度学习技术实现对真实场景的高级模拟。例如,Shu等提出Twin-S模型,专为颅底手术设计,可实时模拟、监控并持续更新手术的全部关键环节以复现真实条件。

该模型采用高精度光学追踪和实时模拟技术,生成手术器械、患者解剖结构及手术摄像机的详细虚拟模型。通过整合CT扫描等数据并进行校准,系统确保精确呈现,并以28帧/秒的速率更新虚拟模型。Twin-S的评估结果显示,钻孔模拟的平均误差为1.39毫米,证明其精确性及提升手术规划与效果的潜力。

该领域一项特别显著的进展是开发了大脑的数字孪生模型。数字孪生大脑(DTB)技术整合多模态神经影像数据、基因组数据、行为数据和认知评估,构建能准确模拟解剖结构、功能连接及动态变化的个性化脑模型。该虚拟模型在神经科学研究、临床实践和BCI方面具有巨大潜力。2024年,Park、Wang、Guan及其同事推出了一套整合平台,用于人类大脑的多尺度分子成像与表型分析,构建了亚细胞分辨率的3D图谱。这种创新方法同时绘制全脑结构并捕获高维特征。该平台包括“Megatome”设备,可精细切割完整的人脑半球而不造成损伤,以及“mELAST”技术,使每片脑组织清晰、柔韧、耐用、可扩展,并能快速、均匀且重复地标记。

此外,“UNSLICE”计算系统无缝拼接切片,重建每个半球的完整3D结构,精确对齐单个血管和神经轴突。该平台有望实现对大量人脑和动物脑的全面分析,增进对物种间相似性、群体差异及疾病特异性特征的理解。同时,它促进了单神经元投射图谱与分子表达谱的整合映射,揭示神经回路的组织原则及其在疾病中的变化,从而推进对疾病机制的理解。

多尺度生物系统。多尺度数字孪生体旨在捕捉分子、细胞、组织和器官系统层面的生物过程之间的相互作用。与聚焦于局部动态的单尺度数字孪生体不同,多尺度数字孪生体需要调和跨层次的空间分辨率、时间动态和数据模态差异。这带来了根本性的建模挑战:对齐数据密度不一致的尺度、整合机理模型与统计代理模型,以及在保持内部一致性的同时实时更新系统。

此外,许多生物相互作用是双向的:分子扰动可能导致器官层面的变化,但系统性状态如炎症或激素反馈也能重塑细胞行为。为应对这一复杂性,多尺度数字孪生体通常采用模块化架构,其中不同的子模型(e.g., 基因调控网络、代谢通量模拟器、生物力学求解器)通过接口层耦合。这些模型支持涌现生理现象的高保真模拟,并能对无法在单一生物层面理解其行为的疾病(如癌症进展、器官衰竭或复杂神经疾病)进行假设检验。

多尺度数字孪生体通过整合建模无法用单一层次解释的复杂疾病系统,将这些框架付诸实践。例如,在肿瘤学领域,TumorTwin通过整合基因组特征、组织病理学特征、肿瘤微环境数据和纵向影像,构建患者特异性的乳腺癌数字孪生体,从而在分子、细胞和解剖层面模拟肿瘤演化与治疗反应。在器官衰竭领域,Gallo等人开发的肝脏数字孪生体整合了肝细胞级代谢、区域化小叶血流和全器官灌注数据,可预测空间特异性的药物性肝损伤及系统性失代偿。

在神经疾病领域,针对癫痫刺激的虚拟脑数字孪生体通过整合患者特异性的结构MRI/DTI、网络级神经群体模型和EEG/SEEG数据,建立了个性化脑数字孪生体。该多尺度架构揭示了刺激如何扰动局部兴奋性并触发全脑癫痫传播,支持个体化致痫灶评估及神经刺激策略的计算机模拟测试。在这些领域中,多尺度数字孪生体作为统一平台,整合从分子或细胞水平到器官和系统层面的数据与机制,从而提供机制性洞察和可操作的模拟。

7.3 航空航天

航空航天领域融合了工程、数据分析和系统控制等多个学科,以支持飞机和航天器的开发与运营。由于其复杂性和严格的安全要求,该行业迅速采用数字孪生技术作为现代化的基础。数字孪生技术创建了物理系统的虚拟模型,支持持续监控、仿真和预测分析。当与人工智能和基于物理的建模集成时,这些系统支持自适应设计、预测性维护和自主决策,标志着航空航天工程的重大变革。

飞机设计。在设计阶段,数字孪生支持航空结构的虚拟原型制作和早期验证。通过将CAE模型与CFD和FEA结合,工程师可在物理测试前探索气动性能和结构完整性。李等人提出了一种用于复合材料部件制造的数字孪生框架,该框架将工艺数据与仿真反馈同步以最小化偏差。在欧洲,Clean Sky 2项目利用数字孪生模拟载荷下的机身变形并优化轻质材料,实现了燃油效率的显著提升。这些进展展示了数字孪生如何缩短设计周期并提高飞机开发的准确性。

护与健康监测。维护已成为数字孪生在航空航天领域最成熟且应用最广泛的应用之一。通过将实时传感器数据与高保真物理模型结合,工程师能够估算关键部件的剩余使用寿命并识别早期疲劳迹象。美国空军开发了机身数字孪生项目,以模拟累积损伤并更有效地安排检查。西门子将数字孪生系统应用于发动机监控,结合振动和温度数据预测性能退化并预防计划外故障。随着AI诊断技术的进步,这些预测模型正助力航空航天行业从被动维护转向主动资产管理。

飞行模拟与任务规划。数字孪生技术通过创建用于训练和任务测试的动态数字环境,正在重塑飞行模拟。通过集成气动与结构建模,工程师能够评估不同大气和操作条件下的飞行稳定性和操控性。NASA将数字孪生环境整合到其模拟平台中,用于在实际部署前测试自主飞行算法和故障恢复程序。这些虚拟测试平台减少了对昂贵物理实验的依赖,提升了飞行员决策支持能力,特别是在需要实时适应性的任务中。

空间任务与卫星系统。在空间操作中,数字孪生协助任务控制器管理航天器健康状况并预测轨道上的系统行为。NASA的阿尔忒弥斯计划应用数字孪生模拟推进、通信和热控子系统,使任务规划者能够评估极端条件下的性能。对于卫星星座,数字孪生模拟器模拟轨道动力学和传感器交互,帮助团队预测燃料消耗并提前检测异常,防止其升级。欧洲航天局已采用类似架构进行地面控制验证,提高了可靠性并减少了任务延误。这些应用展示了数字孪生在保障航天资产安全并延长使用寿命方面日益重要的作用。

自主空间机器人。数字孪生技术同样为轨道和行星探测机器人系统带来变革性影响。通过构建机器人机械臂和火星车的高保真模型,工程师可在微重力和恶劣地形条件下测试控制策略与故障响应。NASA利用数字孪生框架监测国际空间站机械臂,预测机械磨损并优化运动规划。Grinshpun和Rossmann的研究表明,数字孪生虚拟测试使自主机器人能够演练碎片清理与卫星维护任务,确保部署前的操作安全。这些进展凸显了数字孪生技术如何赋能更具韧性、自学习的机器人系统,使其能在偏远环境中自主运行。

数字孪生技术通过将数据、物理建模和智能分析融合到持续反馈系统中,重新定义航空航天工程。从早期飞机设计到自主航天任务,这些技术贯穿整个航空航天全生命周期,提升精度、可靠性和效率。

7.4 智能城市

城市化的快速推进,加之城市居民日益增长的生活需求和技术进步,显著加速了智能城市的发展。智能城市融合了数字孪生、IoT、区块链和AI等创新技术,以提供智能服务并提升当地居民的生活质量。在这些技术中,数字孪生提供真实城市环境的虚拟副本,为提升智能城市能力提供了强大平台。此外,AI通过提升数据准确性、预测分析和决策能力,进一步强化了智能城市的数据驱动基础。本节探讨了数字孪生和人工智能技术在智能城市中的应用。

建筑能效。建筑占城市能源消耗的大部分,使其成为智慧城市发展的关键关注点。在城市建筑能源系统中,数字孪生显著提升了智能计量基础设施的能力。该基础设施能够以细粒度记录用电情况,电表读数间隔小于一小时。除了电力计量外,建筑级传感基础设施越来越多地整合物联网传感器,以捕捉环境和运行变量,如occupancy和室内温度,这些是建筑能源需求的关键驱动因素。

近期研究指出,此类物联网感知基础设施是数据驱动能源管理系统中大规模城市和建筑数据的主要来源。这些异构传感器流构成了数据驱动的建筑能源建模与控制的数据基础。当与机器学习技术结合时,这些丰富的能源数据可支持多种应用,包括能源负荷分析、预测、管理以及能耗实时评估。例如,决策树和支撑向量机(SVM)分类器可用于实时检测异常能耗模式。此外,K近邻分类器可用于分析商业建筑中使用者的能耗行为。对于建筑能源预测,Fan等利用深度学习技术进行数据增强,显著提高了建筑短期能源预测的准确性。

微电网。微电网和智能电网是数字孪生技术最重要且应用最成熟的领域之一。与建筑层面的能源系统不同,微电网在本地发电、分布式负荷和公共电网的交汇处运行,其应用范围超越了单纯的建筑能效。典型的微电网整合了分布式能源资源、互联负荷、储能系统和控制机制,能够在并网和离网模式下灵活运行。在数字孪生框架下,微电网已被广泛研究以提升系统级智能、鲁棒性和运行韧性。现有研究主要聚焦于预测任务,包括可再生能源发电和负荷预测,以及系统管理和实时监控。

数字孪生模型还被应用于故障检测和预测性维护,有助于早期识别异常行为和部件故障。此外,网络安全和系统保护已成为关键研究课题,尤其是在微电网中日益紧密的信息物理耦合背景下。一个突出的研究方向是利用数字孪生主动增强电网对多方面不确定性的韧性。先进框架采用混合随机-鲁棒优化方法,确定正常和韧性运行下的最优调度,有效建模与电网成本、可再生能源发电和负荷相关的不确定性。

除独立运行的韧性外,数字孪生对于深化微电网与主电网的运行和支持性整合至关重要。这不仅包括断电时的孤岛运行,还包括在正常条件下为主电网提供主动支持。例如,基于数字孪生的协调控制策略可以调度风能和太阳能等分布式能源资源,为电网提供快速频率支撑,这在可再生能源渗透率不断提高的情况下尤为重要。在本地配电层面,数字孪生在协调复杂现代能源消耗方面发挥不可或缺的作用,尤其是在建筑群和电动汽车充电站中。电动汽车的时空灵活性,包括其移动能力和调整充电时间的能力,既为本地能源管理带来挑战,也提供了独特资源。近期研究提出了基于数字孪生的策略,用于协调停电后形成的多个临时微电网中的电动汽车充放电。

