基于无人机高光谱影像的河流叶绿素a和悬浮物浓度监测

简介: 本研究对比无人机高光谱(X20P)、多光谱(P4M)与Sentinel-2、Landsat系列卫星数据反演城市河流叶绿素a(Chla)和悬浮物(SS)的不确定性。结果表明:Chla反演高度依赖窄带红边波段(700–710 nm),无人机性能最优(X20P>P4M>L9>S2>L8),而SS反演对波段敏感性低,S2表现更优;空间分辨率对Chla监测影响显著,对SS影响较小。研究凸显了无人机与卫星协同观测在水环境精准管理中的关键价值。(239字)

摘要

      近几十年来,受气候变化和人类活动复合影响,城市河流浮游植物增殖及沉积物输入问题日益突出。鉴于河流宽度有限,传统高空间分辨率卫星在波段设置、带宽及信噪比方面存在局限,无人机凭借其卓越的时空分辨率,成为河流环境监测及反演不确定性评估的重要工具。该研究基于无人机高光谱(X20P)、多光谱(P4M)图像以及Sentinel-2 MSILandsat-8 OLILandsat-9 OLI2卫星数据,系统评估了河流叶绿素aChla)和悬浮物(SS)浓度反演的不确定性。通过逐步多元回归及典型反演算法,分别构建了基于无人机和卫星数据的ChlaSS模型,并深入分析了模型性能。研究结果显示,在Chla浓度反演中,传感器性能排序为:X20P > P4M > Landsat9 OLI2 > Sentinel-2 MSI > Landsat8 OLI;而在SS反演中,排序为:X20P > Sentinel-2 MSI > P4M > Landsat9 OLI2 > Landsat8 OLI。此外,基于无人机的模型分析揭示了高空间分辨率卫星反演的不确定性,指出窄带宽及精细波段设置对Chla反演至关重要。典型Chla反演算法NDCI仅在特定波段有效(波段1684-724nm,波段2660-680nm),而Landsat8Landsat9缺失关键红边波段(700-710nm),严重限制了Chla反演的实际应用。然而,不同传感器波段差异对SS反演影响较小,各传感器R/B算法(典型的SS反演算法)与SS相关性介于0.680.77之间。另一方面,Chla监测对空间分辨率要求高于SS监测。无人机影像重采样至10m30m分辨率时,Chla监测精度显著下降,而对SS反演影响较小。以P4M为例,原始分辨率(RMSE<30cm=6.28mg/L)图像重采样至10mRMSE10m=5.85mg/L)和30mRMSE30m=4.08mg/L)分辨率后,SS反演精度反而有所提升。该研究结果不仅展示了未来监测ChlaSS的多种选择,还强调了无人机与卫星协同作用在实现更大空间和时间尺度上精确观测的重要性,为水环境管理与保护提供了有力支持。

研究数据

高光谱数据:高光谱数据由Cubert X20P机载框幅式高光谱成像仪获取。该成像仪采用革命性的框幅式高光谱成像技术,具有20MP的超高清大面阵光谱探测器,可同步获取350~1000 nm范围内164个光谱通道高光谱图像,在1/1000秒内获得整个高光谱立方体数据,更适合高速移动式测量,数据真实可靠无伪影,影像具有厘米级地理坐标信息,配备一体式无刷云台,内置控制及固态存储,适合多旋翼或固定翼无人机搭载。

研究过程

image.png

1 研究区域的地理位置、采样点位置和多源遥感数据真彩色图像(a:研究区域位置;b:采样点分布;c:2022年7月25日基于无人机的多光谱图像;d:2022年7月25日基于无人机的高光谱图像;e:2022年7月25日Sentinel-2 MSI图像;f:2022年7月25日Landsat8 OLI图像;g:2022年7月25日Landsat9 OLI2图像)


