基于无人机高光谱图像的冬小麦水氮耦合决策

简介: 本研究基于无人机高光谱遥感,构建冬小麦水氮耦合决策模型:采用SPA-RF和VIs-RF分别反演叶片含水量(R²=0.83)与叶绿素(R²=0.65),通过转换模型精准估算土壤含水量与叶片氮含量(R²达0.79/0.78),实现全生育期动态水氮优化管理。

摘要

背景:提高水和养分利用效率对于增加作物产量和应对全球人口增长至关重要。优化的灌溉和氮肥追施水平能够提升作物的水分及氮素利用效率。无人机遥感因其能够实时监测作物性状,已成为优化水氮管理的有效工具。

目的:本研究提出一种基于无人机高光谱成像的技术方法,以优化冬小麦的水氮管理。

方法:通过分析氮肥与灌溉之间的交互作用,构建了一个用于精确水氮施用的耦合决策模型。采用机器学习算法结合连续投影算法和竞争性自适应重加权采样等敏感波段选择方法,对叶片含水量和叶绿素含量进行了估算。

结果:SPA-随机森林模型在叶片含水量估算中表现最佳,而植被指数VIs-随机森林模型则是叶绿素含量估算的最优模型。通过转换模型将叶片含水量与土壤含水量、叶绿素含量与叶片氮含量进行关联,分别达到了0.790.78的确定系数。

结论:通过将高光谱反演数据与田间测量数据相结合,所提出的水氮耦合模型在关键生育阶段展现出强大的适应性和稳定性。该模型能够在整个生育期动态调整水和氮的施用量,以实现目标产量、优化施肥策略并提高利用效率。

意义:本研究结果凸显了无人机高光谱技术在优化水氮管理方面的巨大潜力。该方法从水氮耦合对产量影响的角度,为提升水氮利用效率提供了参考依据。

核心成果

1)构建冬小麦水氮耦合模型:基于随机森林(RF)算法,以土壤含水量(SWC)、叶片氮含量(LNC)和产量为输入变量,关键生育期模型平均决定系数(R²)达0.91,可动态调整水氮投入以实现目标产量。

2)确定最优反演模型组合:叶片含水量(LWC)反演最优模型为SPA-RF(验证集R²=0.83),叶绿素含量(SPAD)反演最优模型为VIs-RF(验证集R²=0.65);基于LWC-SWCSPAD-LNC构建的转换模型,平均R²分别为0.790.78,实现SWCLNC的精准估算。

3)建立无人机高光谱水氮耦合模型:整合高光谱反演数据与田间实测数据,关键生育期验证集平均R²达0.76SWCLNC预测误差平均RMSE分别为0.39%0.15%,为大面积、非破坏性冬小麦水氮监测提供技术支撑。

4)明确水氮耦合效应及管理策略:构建水氮-产量三维模型,揭示不同生育期最优水氮组合(如拔节期SWC20%LNC2.6%);基于模型计算的灌溉量和追氮量,在时空分布上与实际吻合度高,可提升水氮利用效率并降低环境风险。

实验设计

本研究于2022-2023年和2023-2024在河北辛集马兰试验站开展试验,供试冬小麦“高优2018”,麦-玉轮作,试验田面积0.1公顷,采用区组设计。以水氮为变量,灌溉设W100100%CWR)、W75W50W0四水平(滴灌,累计需水30mm时灌溉);氮素设0-360kg·ha-1五水平(N0-N4N2为常规),尿素50%基施、50%拔节期追施,磷钾肥均基施。共20个水氮组合,每处理3次重复,统一除草。

image.png

1 研究区域

数据采集

本研究的高光谱数据由X20P框幅式高光谱成像仪获取,该设备具有20MP的超高清大面阵光谱探测器,可同步获取350~1000 nm范围内164个光谱通道高光谱图像,在1/1000秒内获得整个高光谱立方体数据,更适合高速移动式测量,数据真实可靠无伪影,影像具有厘米级地理坐标信息,既适用于地面场景,也可配备一体式无刷云台,搭载于多旋翼或固定翼无人机。