此外,Sun等人强调数字孪生在提升微电网应对各种不确定性的韧性方面的作用,包括可再生能源的间歇性、负荷波动和电网扰动。Lasseter等人强调了微电网与公共电网集成的研究关注度日益增长,特别是在建筑群和电动汽车充电站等本地能源消耗场景下。此外,Palensky等人证明,数字孪生支持的协同仿真和控制策略为协调多子系统和不同运行规模的能源流动提供了有前景的方法。

微电网。微电网和智能电网是数字孪生技术最重要且应用最成熟的领域之一。与建筑层面的能源系统不同,微电网在本地发电、分布式负荷和公共电网的交汇处运行,其应用范围超越了单纯的建筑能效。典型的微电网整合了分布式能源资源、互联负荷、储能系统和控制机制,能够在并网和离网模式下灵活运行。在数字孪生框架下,微电网已被广泛研究以提升系统级智能、鲁棒性和运行韧性。

现有研究主要聚焦于预测任务,包括可再生能源发电和负荷预测,以及系统管理和实时监控。数字孪生模型还被应用于故障检测和预测性维护,有助于早期识别异常行为和部件故障。此外,网络安全和系统保护已成为关键研究课题,尤其是在微电网中日益紧密的信息物理耦合背景下。一个突出的研究方向是利用数字孪生主动增强电网对多方面不确定性的韧性。先进框架采用混合随机-鲁棒优化方法,确定正常和韧性运行下的最优调度,有效建模与电网成本、可再生能源发电和负荷相关的不确定性除独立运行的韧性外,数字孪生对于深化微电网与主电网的运行和支持性整合至关重要。

这不仅包括断电时的孤岛运行,还包括在正常条件下为主电网提供主动支持。例如,基于数字孪生的协调控制策略可以调度风能和太阳能等分布式能源资源,为电网提供快速频率支撑,这在可再生能源渗透率不断提高的情况下尤为重要。在本地配电层面,数字孪生在协调复杂现代能源消耗方面发挥不可或缺的作用,尤其是在建筑群和电动汽车充电站中。电动汽车的时空灵活性,包括其移动能力和调整充电时间的能力,既为本地能源管理带来挑战,也提供了独特资源。近期研究提出了基于数字孪生的策略,用于协调停电后形成的多个临时微电网中的电动汽车充放电。此外,Sun等人强调数字孪生在提升微电网应对各种不确定性的韧性方面的作用,包括可再生能源的间歇性、负荷波动和电网扰动。

Lasseter等人强调了微电网与公共电网集成的研究关注度日益增长,特别是在建筑群和电动汽车充电站等本地能源消耗场景下。此外,Palensky等人证明,数字孪生支持的协同仿真和控制策略为协调多子系统和不同运行规模的能源流动提供了有前景的方法。

公共安全与环境。数字孪生技术在提升公共安全和环境治理方面发挥着越来越重要的作用,通过提供动态、数据驱动的框架来模拟、监控和管理复杂城市系统。其主要应用包括应急管理、环境风险评估和关键基础设施保护。在应急管理领域,数字孪生体是灾害预防、实时响应和灾后恢复的有效工具。通过整合IoT传感器实时数据、地理信息系统及历史事件记录,数字孪生体生成城市物理状态的实时更新虚拟模型。该动态模型使相关部门能够可视化洪水、地震和野火等自然灾害的演变过程,评估其对人口和基础设施的潜在影响,并通过情景模拟评估替代疏散计划或资源分配策略。例如,在洪水事件中,数字孪生体可模拟水动力学过程、预测淹没范围、识别易损关键资产,从而支持预警发布和针对性应急干预。

除被动灾害响应外,数字孪生体还支持主动环境监测与公共卫生保护。通过整合空气质量传感器、交通流量及气象观测数据,数字孪生体可建模并预测城市空气污染动态,识别污染热点并评估交通限行、排放控制等缓解措施。同样,数字孪生体可用于监测噪音污染的时空分布及其对城市宜居性与社区福祉的影响。数字孪生技术还通过持续监控关键基础设施保障公共安全。如Khan等人所示,嵌入数字孪生框架的机器学习技术可实现对桥梁、隧道、电网等资产的结构异常或性能退化早期检测。通过实时比对物理结构传感器数据与数字孪生体预测的预期行为,可在故障发生前预判潜在问题,从而实施预测性维护策略,降低灾难性事件风险。该能力对航空航天和交通运输系统中的先进复合材料尤为关键,数字孪生体通过结构健康监测(SHM)确保长期完整性与运行安全。

7.5 移动性与交通

交通运输领域日益增长的互联互通和自动化趋势正越来越多地借助先进技术优化交通管理并提升系统整体效率。数字孪生作为一种极具前景的技术,可创建交通生态系统中各要素的动态实时模型,包括监控和模拟交通流量、评估车辆性能及道路状况等关键因素,这些因素共同影响交通系统的效率与安全性。通过提供物理世界的全面且持续更新的虚拟模型,数字孪生技术成为移动性与交通创新的关键工具。鉴于网联自动驾驶车辆(CAV)和车联网(IoV)技术的快速发展,将数字孪生集成到交通管理平台中已愈发可行且有利。这种集成有望通过实现更安全、高效的交通管理解决方案,进一步革新移动性与交通系统。

连接与自动化车辆。CAV技术的兴起为超越传统自动驾驶的数字孪生应用提供了新平台。随着车辆自动化和互联水平的大幅提升,这些车辆不仅能通过车载感知传感器(如摄像头、LiDAR、雷达)感知周围环境,还能通过V2X通信与其他车辆、基础设施等实体进行交互。多项研究利用云计算赋能数字孪生技术,支持CAV应用。例如,Wang等人提出了基于端-边-云架构的移动数字孪生框架,为CAV提供多种微服务。Alam和Saddik设计了基于云的信息物理系统(CPS)的数字孪生框架参考模型,其中提出了基于远程信息处理的驾驶辅助应用,包含三个部分:1)计算,2)控制,3)传感器与服务融合。

Kumar等人开发了以数字孪生为中心的方法,结合机器学习、边缘计算、5G通信和数据湖,用于驾驶员意图预测和交通拥堵规避。Wang等人提出了CAV高级ADAS的车云范式,Liao等人在协作匝道合并场景中进一步验证了该范式。Liu等人研究了云端数字孪生信息的可视化难题,提出融合车载摄像头数据的传感器融合方法以辅助CAV决策。Gao等人提出了多层级Carla-SUMO-AirSim协同仿真方法,连接地面与空中V2X协作,拓展CAV研究的实体化应用。测试与评估对CAV的进展与实施至关重要。数字孪生技术通过整合计算机系统生成的虚拟组件与真实道路条件,特别有助于封闭场地测试。

完全测试自动驾驶系统面临重大挑战,需要大量测试,而没有仿真支持则无法完成。因此,近期研究集中于构建测试用仿真框架。Ge等人提出的数字孪生框架将测试分为三级:完全虚拟、基于实际传感器数据和基于车辆。类似方法利用数字孪生技术在特定框架中记录车辆在不同模拟环境中的响应,生成大规模数据集用于训练和测试自动驾驶控制系统,为精准系统开发奠定基础。数字孪生还用于构建基于历史数据预测车辆未来运动的统计模型。此外,研究人员应用数字孪生技术动态计算运动参数,优化车辆轨迹规划。

数字孪生技术也推动了CAV上人类行为建模的发展,Chen等人首次提出驾驶员数字孪生(DDT)概念,以模拟CAV上的人类驾驶行为。该概念被多项研究进一步探索,涉及将人类驾驶员数字化以连接当前自动驾驶系统与全数字系统,并利用机器学习预测驾驶员未来的决策过程。这一进展有助于构建整合人类驾驶行为的人-信息物理系统(H-CPS)。

车联网(IoV)是一个由配备传感器、软件和技术的车辆组成的复杂网络,所有设备均遵循标准化协议通过互联网连接和共享数据。该网络不仅包括车辆之间的连接,还涵盖车辆与各类道路基础设施及云端的连接。通过交换交通信息,IoV系统能够协同优化车辆行驶和交通控制,显著提升整体交通效率。因此,IoV被视为未来自动驾驶、网联化、电动化和共享出行的关键因素。数字孪生技术在IoV中被广泛应用于资源分配、共享和交通预测。例如,已开发出基于数字孪生的实时交通数据预测方法,通过IoV传感器监测5G传输的交通流量和速度数据,大幅提升了系统准确性和响应速度。实验使用了中国南京收集的交通数据。

此外,W. Sun等人探索了面向空中辅助IoV网络的动态资源分配数字孪生模型,实现了资源协同调度与分配。在IoV卸载策略方面,一项研究提出了数字孪生网络框架,在网络空间中维护数字孪生以同步现实世界车辆活动。同时,创新的IoV框架利用数字孪生技术创建环境数字表示,使车辆能根据实时数据更新行驶路线,显著提升导航和运营效率。此外,融合联盟链技术的数字孪生设计专注于远程资源共享,有效追踪和保护资源。在空中IoV网络中,RADiT框架作为数字孪生驱动的资源分配模型,通过实时网络状态表示实现高效资源共享,显著提升网络吞吐量、延迟性能和整体连接性。作为完全连接场景的典型示例,IoV通过AI实现智能车辆操作。车联网未来需提供多种高计算资源需求的服务,神经网络被用于优化过剩计算能力的使用。

联邦学习(FL)在IoV领域广泛应用,例如开发新型异步FL方法以保障IoV网络中的安全高效数据共享。I. Ullah等人提出基于区块链的FL算法,增强IoV网络知识共享,促进协作学习与数据整合。为解决5G赋能IoV环境中的车牌高效识别挑战,设计了新FL模型以提升识别准确率和处理速度。此外,基于FL的协同定位技术已应用于IoV网络,支持自动驾驶与避碰,提升车辆移动安全性和效率。

交通流。数字孪生技术在交通流中的应用为提升出行和交通系统提供了重大机遇。数字孪生可有效可视化城市环境中的交通模式,提供交通流的详细动态呈现。微观交通流仿真软件VIS-SIM可通过利用真实数据集成到智能交通走廊的数字孪生框架中,实现高精度的仿真与分析。一个面向出行管理的数字孪生系统已建立,其基于云的微服务架构能够以可扩展且灵活的方式管理并优化交通流。此外,提出了一种雷达-摄像头融合方法来开发特定路段的数字孪生,以提升交通监控和管理的精度与可靠性。基于数字孪生架构和神经网络的交通流预测模型也已建立,能够准确预测北京地铁网络各节点的进站和出站流量。