表1 卫星影像获取日期

image.png

image.png

2 各传感器的带宽及波段分布(a)、各采样点(NPS-南排水河;NY-南运河)高光谱曲线平均值


2 常用于Chla和SS反演的光谱指数(R-红色,G-绿色,B-蓝色,RE-红边,NIR-近红外)

image.png

image.png


3 NPS和NY中Chla(ug/L)和SS(mg/L)的分布


image.png

4 Chla(a)和SS(b)与基于多源遥感数据的典型光谱指数的相关性(***P < 0.001,**P < 0.01,*P < 0.05)

image.png

5 多源遥感数据的逐步回归交叉验证结果:(a)Chla、(b)SS

image.png

6 Chla实测值和模型预测值的散点图


image.png

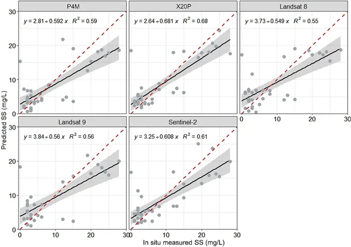
7 SS实测值和模型预测值的散点图


表3 Landsat8与Landsat9反演Chla的精度比较

image.png

image.png

8 重采样后Chla和SS逐步多元回归模型的精度(a和c分别为基于无人机重采样图像的Chla回归模型的R-sq和RMSE;b和d分别为基于无人机重采样图像的SS回归模型的R-sq和RMSE)

image.png

9 基于X20P的归一化差异叶绿素指数(NDCI)波段选择

研究结论

      该研究比较了基于无人机的多光谱、高光谱传感器,以及Sentinel-2 MSILandsat8 OLILandsat9 OLI2等卫星传感器在监测城市河流ChlaSS方面的性能。无人机技术有效解决了大气影响、混合像元和邻近效应等难题,为评估常用高空间分辨率卫星在ChlaSS监测中的不确定性提供了有力工具。通过多源遥感数据的对比分析,深入探讨了遥感技术反演水色参数的不确定性,并揭示了不同传感器在ChlaSS反演中的独特优势与局限性。

      研究发现,ChlaSS的反演对传感器的要求存在显著差异。在Chla反演中,传感器性能排序为:X20P > P4M > Landsat9 OLI2 > Sentinel-2 MSI > Landsat8 OLI,表明高空间分辨率对Chla监测至关重要。而在SS反演中,性能排序为:X20P > Sentinel-2 MSI > P4M > Landsat9 OLI2 > Landsat8 OLI,说明更大的空间尺度有望提高SS监测的准确性,这与不同参数空间分布的异质性有关。窄带宽和精确的波段设置对于Chla监测至关重要,因其光学特征仅存在于特定波段范围内,而SS监测则主要依赖红光和近红外波段。

该研究结果表明,无人机在水环境昼夜时空动态格局监测方面具有广阔的应用前景,能够为地面和卫星监测提供重要补充。在大多数情况下,无人机与高空间分辨率卫星的联合使用可显著提高监测精度,且产生的空间浓度梯度反演结果相似,表明两种技术的联合应用是未来发展的重要方向。该研究成果为高空间和时间分辨率的水体遥感及多源数据联合观测提供了有益参考,并建议未来应进一步推进水环境的协同观测,充分发挥多源数据的协同作用,以实现更精准、高效的水环境监测与管理。

 