image.png

2 实验和数据处理流程图

image.png

3冬小麦生长季的日降水量和平均气温


1灌溉处理

image.png


2 施氮量处理和施氮量

image.png


3 高光谱成像系统的具体参数

image.png

image.png

4 不同水氮处理对产量的影响. 注:(a)相同灌溉处理下施氮量对产量的影响;(b)相同氮肥处理下灌溉对产量的影响

image.png

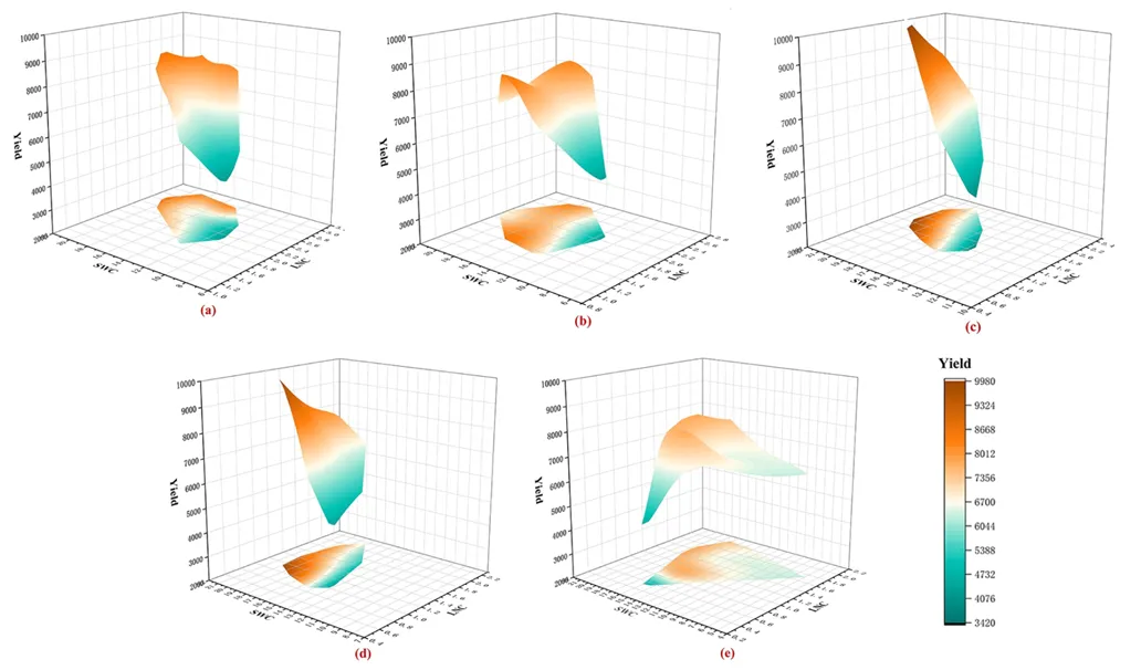
5 不同水氮处理下的水分-氮素产量三维模型. 注:(a)拔节期;(b)开花期;(c)灌浆前期;(d)灌浆中期;e)灌浆后期;SWC,土壤水分含量;LNC,叶片含氮量


4 冬小麦产量模拟结果比较图

image.png

image.png

6 随机森林算法(RF)反演产量. 注:(a)拔节期;(b)开花期;(c)灌浆期;(d)灌浆中期;(e)灌浆后期


image.png

7 场指数与敏感波段的相关热图. 注:(a)LWC(b)SPAD


image.png

8 由连续投影算法(SPA)选择的敏感波段. 注:(a)LWC(b)SPAD


image.png image.png

9 通过竞争自适应重新加权抽样(CARS)选择的敏感频段


5 叶片含水率(LWC)模拟结果的比较

image.png

image.png

10 叶片含水率(LWC)反演散点图. 注:PLSR,偏最小二乘回归;RF,随机森林;ALL,高光谱波段;SPA,连续投影算法;CARS,竞争自适应重加权采样

image.png

图11 叶片含水率(LWC)与土壤含水率(SWC)的转换模型. 注:(a)拔节期;(b)开花期;(c)灌浆期;(d)灌浆中期;(e)灌浆后期


6 SPAD建模结果的比较

image.png


image.png

12 相对叶绿素含量(SPAD)估计结果的散点图. 注:RF,随机森林;PLSR,偏最小二乘回归;ALL,高光谱波段;VIS,植被指数


image.png

13 相对叶绿素含量(SPAD)与叶片含氮量(LNC)的转化模型. 注:(a)拔节期;(b)开花期;(c)灌浆期;(d)灌浆中期;(e)灌浆后期


7 基于高光谱遥感的水氮耦合模型误差分析

image.png

image.png

图14 基于高光谱遥感的水氮耦合模型产量反演. 注:(a)拔节期;(b)开花期;(c)灌浆期;(d)灌浆中期;(e)灌浆后期


8 关键生育期的最适水分和氮素含量

image.png

image.png

15 关键生育期补灌量. 注:(a)拔节期;(b)开花期;(c)灌浆期;(d)灌浆中期;(e)灌浆后期


image.png

图16 关键生育期的追氮量. 注:(a)拔节期;(b)开花期;(c)灌浆期;(d)灌浆中期;(e)灌浆后期

研究结论

本研究基于无人机遥感数据构建了冬小麦水氮耦合模型,该模型实现了冬小麦全生育期的水氮协同管理。主要结论如下:

1)采用随机森林算法,以土壤含水量、叶片氮含量及产量作为输入变量,构建了水氮耦合模型。该模型在关键生育阶段的平均决定系数达到0.91

2)确定了SPA-随机森林与VIs-随机森林分别作为叶片含水量和叶绿素值的最优反演模型,验证集决定系数分别为0.830.65。进而通过叶片含水量-土壤含水量、叶绿素值-叶片氮含量的转换关系建立估算模型,平均决定系数分别达到0.790.78

3)基于上述研究构建了高光谱遥感水氮耦合模型,在关键生育阶段验证集平均决定系数为0.76。与田间实测数据相比,土壤含水量和叶片氮含量的预测误差均方根平均值分别为0.39%0.15%