另一类预测网络交通及交通参与者行为的方法涉及强化学习或生成模型,这些方法已被证明在提供长期预测方面有效。在预测并可视化交通流后,整合人工智能进行交通拥堵分类,可进一步增强数字孪生的功能。例如,神经网络模型可利用大量数据集提升交通拥堵分类的精度,帮助实时识别和应对拥堵问题。此外,数字孪生可根据预测的交通状况为驾驶员提供实用建议。例如,交叉口的数字孪生生成的建议信息可指导驾驶员调整车速,促进车辆顺畅通行而无需频繁停车。该方法显著缩短出行时间并降低能耗,从而提升整体出行效率并减少环境影响。

此外,数字孪生在优化交通信号配时方面发挥关键作用。通过分析预测的交通流数据,数字孪生可在智能网联走廊测试平台中动态调整信号配时。此类优化相较于传统感应式交通控制系统可将出行时间减少20.81%,凸显了数字孪生提升交通效率和缓解拥堵的潜力。

7.6 智能制造

我们目前正处于第四次工业革命,也称为工业4.0。工业4.0可定义为将智能数字技术集成到制造和工业流程中。随着新一代信息技术的成熟与应用,工业4.0的发展正全面展开。工业4.0的关键组成部分是智能制造,它代表了“制造智能”在生产和供应链中的主要应用。智能制造指的是一种新的制造范式,其中制造机器通过无线网络完全连接,由传感器监控,并由先进计算智能控制,以在降低成本的同时提升产品质量、系统生产率和可持续性。

该领域已受到广泛关注并开展实验。智能制造的实施由数字孪生技术驱动,该技术将工厂中的物理实体抽象为网络空间中的数字形式。这种抽象使得能够监测、控制、诊断和预测这些实体的状态。除数字孪生技术外,智能制造还利用工业物联网、AI、大数据、机器人和自动化等一系列技术,以提升系统效率和改善成效。其中,AI是智能制造中数字孪生的关键技术。AI能够处理数据并实时预测制造流程和组件性能,从而优化数字孪生的性能并提升产品设计和制造效率。以下是一些应用实例,展示了在工业4.0背景下如何利用数字孪生和AI实现智能制造。

制造可视化。可视化作为制造的重要组成部分,能有效将海量信息转化为知识和洞察,从而便于操作人员控制系统。在智能制造中,数字孪生主要驱动图形可视化、3D交互可视化和AR等可视化技术。图形可视化通过实时视觉化呈现机器状态,使操作人员能够远程查看制造数据并优化系统调整。例如,仪表盘可显示机器健康状态、生产效率和订单排程。此外,Tong等人提出了用于可视化和分析加工轨迹、加工状态及能耗的HMI及应用。3D交互可视化包含制造设备、流程和产品的3D模拟,为操作人员、技术人员和工艺规划人员提供更直观的视角,快速识别问题并确定根本原因。该技术能够基于物理和运动学模型创建制造设备的虚拟模型。例如,基于3D、物理和运动学模型的磨床虚拟模型可精准反映设备实时状态与流程。

此外,3D交互可视化允许远程访问物理系统,使专家无需亲临现场即可提供远程支持与问题解决。制造商通过结合3D交互可视化与其他方法(如仪表盘监控),可全面掌握制造过程数据与分析。例如,Zhao等人将仪表盘与3D交互可视化应用于铣床的可编程逻辑控制器(PLC)。工业4.0的愿景是构建无缝连接物理与数字世界的赛博物理生产系统(CPPS),推动制造智能化。AR应用可实时访问CPPS生成的海量数据,契合工业4.0与智能制造需求。相较于3D交互可视化,AR能将虚拟信息叠加至现实世界,进一步强化人机交互。操作人员在巡检时佩戴AR设备,以实际生产场景为背景可视化设备运行数据。值得一提的是,AR设备可用于显示待检产品潜在缺陷。

生产。生产监控是制造中的关键环节。在智能制造中,监控包括设备的状态监测和产品质量监控。 制造设备常因老化或异常工况导致故障,进而增加运营成本、降低生产效率、提高废品率,甚至造成意外停机。因此,实施状态监测至关重要。这包括监控和追踪设备状态、检测早期缺陷、诊断故障根源,并将这些有价值的信息整合到生产与控制流程中。借助数字孪生技术,可实现工业设备的状态监测。针对气动机器人夹爪,已提出并实践了数字孪生架构,以识别气缸泄漏和轴承故障等异常情况。 苗等人展示了基于多维时间序列数据的数字孪生框架,用于CNC机床的异常预测和设备状态监测。深度学习技术在状态监测中的应用研究日益深入,提供了更高的准确性和及时性。CNN将特征学习与缺陷诊断整合到单一模型中,并已应用于轴承、齿轮箱、风力发电机和转子等多个领域。

此外,DBNs已被用于飞机发动机、化工过程、往复式压缩机、滚动轴承、高速列车和风力涡轮机的故障诊断。传统质量监控耗时费力且无法检测细微缺陷,而数字孪生提供了更高效的质量监控方法。利用制造和传感器数据,开发了基于数字孪生的机床表面粗糙度预测模型。为应对增材制造中的光学质量控制挑战,开发了多个数字孪生以简化检测流程。深度学习,尤其是CNN,已应用于各种纹理或难以检测的缺陷案例。CNN最初用于图像分析,特别适合表面集成检测中的自动缺陷识别。最大池化CNN直接从钢缺陷图像的像素表示中提取特征,实现对表面部件上污渍、划痕、毛刺和磨损的自动检测。

工业制造中的优化旨在提升性能和效率,同时满足制造操作中的特定目标。数字孪生通过虚拟调试和参数优化提供准确的实时数据,以提升性能、减少浪费并提高可持续性。虚拟调试利用数字孪生创建的虚拟实体来优化和调试流程,替代部分物理操作,有助于减少操作员疲劳和安全风险。例如,仿真工具可用于改造传统机床。在工业制造中,需要通过反复试错来找到能实现最高质量、效率和效益的参数,这被称为参数优化。然而,传统的物理试错方法往往效率低下、成本高昂且耗时。

数字孪生通过模拟虚拟场景和预测流程,能够以低成本测试多种参数以找到最优值,优势显著。因此,数字孪生的许多应用都聚焦于参数优化。例如,可开发切削机床的数字孪生系统来优化加工动力学,并估算和补偿轮廓误差。此外,Balderas等人应用蚁群优化算法优化印刷电路板的孔位布局,以最小化轨迹和换刀时间。动态规划也可用于优化磨削工艺中的加工时间、进给量和产品质量要求。机器学习能够更准确地捕捉关键工艺参数。在激光制造中,人工神经网络(ANN)可通过显式非线性函数预测激光切割质量,从而优化激光功率、切割速度和脉冲频率等相关参数。

供应链管理。近期的重大中断,包括自然灾害、地缘政治紧张局势和新冠疫情,促使供应链管理者寻求能提升可持续性和韧性的技术,以更好地应对这些挑战。在此背景下,供应链数字孪生(SCDT)作为一种有前景的概念应运而生,在各行业展现出广泛应用。它能够复制物理供应链并提前识别潜在问题。例如,基于温度和质量数据的数字孪生可用于实时模拟冷却过程,从而优化制冷流程、减少食品损耗,使冷藏供应链更绿色。此外,鹿特丹港与IBM合作创建数字孪生,帮助港口测试场景并优化运营效率。

SCDT还可用于帮助物流企业更高效地管理集装箱车队。AI技术,包括机器学习、进化算法、大数据分析和强化学习,通过利用历史数据改进实时数据分析和预测,从而扩展SCDT的功能。异常检测对供应链管理者至关重要,因为它能识别潜在问题,使管理者采取预防措施以减轻负面影响并维持运营连续性,而机器学习显著增强了这些检测能力。此外,人工神经网络有助于识别和缓解供应链运营中的风险,如供应中断、需求波动和市场条件变化。在SCDT框架内,强化学习可优化运输和物流中的实时决策,包括路线规划、调度和车辆调度。此外,SCDT固有的自动化能力可通过强化学习得到提升,使利益相关者能够根据具体场景做出明智决策。寻找最优库存策略涉及微调库存参数并评估与服务水平相关的库存成本,这一过程可通过进化算法有效支持。

7.7 机器人学

机器人学的核心在于将想法转化为行动,将抽象目标转化为具体的物理成果并引导过程实现目标。数字孪生技术在机器人中的应用实现了物理系统与虚拟模型的紧密集成,支持更精确的感知、建模和控制。数字孪生技术为机器人发展提供了绝佳机遇。当前文献指出其主要应用于五个关键领域:空间机器人、医疗与康复机器人、软体机器人、工业机器人和人机交互。此外,AI的融入进一步提升了系统在多样化应用场景中的智能性、自主性和效率。

空间与空中机器人技术。由于外层空间环境恶劣,具有极端温度、真空条件、辐射、重力挑战和遥远距离,人类进入太空既困难又危险,导致人类在太空的活动受到极大限制。在此背景下,空间机器人技术对于辅助这些活动至关重要。专为空间机器人光学传感器设计的虚拟测试平台(VTB)已被开发,这代表了空间机器人中数字孪生应用的常见方法。本研究的研究人员旨在将数字孪生集成到VTB中,以在虚拟环境中模拟空间机器人并同时控制机器人执行器。在实际应用中,数字孪生概念通过显著提升任务效率展现了其重要性。这一改进源于其通过在VTB中的数字孪生评估仿真结果来促进复杂决策的能力。此外,提出了一种名为可实验数字孪生(EDT)的新型基于仿真的方法。该研究还提出了一种将EDT基础设施集成到仿真环境中的实用方法,称为虚拟测试平台(VTB)。

这种集成被认为对推进空间机器人技术具有巨大潜力,尤其是在仿真和组件算法的开发与测试方面。一项在中提到的研究展示了一种利用数字孪生在太空中无缝组装微型模块化卫星的触觉遥操作机器人系统。另一项研究则聚焦于处理之前所述数字孪生(DT)集成遥操作机器人系统的遥测数据的方法。航空航天部件(如航天器本体和系统)的建造、维修、翻新和维护已成为当代空间机器人中采用数字孪生的关键方面。例如,开发了一种结合数字孪生技术的机器人打磨系统,用于航空航天维护、修理和大修。

该系统采用6自由度机械臂执行打磨操作,利用数字孪生分析并确定关键打磨参数,如所需的打磨力。除了外层空间应用外,数字孪生技术在空中机器人和无人机(UAV)系统领域也变得越来越重要。随着无人机群规模和操作复杂性的增长,数字孪生能够实现高保真空域建模、任务预演和自适应群队协调。

