利用无人机多源遥感数据改进水稻产量预测

简介: 本研究融合无人机高光谱、热红外(TIR)与LiDAR数据,评估水稻分蘖至灌浆期多阶段产量预测效果。结果表明:孕穗期高光谱模型R²达0.806;TIR与LiDAR特征显著提升抽穗后预测精度;三阶段(分蘖–孕穗–抽穗)多时态融合模型精度最高(R²=0.837),为优化传感器协同与关键监测期选择提供科学依据。(239字)

摘要

水稻产量预测对于保障粮食安全至关重要,在中国等主要水稻生产国尤为突出。虽然无人机(UAV)高光谱数据凭借其获取详细的光谱信息的能力而被广泛用于产量预测,但无法充分涵盖冠层结构、水分含量等关键影响因素。为提升预测精度,整合可反映冠层湿度的热红外(TIR)数据与能提供作物高度及冠层密度的LiDAR数据至关重要。但这些传感器所提供的生物物理特征在不同生长期的产量预测中具体作用尚不明确。

本研究通过评估在水稻关键生长阶段(分蘖期、孕穗期、抽穗期、灌浆期)收集的高光谱、TIRLiDAR数据的组合使用来弥补这一差距。采用集成机器学习模型,推导并整合了包括光谱指数、纹理特征、温度数据和冠层结构属性在内的多模态信息,用于水稻产量预测。同时对比单时态(单个生长阶段数据)与多时态(多个生长阶段数据)建模策略的效果。结果显示,高光谱数据在孕穗期即可达到满意预测精度(R2 0.806);融合TIR的温度特征与LiDAR的结构特征,虽未改善早期预测效果,却显著提升了中后期(尤其抽穗期)的预测精度;而整合分蘖期、孕穗期、抽穗期数据的多阶段模型,实现了最高预测精度(R2 0.837)。本研究为优化传感器融合策略、确定水稻产量预测中信息价值最高的生长阶段,提供了重要参考依据 。

研究过程

image.png


1 研究区域概述和实验设计。(a)研究区位于中国南部江西省(b)研究使用的无人机平台和机载传感器(c)实验地处理设置示意图

image.png

2. 基于无人机多源遥感数据的实验流程图

image.png

3.不同生长期的光谱指数与不同波长组合产量的相关性

image.png

4. 空间纹理特征与不同波长组合产量的相关性

1.基于高光谱数据点的不同生长期产量预测精度

image.png

image.png


5 不同生长期的高光谱模型的变量对比

image.png

6. 不同生长期热红外变量与产量的相关性。* 表示 0.05 水平的显着性,** 表示 0.01 水平的显着性。

image.png


7. 不同生长期激光雷达变量与产量的相关性。* 表示 0.05 水平的显着性,** 表示 0.01 水平的显着性。假设 DEM 在水稻生长期保持不变。

2基于高光谱和热红外融合数据的不同生长期的产量预测精度

image.png

3. 基于高光谱和激光雷达融合数据的不同生长期的产量预测精度

image.png

8. 不同模型策略跨生长期的产量预测散点图

4. 基于高光谱、热红外和激光雷达数据在不同生长期的产量预测精度

image.png

image.png

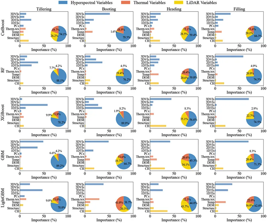
9. 不同生长期的高光谱、热红外和激光雷达模型中的变量重要性

image.png

10.结合不同生长期的基于高光谱、热红外和激光雷达融合的变量重要性

5. 结合不同生长期的高光谱、热红外和激光雷达数据对产量预测精度的对比

image.png

结论

本研究调查了基于无人机的的多源数据(高光谱、热红外和激光雷达)结合单时序和多时态建模方法在水稻产量预测方面的潜力。分析涵盖分蘖、孕穗、抽穗和灌浆四个关键生长期。主要发现总结如下:

1.     基于高光谱数据在孕穗阶段具有较高的预测精度(R2= 0.806),其中二维纹理特征与三维光谱特征是主要贡献因素。

2.     热成像和激光雷达数据在水稻生长早期阶段(分蘖期和孕穗期)未提升产量预测精度,但在抽穗后阶段(灌浆期等)显著改善了预测表现,这凸显了它们在作物生长后期监测中的实用价值。

3.     采用整合分蘖期、孕穗期及抽穗期多模态数据的多时态模型时,实现了最高的整体预测精度(R2=0.837),相较于表现最佳的单阶段模型,精度提升了3.8%。然而,该方法需付出更高的数据采集成本,且预测时间更晚,更接近收获期。

尽管取得了上述进展,本研究仍强调了基于无人机的产量预测中成本与精度之间的权衡关系。虽然多模态与多时态方法能提高预测精度,但其实际应用受限于成本增加与复杂性提升。未来研究应聚焦于进一步优化数据融合策略,以提高成本效益与可扩展性。这些研究见解为无人机技术在精准农业中的应用提供了支撑,也为改进产量预测系统提供了切实可行的路径。