原文链接:https://doi.org/10.1016/j.ecolind.2023.111041

相关文章
|
9天前
|
人工智能 自然语言处理 Shell
🦞 如何在 OpenClaw (Clawdbot/Moltbot) 配置阿里云百炼 API
本教程指导用户在开源AI助手Clawdbot中集成阿里云百炼API,涵盖安装Clawdbot、获取百炼API Key、配置环境变量与模型参数、验证调用等完整流程,支持Qwen3-max thinking (Qwen3-Max-2026-01-23)/Qwen - Plus等主流模型,助力本地化智能自动化。
🦞 如何在 OpenClaw (Clawdbot/Moltbot) 配置阿里云百炼 API
|
5天前
|
人工智能 机器人 Linux
保姆级 OpenClaw (原 Clawdbot)飞书对接教程 手把手教你搭建 AI 助手
OpenClaw(原Clawdbot)是一款开源本地AI智能体,支持飞书等多平台对接。本教程手把手教你Linux下部署,实现数据私有、系统控制、网页浏览与代码编写,全程保姆级操作,240字内搞定专属AI助手搭建!
4090 13
保姆级 OpenClaw (原 Clawdbot)飞书对接教程 手把手教你搭建 AI 助手
|
7天前
|
人工智能 JavaScript 应用服务中间件
零门槛部署本地AI助手:Windows系统Moltbot(Clawdbot)保姆级教程
Moltbot(原Clawdbot)是一款功能全面的智能体AI助手,不仅能通过聊天互动响应需求,还具备“动手”和“跑腿”能力——“手”可读写本地文件、执行代码、操控命令行,“脚”能联网搜索、访问网页并分析内容,“大脑”则可接入Qwen、OpenAI等云端API,或利用本地GPU运行模型。本教程专为Windows系统用户打造,从环境搭建到问题排查,详细拆解全流程,即使无技术基础也能顺利部署本地AI助理。
6797 14
|
5天前
|
存储 人工智能 机器人
OpenClaw是什么?阿里云OpenClaw(原Clawdbot/Moltbot)一键部署官方教程参考
OpenClaw是什么?OpenClaw(原Clawdbot/Moltbot)是一款实用的个人AI助理,能够24小时响应指令并执行任务,如处理文件、查询信息、自动化协同等。阿里云推出的OpenClaw一键部署方案,简化了复杂配置流程,用户无需专业技术储备,即可快速在轻量应用服务器上启用该服务,打造专属AI助理。本文将详细拆解部署全流程、进阶功能配置及常见问题解决方案,确保不改变原意且无营销表述。
4367 5
|
4天前
|
人工智能 安全 机器人
OpenClaw(原 Clawdbot)钉钉对接保姆级教程 手把手教你打造自己的 AI 助手
OpenClaw(原Clawdbot)是一款开源本地AI助手,支持钉钉、飞书等多平台接入。本教程手把手指导Linux下部署与钉钉机器人对接,涵盖环境配置、模型选择(如Qwen)、权限设置及调试,助你快速打造私有、安全、高权限的专属AI助理。(239字)
3113 8
OpenClaw(原 Clawdbot)钉钉对接保姆级教程 手把手教你打造自己的 AI 助手
|
7天前
|
人工智能 JavaScript API
零门槛部署本地 AI 助手:Clawdbot/Meltbot 部署深度保姆级教程
Clawdbot(Moltbot)是一款智能体AI助手,具备“手”(读写文件、执行代码)、“脚”(联网搜索、分析网页)和“脑”(接入Qwen/OpenAI等API或本地GPU模型)。本指南详解Windows下从Node.js环境搭建、一键安装到Token配置的全流程,助你快速部署本地AI助理。(239字)
4461 21
|
13天前
|
人工智能 API 开发者
Claude Code 国内保姆级使用指南:实测 GLM-4.7 与 Claude Opus 4.5 全方案解
Claude Code是Anthropic推出的编程AI代理工具。2026年国内开发者可通过配置`ANTHROPIC_BASE_URL`实现本地化接入:①极速平替——用Qwen Code v0.5.0或GLM-4.7,毫秒响应,适合日常编码;②满血原版——经灵芽API中转调用Claude Opus 4.5,胜任复杂架构与深度推理。
8114 12
|
3天前
|
人工智能 机器人 Linux
OpenClaw(Clawdbot、Moltbot)汉化版部署教程指南(零门槛)
OpenClaw作为2026年GitHub上增长最快的开源项目之一,一周内Stars从7800飙升至12万+,其核心优势在于打破传统聊天机器人的局限,能真正执行读写文件、运行脚本、浏览器自动化等实操任务。但原版全英文界面对中文用户存在上手门槛,汉化版通过覆盖命令行(CLI)与网页控制台(Dashboard)核心模块,解决了语言障碍,同时保持与官方版本的实时同步,确保新功能最快1小时内可用。本文将详细拆解汉化版OpenClaw的搭建流程,涵盖本地安装、Docker部署、服务器远程访问等场景,同时提供环境适配、问题排查与国内应用集成方案,助力中文用户高效搭建专属AI助手。
2075 4