多项研究已证明这些能力。例如,T. Souanef等人提出了一种支持数字孪生的多无人机操作飞行安全框架,实现在动态空域中的实时风险评估。研究开发了一个用于无人机群任务规划的数字孪生平台,通过虚拟化测试展示了改进的协调性和降低的碰撞风险。在检查任务方面,提出了一种用于基础设施监测的数字孪生增强型无人机系统,其中虚拟副本在实地操作前用于评估传感器布置策略和飞行轨迹。这些例子表明,将数字孪生集成到空中机器人中与其在空间机器人中的应用相类似,提供了一个统一的仿真驱动框架,以提升两个领域的自主性、安全性和任务可靠性。

医疗与康复机器人。尽管医疗机器人的概念并不新鲜,但其与数字孪生的整合近年来受到广泛关注。该领域增长最快的细分领域之一是DT辅助医疗远程机器人技术,其在机器人手术中有着关键应用。医疗远程机器人方法通常利用沉浸式VR界面或环境,包括VR辅助的远程医疗和实验室设备管理、远程医疗服务机器人,以及RDT-VR辅助的电子皮肤和软体驱动器开发,用于传染环境中的远程机器人生物样本采集。值得注意的是,新冠疫情的爆发促使了以灾难管理为中心的远程机器人技术的发展,旨在防止此类环境中的感染。

近年来,医疗机器人领域另一个快速增长的趋势是康复,涵盖DT辅助的假肢、外骨骼和其他机器人辅助措施的开发。例如,DT辅助的神经肌肉骨骼建模和模拟可通过CT扫描构建,以辅助仿生机器人原型的开发。此外,数字孪生可以模拟和优化患者特异性假肢、针对骨骼畸形矫正的机器人六足外固定器以及摩擦电传感器外骨骼的开发。触觉手部外骨骼的数字孪生可在VR环境中复制康复过程。自动步态数据控制系统(AGDCS)已开发用于自激活DT辅助下肢外骨骼。新冠疫情加速了医疗设备的机器人组装,以应对日益增长的需求。为应对疫情,创建了机器人系统的数字孪生,用于无接触分发药品和必需品。

此外,DT优化的人机协作(HRC)系统被设计用于满足对医疗设备日益增长的需求,特别是发电机和呼吸机。AI与数字孪生的结合应用也在稳步增长。例如,R-CNN被用于在虚拟环境中检测各种医疗设备及其对应的数字孪生位置。同年,开发了DT集成的机器人平台,利用深度学习自动从患者鼻前庭采集生物样本。最后,微纳米医疗机器人代表该领域的新兴趋势。2022年,开发了微机器人的数字孪生,采用AI预测系统输出。

医疗与康复机器人。尽管医疗机器人的概念并不新鲜,但其与数字孪生的整合近年来受到广泛关注。该领域增长最快的细分领域之一是DT辅助医疗远程机器人技术,其在机器人手术中有着关键应用。医疗远程机器人方法通常利用沉浸式VR界面或环境,包括VR辅助的远程医疗和实验室设备管理、远程医疗服务机器人,以及RDT-VR辅助的电子皮肤和软体驱动器开发,用于传染环境中的远程机器人生物样本采集。值得注意的是,新冠疫情的爆发促使了以灾难管理为中心的远程机器人技术的发展,旨在防止此类环境中的感染。近年来,医疗机器人领域另一个快速增长的趋势是康复,涵盖DT辅助的假肢、外骨骼和其他机器人辅助措施的开发。例如,DT辅助的神经肌肉骨骼建模和模拟可通过CT扫描构建,以辅助仿生机器人原型的开发。

此外,数字孪生可以模拟和优化患者特异性假肢、针对骨骼畸形矫正的机器人六足外固定器以及摩擦电传感器外骨骼开发。触觉手部外骨骼的数字孪生可在VR环境中复制康复过程。自动步态数据控制系统(AGDCS)已开发用于自激活DT辅助下肢外骨骼。新冠疫情加速了医疗设备的机器人组装,以应对日益增长的需求。为应对疫情,创建了机器人系统的数字孪生,用于无接触分发药品和必需品。此外,DT优化的人机协作(HRC)系统被设计用于满足对医疗设备日益增长的需求,特别是发电机和呼吸机。

AI与数字孪生的结合应用也在稳步增长。例如,R-CNN被用于在虚拟环境中检测各种医疗设备及其对应的数字孪生位置。同年,开发了DT集成的机器人平台,利用深度学习自动从患者鼻前庭采集生物样本。最后,微纳米医疗机器人代表该领域的新兴趋势。2022年,开发了微机器人的数字孪生,采用AI预测系统输出。

软体机器人。众所周知,传感器被用于监测其运动和外部刺激,特别是在手术和微纳操作等领域,准确的运动检测和触觉传感至关重要。软体机器人以高柔顺性和灵巧性为特征,其类肌肉执行器由硅橡胶和热塑性聚氨酯(TPUs)等材料制成,非常适合与传感器协作以增强机器人应用中的监测和控制。尽管软体机器人是一个相对较新的领域,但其潜力巨大。软体机器人中的数字孪生概念生成数字信息以加速开发。软体机器人数字孪生领域的最新研究趋势越来越关注增强现实和扩展现实。

软体机器人可在以人为本的生产系统中充当虚拟人类,通过在VR环境中利用数字孪生,可进一步提升基础设施效率。已开发出利用气动肌肉的软体机器人数字孪生,提供了诸多应用,包括单元生产,可优化工作环境并减少空间需求。传统数据处理技术不足以管理建立数字孪生人机界面(MMI)所需的异构大数据。这需要结合机器学习方法和5G等先进通信协议,以最大化数字孪生-软体机器人及相关系统的效率。例如,机器学习提升数据解读能力,以改善操作或检测,如精准的手势识别。该方法用于探索特制摩擦纳米发电机(TENG)传感器的能力。通过3D打印制造并集成TENG传感器的三执行器软体夹爪,利用机器学习进行数据分析,感知夹持状态并识别物体。此外,建立了一个数字孪生框架,在VR环境中创建上述操作的数字复制品,通常称为赛博空间。

工业机器人领域是增长最快的细分领域之一,提供适用于各类自动化流程的标准化技术。的综合分析表明,数字孪生可有效应用于五种工业设备维护类型:反应式、处方式、基于状态、预测式和预防式维护,其中后两者尤为有效。这些方法同样适用于机器人集成系统。Vachálek等人展示了采用遗传算法进行DT优化预测分析和产线增强的数字孪生,应用于机器人辅助生产线。

随后,提出了一种基于物理方法和虚拟传感器收集工业机器人数据以进行预测分析的机器人数字孪生(RDT)建模方法。2018年,强化学习被应用于使机器人能够自主学习提升不同重量,其模型可通过数字孪生进行可视化和控制。更近期的发展包括DT集成的工业机器人技能机器视觉评估以及利用点云信息和RDT结合机器学习增强工业机器人编程指出,数据驱动的RDT方法的一个显著局限是缺乏历史数据,但该挑战可通过生成合成数据解决,并利用AI算法进一步优化,作者提出了一种深度学习方法,从数字模型生成额外的合成图像数据,当模型重新训练后用于检测不同方向的真实物体时,成功率达到100%。

为物理机器人开发高效AI算法面临严峻挑战,包括长期重复任务中的耗时过长、供电限制和组件约束,以及缺乏合适的虚拟测试平台(VTBs)。有效解决方案是通过大规模仿真开发算法,其中数字孪生已被证明发挥关键作用。典型案例包括DT辅助的深度强化学习策略从仿真到物理机器人的迁移,以及在数字孪生中训练机器人使用抓取生成与选择卷积神经网络进行智能抓取,分别实现96.7%和93.8%的单件和混合物体抓取成功率。

现场与服务机器人涵盖多样化的应用领域,包括农业、建筑、采矿、水下探索、搜救、物流和公共服务,这些领域中的机器人必须在动态、非结构化且常常具有危险性的环境中运行。此类环境引入了由地形变化、环境干扰、恶劣天气、传感器噪声和不可预测的人机交互导致的重大不确定性。DT技术已成为应对这些挑战的有力工具,通过为物理系统提供高保真虚拟模型,用于分析、仿真、规划和控制。在农业领域,Melesse等人综述了DT辅助系统,该系统通过建模作物生长、土壤湿度演变及冠层结构,支持自主除草、果实采摘和精准喷洒。

L. Yining等人进一步介绍了配备多光谱传感的DT辅助机器人收割机,其中DT支持果实状态估计,并实现对脆弱作物的自适应操作。在建筑机器人领域,已展示出整合建筑信息模型(BIM)、实时场地扫描和自主机械控制的DT赋能框架。基于DT的模型被用于为自主土方机械系统生成优化的挖掘轨迹,而DT支持的机器人施工流程则通过虚拟与物理模型的持续同步提高放置精度。其他研究还包括DT驱动的自主钢筋绑扎、在DT仿真环境中开发和验证的混凝土修整机器人,以及在杂乱且动态变化的工作空间中利用虚拟副本进行碰撞感知导航的现场检查机器人。在采矿和地下环境中,DT技术支持高风险操作。

Lee等人提出了整合地质模型、环境感知和运行记录的地下隧道数字孪生,以增强态势分析和规划。补充研究表明,DT辅助系统可在执行前模拟岩石变形过程或通风动力学,从而提升安全评估和运行效率。水下机器人面临额外约束,包括能见度有限、动态水流和严重的通信限制。Orjales等人开发了基于DT的水下仿真环境,采用高保真流体动力学建模,使自主水下航行器(AUVs)能够在真实虚拟条件下优化导航和操作策略。

人机交互(HRI)研究在过去几十年一直是科学研究的焦点。数字孪生的增强功能显著扩大了有效利用人机系统的潜力。因此,HRI中的数字孪生正引起对未来创新的广泛关注。早期研究旨在开发可靠的交互式机器人控制接口以及工厂机器人控制中经济实惠的数字孪生3D重建。

近年来,VR和MR中的数字孪生辅助机器人已成为快速发展的研究趋势。应用包括使用VR进行HRI工作空间设计与优化、MR中的机器人施工监督,以及VR和MR中的机器人编程。数字孪生辅助机器人的其他重要应用包括利用自主移动机器人(AMRs)进行仓库和室内自动化,以及数字孪生集成的节能型智能制造。手势控制方法也被广泛应用于各类遥操作机器人应用。Leap Motion方法因其在VR和数字孪生集成中的易实现性,已成为手部手势控制机器人系统的热门选择。通过虚拟测试平台(VTB)中的实时仿真与处理,机器人能够感知与工作场所物体及操作员的碰撞,其中数字孪生代表机器人、操作员和工作空间。

许多方法利用MR/VR接口的多功能性来增强数字孪生辅助的遥操作机器人。这些增强功能包括建立沉浸式机器人控制用户界面、核电站等危险环境中的操作、机器人操作员的运动觉辅助以及基于AI的VR数据处理以提升机器人控制。克隆数字孪生通过收集其物理实体的大量数据,成为人机系统中的热门应用。它们从人类、机器人及其共存环境中收集近实时感知数据。克隆数字孪生的可扩展数据交换特性支持利用AI和ML实现人机交互的规划、优化和自动化智能功能。此外,新兴的触觉技术为HRI提供了额外的数据源。该技术与扩展现实(XR)结合,可为人类提供实时感官体验,显著提升人机协同任务执行效果。