本研究为利用无人机成像技术实现冬小麦水氮含量的快速无损监测提供了重要参考。

原文链接https://doi.org/10.1016/j.fcr.2025.110159

相关文章
|
9天前
|
人工智能 自然语言处理 Shell
🦞 如何在 OpenClaw (Clawdbot/Moltbot) 配置阿里云百炼 API
本教程指导用户在开源AI助手Clawdbot中集成阿里云百炼API,涵盖安装Clawdbot、获取百炼API Key、配置环境变量与模型参数、验证调用等完整流程,支持Qwen3-max thinking (Qwen3-Max-2026-01-23)/Qwen - Plus等主流模型,助力本地化智能自动化。
🦞 如何在 OpenClaw (Clawdbot/Moltbot) 配置阿里云百炼 API
|
6天前
|
人工智能 机器人 Linux
保姆级 OpenClaw (原 Clawdbot)飞书对接教程 手把手教你搭建 AI 助手
OpenClaw(原Clawdbot)是一款开源本地AI智能体,支持飞书等多平台对接。本教程手把手教你Linux下部署,实现数据私有、系统控制、网页浏览与代码编写,全程保姆级操作,240字内搞定专属AI助手搭建!
4373 13
保姆级 OpenClaw (原 Clawdbot)飞书对接教程 手把手教你搭建 AI 助手
|
5天前
|
人工智能 安全 机器人
OpenClaw(原 Clawdbot)钉钉对接保姆级教程 手把手教你打造自己的 AI 助手
OpenClaw(原Clawdbot)是一款开源本地AI助手,支持钉钉、飞书等多平台接入。本教程手把手指导Linux下部署与钉钉机器人对接,涵盖环境配置、模型选择(如Qwen)、权限设置及调试,助你快速打造私有、安全、高权限的专属AI助理。(239字)
3642 9
OpenClaw(原 Clawdbot)钉钉对接保姆级教程 手把手教你打造自己的 AI 助手
|
8天前
|
人工智能 JavaScript 应用服务中间件
零门槛部署本地AI助手:Windows系统Moltbot(Clawdbot)保姆级教程
Moltbot(原Clawdbot)是一款功能全面的智能体AI助手,不仅能通过聊天互动响应需求,还具备“动手”和“跑腿”能力——“手”可读写本地文件、执行代码、操控命令行,“脚”能联网搜索、访问网页并分析内容,“大脑”则可接入Qwen、OpenAI等云端API,或利用本地GPU运行模型。本教程专为Windows系统用户打造,从环境搭建到问题排查,详细拆解全流程,即使无技术基础也能顺利部署本地AI助理。
6968 15
|
6天前
|
存储 人工智能 机器人
OpenClaw是什么?阿里云OpenClaw(原Clawdbot/Moltbot)一键部署官方教程参考
OpenClaw是什么?OpenClaw(原Clawdbot/Moltbot)是一款实用的个人AI助理,能够24小时响应指令并执行任务,如处理文件、查询信息、自动化协同等。阿里云推出的OpenClaw一键部署方案,简化了复杂配置流程,用户无需专业技术储备,即可快速在轻量应用服务器上启用该服务,打造专属AI助理。本文将详细拆解部署全流程、进阶功能配置及常见问题解决方案,确保不改变原意且无营销表述。
4533 4
|
4天前
|
人工智能 机器人 Linux
OpenClaw(Clawdbot、Moltbot)汉化版部署教程指南(零门槛)
OpenClaw作为2026年GitHub上增长最快的开源项目之一,一周内Stars从7800飙升至12万+,其核心优势在于打破传统聊天机器人的局限,能真正执行读写文件、运行脚本、浏览器自动化等实操任务。但原版全英文界面对中文用户存在上手门槛,汉化版通过覆盖命令行(CLI)与网页控制台(Dashboard)核心模块,解决了语言障碍,同时保持与官方版本的实时同步,确保新功能最快1小时内可用。本文将详细拆解汉化版OpenClaw的搭建流程,涵盖本地安装、Docker部署、服务器远程访问等场景,同时提供环境适配、问题排查与国内应用集成方案,助力中文用户高效搭建专属AI助手。
2426 5
|
8天前
|
人工智能 JavaScript API
零门槛部署本地 AI 助手:Clawdbot/Meltbot 部署深度保姆级教程
Clawdbot(Moltbot)是一款智能体AI助手,具备“手”(读写文件、执行代码)、“脚”(联网搜索、分析网页)和“脑”(接入Qwen/OpenAI等API或本地GPU模型)。本指南详解Windows下从Node.js环境搭建、一键安装到Token配置的全流程,助你快速部署本地AI助理。(239字)
4594 23
|
14天前
|
人工智能 API 开发者
Claude Code 国内保姆级使用指南:实测 GLM-4.7 与 Claude Opus 4.5 全方案解
Claude Code是Anthropic推出的编程AI代理工具。2026年国内开发者可通过配置`ANTHROPIC_BASE_URL`实现本地化接入:①极速平替——用Qwen Code v0.5.0或GLM-4.7,毫秒响应,适合日常编码;②满血原版——经灵芽API中转调用Claude Opus 4.5,胜任复杂架构与深度推理。
8493 12