文章链接:https://doi.org/10.1080/10095020.2025.2535524



相关文章
|
9天前
|
人工智能 自然语言处理 Shell
🦞 如何在 OpenClaw (Clawdbot/Moltbot) 配置阿里云百炼 API
本教程指导用户在开源AI助手Clawdbot中集成阿里云百炼API,涵盖安装Clawdbot、获取百炼API Key、配置环境变量与模型参数、验证调用等完整流程,支持Qwen3-max thinking (Qwen3-Max-2026-01-23)/Qwen - Plus等主流模型,助力本地化智能自动化。
🦞 如何在 OpenClaw (Clawdbot/Moltbot) 配置阿里云百炼 API
|
5天前
|
人工智能 机器人 Linux
保姆级 OpenClaw (原 Clawdbot)飞书对接教程 手把手教你搭建 AI 助手
OpenClaw(原Clawdbot)是一款开源本地AI智能体,支持飞书等多平台对接。本教程手把手教你Linux下部署,实现数据私有、系统控制、网页浏览与代码编写,全程保姆级操作,240字内搞定专属AI助手搭建!
4048 13
保姆级 OpenClaw (原 Clawdbot)飞书对接教程 手把手教你搭建 AI 助手
|
7天前
|
人工智能 JavaScript 应用服务中间件
零门槛部署本地AI助手:Windows系统Moltbot(Clawdbot)保姆级教程
Moltbot(原Clawdbot)是一款功能全面的智能体AI助手,不仅能通过聊天互动响应需求,还具备“动手”和“跑腿”能力——“手”可读写本地文件、执行代码、操控命令行,“脚”能联网搜索、访问网页并分析内容,“大脑”则可接入Qwen、OpenAI等云端API,或利用本地GPU运行模型。本教程专为Windows系统用户打造,从环境搭建到问题排查,详细拆解全流程,即使无技术基础也能顺利部署本地AI助理。
6773 14
|
5天前
|
存储 人工智能 机器人
OpenClaw是什么?阿里云OpenClaw(原Clawdbot/Moltbot)一键部署官方教程参考
OpenClaw是什么?OpenClaw(原Clawdbot/Moltbot)是一款实用的个人AI助理,能够24小时响应指令并执行任务,如处理文件、查询信息、自动化协同等。阿里云推出的OpenClaw一键部署方案,简化了复杂配置流程,用户无需专业技术储备,即可快速在轻量应用服务器上启用该服务,打造专属AI助理。本文将详细拆解部署全流程、进阶功能配置及常见问题解决方案,确保不改变原意且无营销表述。
4336 5
|
4天前
|
人工智能 安全 机器人
OpenClaw(原 Clawdbot)钉钉对接保姆级教程 手把手教你打造自己的 AI 助手
OpenClaw(原Clawdbot)是一款开源本地AI助手,支持钉钉、飞书等多平台接入。本教程手把手指导Linux下部署与钉钉机器人对接,涵盖环境配置、模型选择(如Qwen)、权限设置及调试,助你快速打造私有、安全、高权限的专属AI助理。(239字)
3047 8
OpenClaw(原 Clawdbot)钉钉对接保姆级教程 手把手教你打造自己的 AI 助手
|
7天前
|
人工智能 JavaScript API
零门槛部署本地 AI 助手:Clawdbot/Meltbot 部署深度保姆级教程
Clawdbot(Moltbot)是一款智能体AI助手,具备“手”(读写文件、执行代码)、“脚”(联网搜索、分析网页)和“脑”(接入Qwen/OpenAI等API或本地GPU模型)。本指南详解Windows下从Node.js环境搭建、一键安装到Token配置的全流程,助你快速部署本地AI助理。(239字)
4435 21
|
13天前
|
人工智能 API 开发者
Claude Code 国内保姆级使用指南:实测 GLM-4.7 与 Claude Opus 4.5 全方案解
Claude Code是Anthropic推出的编程AI代理工具。2026年国内开发者可通过配置`ANTHROPIC_BASE_URL`实现本地化接入:①极速平替——用Qwen Code v0.5.0或GLM-4.7,毫秒响应,适合日常编码;②满血原版——经灵芽API中转调用Claude Opus 4.5,胜任复杂架构与深度推理。
8079 12
|
3天前
|
人工智能 机器人 Linux
OpenClaw(Clawdbot、Moltbot)汉化版部署教程指南(零门槛)
OpenClaw作为2026年GitHub上增长最快的开源项目之一,一周内Stars从7800飙升至12万+,其核心优势在于打破传统聊天机器人的局限,能真正执行读写文件、运行脚本、浏览器自动化等实操任务。但原版全英文界面对中文用户存在上手门槛,汉化版通过覆盖命令行(CLI)与网页控制台(Dashboard)核心模块,解决了语言障碍,同时保持与官方版本的实时同步,确保新功能最快1小时内可用。本文将详细拆解汉化版OpenClaw的搭建流程,涵盖本地安装、Docker部署、服务器远程访问等场景,同时提供环境适配、问题排查与国内应用集成方案,助力中文用户高效搭建专属AI助手。
2016 4