近期关于HRI中数字孪生-AI应用的研究集中在多个领域,包括用于机器人轨迹估计和障碍物检测的机器学习与深度学习技术,以确保安全无碰撞的HRI工作空间。此外,快速傅里叶变换和基于机器学习的数字孪生被用于人机交互焊接及焊工行为分析。基于强化学习的自主性在复杂装配环境中旨在减少操作员疲劳。另一项显著进展涉及生命周期框架及用于虚拟产品开发的拣选与放置机器人优化。此外,数字孪生辅助的深度学习正用于人体动作识别,以及VR辅助遥操作的数据增强技术和用于机器人遥操作中手势控制的眼动与头部手势识别系统。例如,Mobile ALOHA具备低成本全身遥操作系统,可从高质量的人类演示中收集数据,并采用新颖的模仿学习算法有效学习这些演示。最后,在能够自学习装配流程的机器人方面取得了重大进展。

7.8 自然系统与环境

自然环境对维持地球生命和生态平衡至关重要,深刻影响人类活动。环境问题催生了包括气候变化、生物多样性、保护工作和可持续发展在内的诸多重要议题。数字孪生模型凭借其创建环境实体虚拟副本及模拟信息物理系统的独特能力,正逐步成为解决环境挑战的潜在方案,受到广泛关注。尽管数字孪生技术在工业领域已成熟应用,但因环境系统建模的复杂性,其在环境科学中的应用仍处于初期阶段。传统基于物理的动态模型复杂且计算成本高昂,无法支持高分辨率、交互式的环境模拟数字孪生系统。

然而,通过融合机器学习和人工智能模型,数字孪生系统正实现更高可扩展性、互操作性及高保真环境数字表示。这种整合不仅促进物理环境间的快速交互,还加速模拟进程,推动气象、海洋、地质、野生动物和林业等领域的学术与工业创新。研究人员、组织与企业提出的数字孪生前沿构想,旨在创建动态、交互式的地球过去、现在与未来状态的复制品——数字地球。

天气预测旨在通过提供准确的天气信息来减少相关损失并提升社会效益。数字孪生模型通过结合机器学习和深度学习技术提供高精度、高分辨率的预测,使其在各类应用中至关重要。研究表明,在天气预测中应用数字孪生模型可以有效支持自然灾害风险减缓、气象服务和可再生能源电网中的决策过程。为预测气候灾害,研究人员开发了多种数字模型。Brocca构想出水文模型——地球水文过程的数字孪生,通过整合地面和卫星测量的降雨与土壤湿度实时数据预测洪水,助力灾害缓解。

同样,基于无监督和监督学习构建的数字孪生模型用于动态监测冰暴。利用数字孪生模型改进气象服务的努力也在进行中。Singh等人提出了一种生成高分辨率城市降水数据的框架,以革新城市气候服务,为城市规划者提供及时、精确的气候信息。Koldunov和Jung展示了如何结合LLMs与模型模拟的优势来提供本地化气候服务,使模拟操作更加便捷。Chen等人将视觉信息融入LLMs,提出了一种新型视觉-语言模型方法。这种整合显著提升了天气热力图的分析能力,提高了基于LLMs预测能力的极端天气事件检测速度和准确性。此外,天气状况在能源生产中起着关键作用。Sehrawat等人开发了用于预测太阳辐照度的数字孪生系统,Stadtmann等人设计了旨在提升风能生产效率的数字孪生系统。Savage等人将数字孪生研究聚焦于促进能源与气候研究之间的协作。

海洋系统。海洋系统对地球生命至关重要,理解海洋动力学具有深远意义。海洋数字孪生模型涵盖多个领域,展示了其在理解海洋状态和变化方面的巨大潜力,例如海洋可持续性、海洋观测和沿海洪水预测。数字孪生在海洋可持续性方面发挥关键作用,通过减少和预防过度捕捞、模拟和预测海洋污染,并促进海洋空间规划。Rakotonirina等人对Ocean Cleanup系统进行了数字孪生研究,优化系统设计、预测船队性能并估算运营成本。

在海洋观测和模拟应用中,波罗的海部署了水下海洋观测系统网络,证明了数字孪生在极端水下环境中的可行性。同样,Zheng等人通过整合RNN提升了海洋能源生成的波高预测。OceanNet是一种基于物理信息神经网络的数字孪生,利用傅里叶神经算子对区域海洋环流进行建模和预测,提升长期预测的稳定性并抑制自回归误差增长。沿海洪水预测是另一项重要应用。意大利海岸的一个本地数字孪生地球项目将环境、人口和海洋数据整合到高精度数字模型中,以监测、模拟和预测自然及人类活动。Thiria等人开发了一种先进的深度学习方法,通过CNN融合低分辨率地球物理海洋场与高分辨率数据,提升卫星观测中洋流估计的空间分辨率。物理信息机器学习技术也被用于创建快速准确的沿海洪水预测模型,在保持高精度预测海面高度的同时显著加速模拟过程。

地质模拟是地质学中一个至关重要的长期研究课题。由于地下过程复杂且通常无法直接观测,该领域的重要性日益凸显。数字孪生模型凭借其精确性和高效性革新了传统地质模拟,推动了地质建模、地下作业和地质灾害监测等领域的发展。在地质建模方面,王等人采用数字孪生框架构建复杂的3D地质模型,通过整合实时数据优化模型并适应新的地质条件。

杨等人开发了EdGeo工具包,这是一个用于地下勘探的物理引导生成式AI工具,通过扩散模型提升速度图的保真度。此外,数字孪生模型在地下作业中发挥重要作用。在隧道施工中,可动态更新的数字孪生模型用于管理长期项目中不断变化的地质条件。在采矿业中,数字孪生系统提供矿床的实时精确表征,支持采矿作业中的知情决策。此外,数字孪生模型在地质灾害监测中至关重要。张等人在监测和预警系统中利用数字孪生技术,对滑坡、地震和泥石流等复杂频发的地质灾害进行实时动态预测。在地震学研究中,弗拉基米尔等人在数字孪生系统中应用数值方法和高性能计算,构建详细的地质结构3D模型,模拟地震波传播以提升对地下结构的理解。

野生动物保护。生物多样性对自然世界具有内在价值,并对维持生态系统功能至关重要 。野生动物在支持生物多样性方面发挥着关键作用 。数字孪生技术可以模拟野生动物并提供动态、预测性洞见,以增强对生态系统的理解。这些洞见包括监测动物行为和种群状况,从而加强保护工作。Sharef等开发了与数字孪生技术集成的交互式机器学习框架,以改进生物多样性预测模型。Ingenloff创建了模拟野生动物病毒传播的原型,助力有效管理策略的制定。为减少野生动物与车辆碰撞,Moulherat等设计了一种集成系统,利用传感器和机器学习技术,通过相机陷阱实时数据进行持续的野生动物管理。

Fergus提出创新系统,当相机陷阱检测到野生动物时触发数字交易,补偿当地守护者的保护努力,促进社区参与生物多样性保护。Rolph将数字孪生技术扩展至文化生态系统服务管理,融合生物多样性与社区休闲,实现对生态系统服务的全面评估。Sakhri优化了数字孪生技术在水鸟监测中的能源使用,显著提升了实时监测能力。Teschner引入新型数字孪生增强方案,利用无人机保护农田免受野生动物侵入,展示了该技术对多样化保护需求的适应性。

森林管理。森林对维持地球生态系统和气候健康至关重要。数字孪生模型能够利用历史数据模拟和预测森林生态系统随时间的变化。因此,数字孪生技术的出现为森林管理领域带来变革性影响,标志着森林生态系统监测、分析与管理方式的重要进步。邱等人通过动态生态系统建模,结合遥感与3D参数化建模实现森林生态系统的实时监测。同时,李等人开发了用于虚拟造林管理的稳健数据库。这些技术构建了高度互动且动态的森林数字孪生模型,支持实时监测与决策,通过虚拟与现实交互的同步优化森林生态系统管理。

在国家层面,李等人利用多任务深度学习网络精确测绘丹麦境内及境外每棵树的位置、冠幅面积和高度,显著提升国家森林管理与保护效率。Mõttus等人在“数字孪生地球”倡议下提出高精度全球模型,进一步优化欧洲植被测绘与特征刻画。城市森林同样受益于数字孪生技术,Ozel和Petrovic的“Green Urban Scenarios”框架整合天气条件、树种、病害及空间分布等因素进行模拟,有效预测不同情景下城市森林的未来趋势与影响。创新持续深化,Damavsevivcius将强化学习算法融入数字孪生模型以优化森林管理策略。此外,Zhong和Sanchez-Guzman专注野火管理,通过数字孪生模型精准预测与调控野火动态,提供实时数据以预防和减轻森林火灾。

数字地球。虽然研究人员已在国家、区域和地方层面开发了数字系统和机器学习模型,但更先进的深度学习模型和强大的计算技术的到来,使得全球数字孪生地球的愿景日益可行。这一雄心勃勃的项目旨在同时实现全球气候预测并评估局部影响。它将先进的计算机科学、数学和工程与自然科学的跨学科知识相结合,以创建地球系统的全球尺度交互式模型。

这一愿景引发了全球范围的广泛讨论。Earth-2项目通过模拟实时、全球尺度的气象条件并构建整个地球大气系统的复制品,以预测天气状况、自然灾害并进行气象探索,体现了这一雄心。数据驱动的物理信息机器学习和深度学习模型致力于将物理世界的规则嵌入其框架中。该领域的一个显著成功是FourCastNet模型,它采用Adaptive Fourier Neural Operators以高分辨率输出革新全球天气预报。基于此,Kurth等人在超级计算机系统上展示了FourCastNet的可扩展性和效率,为大规模、实时、高分辨率的全球天气预报铺平了道路。

7.9 农业

随着全球人口激增和气候变化影响粮食安全,农业系统迫切需要在提高生产效率的同时减少资源消耗。为此,数字孪生技术因其优势变得日益重要。数字孪生是物理对象或系统的同步虚拟模型,通过详细模拟农场和农业对象,显著改变农业实践。这些虚拟农业系统促进智能农业、牲畜管理和农业设施优化,从而带来成本节约、产品质量提升和运营效率提高等优势,有效应对农业挑战。

机器学习和深度学习技术已应用于农业的各个环节,涵盖产前、产中和产后阶段,实现更精确的模拟。研究人员指出,人工智能在农业数字孪生系统中促进数据处理和分析,支持决策并为虚拟系统提供反馈。当前生成式AI的进展有望增强数字孪生技术,解决农民与系统交互以及农业数据合成等长期挑战。人工智能与数字孪生技术的融合正在推动农业领域的重大进步,提升作物产量潜力,同时减少环境影响并优化资源利用。

智能农业是农业实践的范式转变,通过利用云计算、物联网、机器学习、增强现实和机器人技术等现代创新革新农业生产。随着农场日益数字化,数字孪生概念作为综合框架应运而生,将农场中所有对象虚拟化,在虚拟空间中精确镜像作物全生命周期的行为与状态,助力农民优化运营。在灌溉管理领域,Alves等人率先开发了复杂的数字孪生系统,整合土壤、天气及作物数据以生成每日灌溉方案。

氮肥施用作为农业关键环节,同样受益于数字孪生技术。Stefano等人发现,借助数字孪生模拟多场景并分析数据,可显著提升农民在氮肥施用决策中的科学性。Smith指出,人工智能在提升农场活动检测与测量精度方面的应用,能够为农民提供可靠警报。视觉神经网络技术在监测植物健康方面效果显著。Nasirahmadi等人验证了将该技术与其他智能农业技术结合,可实现植物健康状态的高精度检测与评估。整合多种智能农业技术,Angin等人提出AgriLoRa这一创新性数字孪生框架,通过基于云的计算机视觉算法识别植物病害与营养缺乏,为农民提供可操作的见解以优化作物管理策略。

畜牧业管理是农业中的重要领域,面临有限资源、减少温室气体排放需求及全球劳动力减少等挑战。数字孪生技术已成为畜牧业的有前景解决方案,通过实时数据输入创建模拟动物物理、生物及行为状态的数字孪生体,实现最优且可持续的管理操作。数字孪生与AR和VR技术的融合,通过模拟真实场景的沉浸式、交互式学习环境,提升兽医专业人员和育种者的培训效果,改善动物福利与运营效率。在水产养殖领域,AI驱动的物联网系统正革新养鱼实践,利用传感器和智能设备收集鱼类指标、环境条件及健康状况的实时数据,实现自动喂食、水质监测和疾病检测。

该领域的先进研究通过视觉神经网络提取视频数据特征,结合计算流体动力学(CFD)模拟水生环境中生物的水动力学行为,分析并预测鱼类导航的水动力学线索。城市养蜂同样受益于数字孪生技术,整合蜂群、养蜂人、非养蜂人及环境的多智能体模型可监测分析蜂群健康与行为,为小型农户和城市规划者提供可靠决策支持。在牛管理方面,基于LSTM神经网络的创新数字孪生模型已部署于农场物联网系统,实时监测牛的生理与行为状态,并利用人工智能预测其未来行为及生理周期。

控制环境农业(CEA)与传统农业方法截然不同,专注于人工构建的农业设施。这些设施包括物理结构和设备,旨在营造最佳条件以提升农业质量和效率,从而优化资源利用。作为现代大规模农业的基石,这些系统采用先进的监测与控制技术。当与数字孪生(DT)技术结合时,展现出巨大潜力,有望革新农业实践。数字孪生系统擅长监控温室或室内设施等封闭结构内的环境条件。这些复杂系统管理和调控温度、湿度、光照强度、CO2浓度及气流等多种环境因素。

通过构建物理农场的数字副本,数字孪生系统可模拟并优化环境条件,提升动物福利并改善农场管理。CEA的进一步发展旨在提高能源效率和运营效能,特别是在畜牧业管理方面。例如,一个提出的数字孪生框架在虚拟环境中复制实体猪舍,从而通过模拟优化供暖、通风与空调系统。在商业温室生产中,数字孪生技术优化能源使用并简化生产流程。Howard等人描述了一种整合气候控制、能源管理和生产流程的数字孪生系统,能够在不干扰现有种植的情况下模拟和优化运营策略。Prawiranto等人对水果太阳能干燥过程的优化进行了综合研究。其方法采用基于物理的数字孪生,整合了水果干燥机理模型、质量模型及天气数据,以评估不同改进策略。

7.10 商业

传统直播电商虽然快速增长,但面临诸多挑战,如拥挤、营业时间有限和排长队等。此外,还存在内容缺乏吸引力和互动性有限等问题。数字孪生能够创建物理对象的虚拟副本,使消费者能够在高度仿真的虚拟空间中与产品或服务互动。通过构建产品和客户的数字孪生,该技术可重塑电商和零售门店,从而提升购物体验。此外,其促进协同设计的能力使客户、设计师和制造商等多方利益相关者能够通过物理与虚拟数据的融合参与产品开发流程。

通过整合财务数据和活动的数字化表示与LLM能力,数字孪生系统还可为个人、机构和政府提供金融服务。与传统商业不同,数字孪生利用实时数据并应用机器学习模型。深度学习算法,如图像识别、3D重建和生成式AI,被用于产品分类、优化店铺布局以及更准确地预测客户需求。这些技术提升了定制化与响应速度的运营效率,促进明智决策,并改善虚拟和实体商店的客户体验。

电子商务领域中,数字孪生技术的整合带来了从沉浸式购物体验到高级欺诈检测和消费者行为真实模拟等新颖应用。Jeong及其团队首创了MBUS平台,将元宇宙元素与直播电商结合,创建虚拟购物环境,通过允许用户与产品实时互动提升参与度。同时,Wang等人在SAGE框架中将用户行为建模为遗传序列,利用遗传学原理提升欺诈活动检测能力。Yao团队开发了WebShop,这是一个大规模交互环境,训练语言智能体根据文本指令导航和定制真实产品交互以完成网络任务。Terán及其合作者开发了基于智能体的仿真模型,整合口碑传播动力学和推荐理论,更准确地模拟市场行为。

此外,Kuzmichev探索了数字孪生在时尚产业的应用,聚焦3D数字服装设计。该流程通过虚拟人模型和虚拟服装模拟身体与服装的互动,显著降低人力与材料成本。Fu等人开发了创新的AR试穿系统用于虚拟服装数字孪生,通过优化框架实现实时互动与逼真布料模拟,有望大幅提升虚拟时尚零售环境中的客户体验。

零售业。实时数据的收集与分析已成为推动零售业持续增长的动力。数字孪生技术可作为数据整合的框架,为零售业各环节提供智能分析,促进决策制定。Vijayakumar探讨了行为数字孪生模型的概念,该模型通过模拟消费者行为来定制互动并预测未来购买,旨在通过个性化体验显著提升客户满意度。在另一应用中,Shoji等人专注于进口水果的采后保鲜,利用基于物理的数字孪生技术控制和监测温湿度条件,从而改善从包装厂到零售店的水果品质。

Sengupta和Dreyer展示了数字孪生如何助力杂货零售的销售与运营规划,帮助预测和管理价值链中的变异性以减少浪费。此外,Liu等人提出了一种多模态方法,采用AI驱动的实时产品识别和3D商店重建,创建物理零售空间的精确虚拟表示,提升运营效率和客户互动。Pous等人引入了一种创新应用:通过扫描店内商品位置的机器人并整合到数字孪生中,为客户提供实时商品信息。Stacchio等人讨论了时尚零售中人类数字孪生的社会接受度及其潜在优势,指出客户3D模型如何改善实体门店的服务和客户满意度。

金融服务与分析。数字孪生技术在金融管理和经济模拟中的整合正在通过融入实时数据、LLMs和更拟人化的决策流程重塑现有工具的能力。Anshari等人讨论了DT技术在智能投顾中的应用,将其从静态工具转变为动态金融咨询平台。这种整合通过互动和实时数据更新实现持续改进,为用户提供更定制化、响应迅速的金融管理解决方案。

Li等人提出了EconAgent,一个基于智能体的建模框架,利用LLMs模拟宏观经济现象,使基于工作、消费和历史经济趋势的决策更加真实。在另一种创新方法中,基于智能体的模拟金融市场(ASFM)利用LLMs模仿真实人类交易者并模拟股票市场行为。ASFM框架包含真实的订单匹配系统,并模拟各种行业部门,创建具有多样化特征和策略的智能体,能够理解市场动态并响应经济新闻。Veshneva提出了一种利用基于状态函数的数学模型构建社会经济系统数字孪生的新方法,增强了在复杂不确定环境中的预测分析和决策能力。Barkalov等人构想了一种创新的分布式预测信息系统架构,整合数字孪生和RNN,用于社会经济系统的预测性资产维护,展示了在预测剩余使用寿命和潜在资产故障方面更高的准确性。

7.11 教育与培训

过去四年,数字孪生技术在教育领域日益普及,这主要得益于COVID-19疫情期间传统线下教育面临的安全问题。数字孪生技术通过模拟现实世界施工过程,融合线上与线下学习,成为确保教育连续性与质量的解决方案。部分研究者认为,由于知识倍增速度加快,传统教育方法正面临局限 。动态数字孪生模型促进融合式教育环境的构建,通过整合物理与数字空间,提供包括传统知识、经验和社会智慧在内的全面教育资源。

同时,该模型通过整合学生的学业与个人生活各方面,提升个性化学习体验。数字孪生系统通过使学习者体验高效的数据通信与互动,并借助虚拟现实整合理解复杂实用知识,从而提升学习效果,现有结果已证实这一点。此外,通过利用物联网、人工智能、虚拟现实和5G等先进技术,教育机构能够打造更高效且个性化的学习环境。近期多项研究进一步证明,生成式AI,尤其是LLMs和智能体,作为革命性工具在提升模拟效果和改进教育方法方面具有巨大潜力。

虚拟学习。数字孪生技术在教育场景中的应用,从沉浸式虚拟环境到动手实践的学习工具,显著提升学生在各学科中的参与度和理解能力。例如,Nikolaev等人开发的数字孪生系统使硕士生能够创建隧道掘进机的虚拟模型,丰富学习体验并激发学生对该课程的兴趣。Madni等人通过在真实车辆上安装传感器,让学生参与数字孪生开发,帮助学生理解车辆动力学与控制技术,超越传统讲授式教学。

此外,Han等人利用无人机倾斜摄影和3D建模技术构建完整的校园数字孪生系统,通过Unity3D集成实现实时监控与决策支持。Razzaq等人首创DeepClassRooms数字孪生框架,该框架利用卷积神经网络增强公立学校的出勤追踪和内容分发监控,展示了数字孪生在资源有限教育环境中的适应性。Zhang及其同事提出了SimClass这一前沿框架,利用LLMs模拟传统课堂环境,通过让LLMs扮演多种课堂角色,促进认知与社交发展及协作行为,丰富整体课堂动态。

数字孪生技术在教育领域的创新应用正推动协作式互动学习环境的发展。数字孪生系统利用数据分析和人工智能实时调整内容难度、学习节奏和路径,根据学生个体表现和需求个性化学习体验。Sepasgozar利用这些技术,通过VTBM模块(一种沉浸式虚拟环境)让学生安全探索复杂的建筑活动。创新性地,Lee及其团队在数字孪生框架中引入游戏化元素,使数学概念更易理解,并激发学生参与问题解决活动。

Liu和Ba构想的全息课堂中,数字孪生技术提供沉浸式互动3D学习空间,融合物理与虚拟世界以提升教育体验并引入动态教学方法。Lan和Chen开发了人机协作的教学框架,以支持个性化学习和实时反馈。该方法在保持人类教学动态性的同时提升了教学效果。在数学教育方面,Yue等人开发了MATHVC虚拟平台,其中LLMs在多角色设置中模拟学生互动。该平台促进协作式问题解决,提供无需持续教师监督即可练习数学的可扩展方法,从而提升学生参与度和学习自主性。Murtaza及其团队探索了ChatGPT在驾驶员教育中的应用,对比传统教学方法与基于ChatGPT的互动式学习。研究结果表明,经ChatGPT训练的参与者学习成效显著提升,证明了LLMs在实际应用中的有效性。

7.12 量子计算在数字孪生中的应用

动机:为何数字孪生需要量子计算。随着数字孪生技术不断发展,在建模多物理场、高维、实时且紧密耦合的复杂系统时,仿真、推理、优化和控制的计算负担迅速增加。许多核心数字孪生工作负载可视为高维线性代数、随机模拟和大规模组合优化问题,其经典复杂度通常随相关状态、参数或决策空间维度呈多项式或指数级增长。即使使用现代高性能计算(HPC)和加速器硬件,这些可扩展性限制也制约了在操作时间预算内可实现的空间/时间分辨率和场景探索的广度。

传统数字孪生架构通常由传感器数据采集、基于AI/ML的代理建模和数值模拟组成,因此即使在大规模HPC基础设施的支持下,也开始在三个关键领域面临内在瓶颈:

1.规模与耦合:诸如智慧城市、生物网络、航空航天系统或大型制造工厂等系统涉及高维状态空间、强非线性、多领域物理(机械、热、电、生物)和实时反馈回路。在实践中,这表现为反复求解大型耦合的PDEs/DAEs、高维贝叶斯推断问题,以及在众多控制和设计变量上的全局或混合整数优化问题。高保真建模、模拟和控制此类系统的复杂性对纯粹的经典方法而言令人望而却步,导致分辨率、覆盖范围和延迟之间的严重权衡。

2.实时/近实时操作:数字孪生不仅用于离线分析,还用于运营决策、故障检测/预测、自主控制与自适应。传统方法在大型系统中实现低延迟、高保真仿真与推理颇具挑战性,尤其是在决策需以与测量速率相当的时间尺度更新时。短期内,量子加速更可能应用于计算密集型但容忍延迟的子程序(例如周期性重新优化、场景生成、策略改进),间接支持实时DT操作,而非直接参与毫秒级反馈循环。

3.不确定性下的复杂优化与推理:典型的DT任务包括组合优化(调度、路由、控制)、含不确定性量化的概率推理、逆问题(例如从传感器数据推断系统状态或故障)以及物理现象的高保真模拟。这些任务自然对应于能提供查询或样本复杂度渐近加速的量子算法:量子近似优化算法(QAOA)及相关变分方法用于组合优化问题,量子振幅估计和量子加速蒙特卡洛用于不确定性量化,以及量子线性求解器和PDE求解器用于大规模模拟和逆问题。然而,针对完整DT工作流程的严格端到端量子优势仍是一个开放的研究问题,特别是在含噪中等规模量子(NISQ)硬件上。

在这一领域,量子计算(QC)并非对经典DT基础设施的全面替代,而是特定计算内核的算法加速来源。与其关注叠加、纠缠等物理现象,更应从量子算法的角度看待QC,用于模拟、优化和学习,其中许多算法在复杂度理论层面被证明或推测优于现有经典算法。我们使用“量子数字孪生”(QDT)一词来指代一种混合量子-经典DT架构,其中经典组件负责传感器接口、数据预处理、领域特定逻辑及大部分控制任务,而量子处理单元(QPUs)则作为加速器,用于处理精心挑选的核心难题(例如大规模优化、高维推断或细粒度物理模拟)。近期的白皮书和工业案例研究已开始阐述此类QDT架构及其早期原型,涉及制造、智慧城市运营和供应链等领域。

除了模拟和优化外,QDTs可能集成量子机器学习(QML)或量子人工智能(QAI)模块作为高容量函数逼近器,用于感知(高维传感器数据的特征提取)、预测(状态和参数预测)及决策(策略学习与规划)。基于变分量子电路和量子特征映射的QML方法正被积极研究,通过量子电路深度和量子比特资源来降低经典样本复杂度或计算复杂度。同时,NISQ时代的设备在量子比特数量、噪声和连通性方面存在严格限制,因此近期的QDTs可能将量子模块以离线或批处理模式部署,并高度依赖变分量子算法(VQAs)等混合方案,将参数化量子电路与经典优化相结合。

从架构角度看,可以区分几种可在DT领域复用的通用量子模块类型:(i) 量子模拟模块,用于高维线性系统、PDEs或量子化学;(ii) 量子优化模块,用于组合优化和连续优化;(iii) QML/QAI模块,用于监督学习、无监督学习和强化学习;(iv) 量子增强密码学和安全通信原语。每个应用领域均可根据其主要计算瓶颈实例化这些通用模块的不同组合。

跨应用领域的量子数字孪生。下文将遵循第7.1至7.11节的领域结构,讨论量子计算如何提升各领域的数字孪生。针对每个领域,我们突出关键潜力,并将DT工作负载映射至候选量子模块,同时引用相关文献(如存在)。在多个领域中,这些映射仍主要处于概念阶段,反映了QDT研究与部署的早期阶段。

1.医疗系统

医疗领域的数字孪生模拟患者特定的器官、生理系统、治疗规划和长期监测。当结合量子计算时,至少可实现三大主要提升。首先,长期来看,量子化学和量子分子模拟算法可提升药物-靶点相互作用模型的保真度,从而为个性化医疗中的患者级数字孪生提供更精确的机制先验或参数集。短期内,此类量子模拟更可能用于离线的分子筛选和模型校准,而非实时临床流程。

其次,QML/QAI模型可用于分析异构、高维患者数据(如纵向电子健康记录、影像和多组学数据),以在不确定性下预测疾病轨迹和治疗反应,例如通过量子核方法或变分量子分类器。第三,治疗调度、放射治疗规划和医院资源分配可被建模为大规模组合优化问题,可能通过QAOA类或基于退火的量子优化启发式算法解决。近期关于医疗数字孪生的研究表明,整合此类量子增强模块可提升患者特异性模型在维度和耦合性方面的处理能力,但实际的QDT在临床环境中的部署仍处于非常早期阶段。

2.生物系统

对于更广泛的生物系统(如代谢网络、细胞群落、生态系统-生物体相互作用),QDTs可以聚焦于随机反应-扩散模型和网络动力学的计算核心。例如,分析基因调控或信号传导网络通常简化为大型稀疏图上的动力学及高维平稳分布的采样,这些问题可能受益于量子行走算法或量子加速采样方案。另一方面,单细胞组学数据自然引发聚类和轨迹推断中的高维稀疏数据分析问题,其中基于QML的表征学习原则上可提供更具表现力的嵌入。早期关于具有明确不确定性量化的混合量子-经典数字孪生的研究表明,量子增强模块可能有助于在复杂网络模型中传播不确定性,但目前尚未有实际的大规模生物QDT部署。

3.航空航天

航空航天系统(飞机、卫星、运载火箭)包括耦合的结构、热、流体动力学和控制子系统,严格的安全要求和实时决策支持。在此背景下,QDTs原则上可以提升多种任务类型。轨迹优化、星座设计和任务规划产生大型离散或混合整数优化问题,是QAOA型或基于退火的量子优化模块的天然候选。高保真气动热力学和结构仿真涉及求解大型稀疏线性系统或PDEs,量子线性求解器和量子PDE算法在特定条件下有望提供渐近加速。

然而,将这些理论优势应用于工业级网格、复杂边界条件和认证约束仍是一个长期挑战。最后,航空电子设备和结构健康监测中的预测性维护和故障诊断可利用在遥测和传感器数据流上离线训练的QML模型,并将蒸馏后的经典代理模型部署到安全关键的实时DT实例中。新兴的面向航空航天的QDT概念强调太空应用中的实时优化和自主决策,但目前大多仍处于路线图或原型阶段。

4.智慧城市 智慧城市DTs在城市规模上整合交通、能源、建筑、环境和基础设施。这些工作负载包括网络流优化(用于交通和物流)、机组组合和需求响应(用于能源系统)以及多智能体协调(用于移动性和服务)。量子优化算法可用于解决大型组合子问题,如交通信号定时计划、需求响应调度或分布式能源资源调度,这些均可在混合规划框架中实施。用于时空预测的QML模型有助于在不确定性条件下预测交通、能源需求和环境状况,提升城市级DT预测的鲁棒性。此外,量子安全密码学以及在特定场景中的量子密钥分发可整合到智慧城市QDT架构中,以保障涉及关键基础设施数据的孪生体间与跨组织通信链路,补充传统网络安全机制。

5.移动与交通

在交通领域(车辆车队、网络流量、自动驾驶),数字孪生支持路径规划、实时预测和安全关键决策。QDTs可为车辆路径规划、司机调度、充电调度和空车重定位问题提供量子组合优化支持,这些问题大多可表示为适合QAOA或退火启发式方法的大规模QUBO实例。对于自动驾驶和网联车辆,量子强化学习和规划方法可用于不确定性下的复杂多智能体决策,但主要应用于离线训练和评估环节,而非对延迟敏感的控制。大规模场景模拟和罕见事件分析,若借助量子蒙特卡洛技术加速,可进一步提升移动数字孪生的预测能力。

6.智能制造

制造业是DT领域中最成熟的领域之一。整合量子计算带来了若干具体机遇。生产计划、作业车间调度和流水车间调度,以及制造单元的动态重构,都是经典的NP-hard优化问题,可通过QUBO或伊辛模型编码,并由QAOA风格或基于退火的量子优化模块解决。在分析方面,QML模型可基于高维过程数据、振动和图像流进行训练,用于预测性维护和质量监控。例如,博世与Multiverse Computing的工业合作已开始研究量子及类量子算法作为制造DT仿真流程中的加速器,包括工厂流程的原型QDT。这些努力仍处于概念验证阶段,但展示了如何将量子模块整合到现有工业DT管道中。

7.机器人

对于机器人(协作机器人、自主无人机/车辆),数字孪生必须在严格的实时约束下建模运动学、动力学、传感、环境交互和控制回路。因此,量子增强在计算密集型但延迟容忍的组件(如运动规划、任务分配和策略优化)中更为可行,而非低级伺服控制。例如,多机器人任务分配和路径规划可表述为适用于QAOA或基于退火求解器的组合优化问题,而QRL或量子增强策略搜索方法可用于在复杂部分可观测环境中学习控制策略。在所有情况下,量子模块可能在离线或监督回路中运行,而策略或规划器最终由物理机器人的经典控制器执行。

8.自然系统与环境

环境系统(气候、大气、水/地球系统、污染物扩散、生态系统动力学)本质上具有高维、随机性和多尺度特性。该领域的DTs高度依赖偏微分方程(PDEs)、随机微分方程和大型稀疏线性系统的数值求解,以及用于不确定性量化和极端事件分析的蒙特卡洛采样。针对线性系统和PDEs的量子算法,以及通过振幅估计的量子蒙特卡洛方法,为部分任务提供了渐近优势。在实践中,近期应用更可能涉及降阶或代理模型,其计算成本最高的组件被卸载到量子加速器。最近的一个绿色氢气工厂优化量子DT项目展示了工艺级环境QDT,其中量子优化被用于在随机可再生能源输入和需求条件下提升运营效率。

9.农业

农业数字孪生模型模拟土壤-作物-气候耦合、水和养分流动、作物生长及农场操作调度,通常覆盖大空间范围和长期时间跨度。由此产生的决策问题(例如灌溉和肥料调度、机械部署、轮作规划)是高维、随机的,并涉及多个有时相互冲突的目标(产量、成本、环境影响)。量子优化可用于在约束条件下探索多目标规划中的大规模组合决策空间,而QML模型可能有助于融合卫星遥感、田间物联网和天气数据,以估计潜在的土壤-作物状态并预测不确定性下的产量。尽管农业中具体的QDT案例研究目前较为罕见,但近期关于QML-DT集成和供应链中量子增强不确定性处理的工作表明,类似的混合量子-经典架构可能有助于农业规划和物流。

10.商业

在商业领域,数字孪生技术可模拟供应链、资产生命周期、客户行为及风险。QDTs自然依托量子优化与QML模块构建。网络设计、设施选址、库存定位与路径规划可建模为适合采用QAOA或量子退火启发式算法求解的大规模组合优化问题,这些算法可能嵌入多阶段随机优化框架中。

在风险与不确定性管理方面,近期研究提出了混合量子-经典供应链数字孪生,其中通过量子特征变换和变分分类器提升需求预测、异常检测及不确定性传播的效果,DT作为政策评估的测试平台。这些研究在小规模测试平台上报告了预测准确率和计算效率的潜在提升,但强调可扩展性与硬件噪声仍是重大挑战。量子安全密码学与安全多方计算技术可进一步补充基于QDT的金融与供应链系统,尽管这些技术与量子计算的核心仿真与优化角色无关。用于噪声量子设备不确定性量化的混合量子-经典数字孪生代表另一研究方向,凸显了应用QDT概念分析量子硬件性能的潜力。

8 开放性挑战与未来方向

尽管AI赋能的数字孪生已在多个领域展现出变革性潜力,但若干根本性挑战仍未解决。本节指出关键开放性问题,并概述需要研究界共同努力的有前景研究方向。

桥接物理与人工智能。尽管物理信息神经网络(PINNs)和混合建模已取得进展,但数据驱动的人工智能与基于物理的模拟之间仍存在根本性矛盾。多尺度集成仍具挑战性——例如,心血管数字孪生需在保持计算效率的同时,无缝实现从分子生物化学到器官级血液动力学的建模。混合模型的不确定性量化缺乏系统方法整合物理与数据驱动组件的不确定性,这对航空航天和医疗保健等高风险应用至关重要。确保AI模型在长期预测中维持守恒定律与因果性等物理约束,需采用嵌入物理先验的架构,包括哈密顿神经网络和辛积分器。

可扩展性与实时性能。随着数字孪生系统从单一资产扩展到覆盖工厂、供应链或城市的互联网络,计算挑战呈指数级增长。需要分层和联邦架构来协调分布式孪生体,同时确保数据一致性并最小化通信开销。神经代理模型可加速模拟,但需在计算效率与物理准确性之间取得平衡。实时适应物理系统的变化(包括退化和故障)仍具挑战性。边缘部署模型需要高效的压缩技术,在满足延迟约束的同时保持物理一致性。

可信性与伦理。数字孪生日益应用于安全关键决策,需严格保障透明度、鲁棒性和公平性。解释性应超越特征归因,转向因果和物理基础的解释。反事实推理和不确定性量化可支持“what-if”场景分析,提升诊断可靠性。对抗性扰动和级联反馈故障的鲁棒性仍是一个开放问题。源自控制理论的形式验证技术有助于系统安全认证。定义问责、可审计性和隐私保护的伦理治理框架对于确保信任和社会接受至关重要。

人机协作。在数字孪生生态系统中,人类监督不可或缺,尤其是在复杂、不确定或高风险的场景中。有效协作需要直观的界面,将自然语言查询转化为模拟或优化操作。沉浸式可视化(VR/AR)和多模态通信能让操作人员更好地理解高维预测。人在回路强化学习和共享自主框架可动态整合专家反馈,使系统学习用户偏好并通过透明的不确定性沟通校准信任水平。

标准化与跨领域迁移。通用数据模型、本体与通信协议的缺失限制了数字孪生平台间的互操作性。由数字孪生联盟等组织推动的全行业标准化对于构建模块化、互操作架构至关重要。迁移学习可复用成熟工业领域的知识,加速合成生物学等新兴领域的部署。覆盖多样运行与故障模式的基准数据集,以及平衡准确性、鲁棒性与可解释性的统一评估指标,对可复现研究至关重要。

新兴前沿。数字孪生的新前沿延伸至全球和人类尺度系统。气候、流行病和社会经济数字孪生需要整合物理模型与人类行为和政策维度。全人体数字孪生和量子级建模是需要在多尺度数据整合、生物建模和计算效率方面取得突破的长期目标。将数字孪生概念扩展到社会系统引发关于人类能动性、自反性和伦理的深刻问题,强调了AI研究者、社会科学家和伦理学家跨学科合作的必要性。

AI与数字孪生技术的融合正在重塑对复杂物理系统的感知、预测与管理方式。实现这一潜力需要融合物理与AI,扩展架构以支持实时自主性,确保伦理治理,并促进以人为本的合作。我们展望未来,AI驱动的数字孪生作为认知基础设施,能够在分子到行星尺度上监测、推理与适应,引领智能、可持续且可信的系统管理新时代。

9 致谢

本研究部分得到利哈伊大学CORE和RIG资助的支持。此外,衷心感谢陈若曦在图表制作初期的协助,以及她在利哈伊大学访学期间的富有洞见的讨论。

目录
相关文章
|
7天前
|
人工智能 自然语言处理 JavaScript
2026年Windows+Ollama本地部署OpenClaw保姆级教程:本地AI Agent+阿里云上快速搭建
2026年OpenClaw凭借本地部署、私有化运行的特性,成为打造个人智能体的核心工具,而Ollama作为轻量级本地大模型管理工具,能让OpenClaw摆脱对云端大模型的依赖,实现**本地推理、数据不泄露、全流程私有化**的智能体验。本文基于Windows 11系统,从硬件环境准备、Ollama安装与模型定制、OpenClaw部署配置、技能扩展到常见问题排查,打造保姆级本地部署教程,同时补充阿里云OpenClaw(Clawdbot)快速部署步骤,兼顾本地私有化需求与云端7×24小时运行需求,文中所有代码命令均可直接复制执行,确保零基础用户也能快速搭建属于自己的本地智能体。
8570 68
|
4天前
|
人工智能 安全 API
CoPaw:5分钟部署你的 AI助理
源自阿里巴巴开源生态的个人 AI 助理——CoPaw。作为阿里倾力打造的开源力作,CoPaw 完美打通钉钉、飞书、Discord 等多平台对话通道,支持定时任务自动化。内置 PDF/Office 深度处理、新闻摘要等强大技能,更开放自定义扩展接口。坚持数据全程私有化部署,绝不上传云端,让每一位用户都能在大厂技术加持下,拥有安全、专属的智能助手。
|
6天前
|
人工智能 自然语言处理 机器人
保姆级教程:Mac本地搭建OpenClaw及阿里云上1分钟部署OpenClaw+飞书集成实战指南
OpenClaw(曾用名Clawdbot、Moltbot)作为2026年最热门的开源个人AI助手平台,以“自然语言驱动自动化”为核心,支持对接飞书、Telegram等主流通讯工具,可替代人工完成文件操作、日历管理、邮件处理等重复性工作。其模块化架构适配多系统环境,既可以在Mac上本地化部署打造私人助手,也能通过阿里云实现7×24小时稳定运行,完美兼顾隐私性与便捷性。
4007 7
|
5天前
|
人工智能 安全 JavaScript
阿里云上+本地部署OpenClaw(小龙虾)新手攻略:解锁10大必备Skills,零基础也能玩转AI助手
2026年,开源AI代理工具OpenClaw(昵称“小龙虾”)凭借“能实际做事”的核心优势,在GitHub斩获25万+星标,成为现象级AI工具。它最强大的魅力在于可扩展的Skills(技能包)系统——通过ClawHub插件市场的数百个技能,能让AI助手从简单聊天升级为处理办公、学习、日常事务的全能帮手。
3796 8
|
8天前
|
人工智能 JSON JavaScript
手把手教你用 OpenClaw + 飞书,打造专属 AI 机器人
手把手教你用 OpenClaw(v2026.2.22-2)+ 飞书,10分钟零代码搭建专属AI机器人!内置飞书插件,无需额外安装;支持Claude等主流模型,命令行一键配置。告别复杂开发,像聊同事一样自然对话。
4426 13
手把手教你用 OpenClaw + 飞书,打造专属 AI 机器人
|
7天前
|
人工智能 监控 机器人
2026年零门槛部署 OpenClaw(Clawdbot)接入A股数据,实现24小时股票分析保姆级教程
在AI赋能金融分析的浪潮中,OpenClaw(原Clawdbot/Moltbot)凭借开源灵活的架构,成为个人投资者打造专属智能分析助手的首选。通过接入A股实时数据,它能实现24小时市场监控、涨跌预警、潜力股推荐等核心功能,彻底解放人工盯盘的繁琐。而阿里云的稳定部署环境,更让这套系统实现全天候不间断运行,成为真正的“金融AI助手”。 本文基于OpenClaw v2026.1.25稳定版与QVeris免费A股数据接口,详细拆解阿里云OpenClaw部署步骤、A股数据接入流程、高级分析功能配置及多平台联动技巧,所有代码命令均可直接复制复用,即使无技术基础也能在1小时内完成从部署到实战的全流程。
3192 11