超长序列并行之Ulysses + Ring-Attention技术原理与实现

简介: 本文介绍大模型长序列训练中的显存优化技术,重点解析Ulysses与Ring-Attention的融合方案。通过序列并行降低显存占用,结合zigzag切分与padding_free适配,实现高效多模态训练,在3B模型上显存从75GB降至18GB,显著提升长序列训练可行性。

超长序列的训练一直在大模型训练中是一个重要的方向。在实际推理过程中,尤其是Agent链路中,模型对长序列、复杂场景的泛化性代表着模型在实际应用时的可信度。长序列的场景,对于大模型训练也提出了更高的需求。由于Attention计算的O(N²)复杂度特性,使实际输入序列在增长时,显存使用会呈现指数型爆炸。这对于显存不宽裕的卡型,在长序列训练练场景中的可用性,提出了巨大的挑战。


序列并行(Sequence Parrallel, SP)技术,可以用来在多卡或多机条件下降低长序列训练对于大显存的依赖。简单而言,序列并行可以用如下概念定义:

序列并行是在训练过程中,将一个输入序列在不同卡上切分为若干个并行计算的子序列,从而降低训练对于显存的需求。


常用的序列并行方式有下面几种:

1、Ulysses

2、Ring-Attention

3、Megatron-SP/CP


这其中Ulysses和Ring-Attention都是基于Transformers生态的序列并行解决方案,我们在这里主要介绍这两种方案的技术原理和实现。而Megatron-CP[1]和Ring-Attention可以类比为同类技术,Megatron-SP则针对激活值进行了切分,一般配合Megatron-TP使用。我们在这里都不做具体的展开。


首先,我们看下在融合Ulysses和Ring-Attention两种训练技术后,在Qwen2.5-3B模型上的长序列训练过程中,能达到的降低显存的效果:

SP size SP Strategy GPU memory training time
8 w/ ulysses=2 ring=4 17.92GiB 1:07:20
4 w/ ulysses=2 ring=2 27.78GiB 37:48
2 w/ ulysses=2 48.5GiB 24:16
1 w/o SP 75.35GiB 19:41

注意,由于序列切分带来的通讯量增加和显卡负载的不同,训练时间会有相应的延长。


其中切分为2个子序列的时候使用了Ulysses,切分为4/8个子序列时使用了Ulysses(切分2)+Ring-Attention(切分2或4)。下面我们展开阐述一下这两种技术的原理和实现方案。


01Ulysses

Ulysses是DeepSpeed团队开发的序列并行算法[2]。Ulysses的思路可以用一句话来概括:

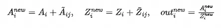
在序列被切分为子序列后,在每个layer中Attention计算之前进行激活值交换,使每张卡上组合成完整的序列。而Attention Head会被拆分到不同卡上去,从而达到减少显存的目的。计算完成后再交换回来。


通过这样的方式,虽然QKV计算时仍然是O(N²)的激活值,但由于每张卡上Attention Head减少了,因此显存占用仍然会降低。下图是一个简单的例子,假设切分为两个序列,每个序列有两个attention heads:


我们放一下论文中给的图:

其中,N代表序列长度,d代表hidden_size,也可以具体理解为Attension Head数量*实际的hidden_size。

Ulysses切分后的状态:

Ulysses的技术原理非常清晰,关键点是N/P到d/P的all-to-all通讯。由于QKV在Attention计算时是完整的,而不同的Attention-Head分摊在不同的卡上,因此在GQA、MHA等场景下都是通用的,并且完全兼容flash-attn、SDPA、padding_free等各种技术。当然,由于存在跨卡通讯,因此backward过程需要额外处理。


但Ulysses的限制也比较明显,即受限于Attension Head的数目。尤其是在KV头数远小于Q头数的GQA中,Ulysses可能无法拆分到更多卡上。

02Ring-Attention

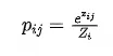
在谈Ring-Attention之前,需要先简单聊一下Flash-Attention。Flash-Attention的原理也可以用一句话解释:

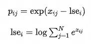
QKV、softmax可以进行分块并行计算和更新,在最大化利用SRAM的能力的同时,降低显存使用。


flash-attention的forward流程伪代码:

注意上面Algorithm1中第10~12行的伪代码,该部分对分块的LSE(log-sum-exp):

其中:


和Attention-Out进行了合并更新,即在计算完新的块之后,将新的块的结果和老块的结果进行合并,得到完整的结果。


那么,如果每张卡承载一部分序列长度,计算结果跨卡传递,是不是可以使flash-attention跨卡生效呢?这就是Ring-Attention的基本思想了。

Ring-Attention:利用Attention计算可以分块进行的原理,将序列块切分到多张卡上分别计算,再将计算结果合并起来得到最终结果。

假设有N个块,考虑同一个Qi 以及可以在不同块间通讯流转的K0~n-1 V0~n-1 ,先考虑Softmax部分:

其中:


一般来说,为了数值稳定不会直接计算指数,而是使用数值稳定的计算方式:

可以看到使用指数公式展开后,该方式和上面的原始公式是等价的。

下面我们需要递推LSE和Attention-Out的更新,先来看LSE,考虑已经有前置的累加结果和当前块结果,那么新的LSE应该是:

那么:

其中i代表旧的累积值,ij代表当前块的值。针对右侧log进行展开:

同理为了数值稳定,不在这里计算指数,而将右侧合并为logsigmoid的形式。在PyTorch中,logsigmoid的softplus算子会负责数值稳定的计算:

这就是Ring-Attention的LSE更新公式。


下面考虑Attention-Out。我们目前有块LSE、前序累积LSE、块Attention-Out、前序累积Attention-Out四个值,需要用这几个信息递推更新后的整体Attention-Out。


根据Attention计算公式和分块定义,假设之前块的计算结果:

当前块的计算结果:

于是:

使用LSE来表示上面的公式:

根据Attention公式:

代入上面:


注意到上面的公式分子左右拆分后,可以变为两个独立的式子相加,并且这两个式子分别是sigmoid的形式,因此得到:

这两个更新公式和flash-attention论文中给的递归公式是等价的,同样是分块更新和online-softmax的思路。


上面的推导给出了迭代更新的前向计算公式,代码位置在update_out_and_lse中:

Github链接:https://github.com/modelscope/ms-swift/blob/main/swift/trainers/sequence_parallel/zigzag_ring_attn.py#L69


既然有前向,那就必然有反向。在反向时,需要从最终的i-1逐步还原到第0步,由于篇幅关系,反向公式的推导不在这里展开,代码位置在lse_grad中:

GitHub链接:

https://github.com/modelscope/ms-swift/blob/main/swift/trainers/sequence_parallel/zigzag_ring_attn.py#L263


GitHub链接:

https://github.com/modelscope/ms-swift/blob/main/swift/trainers/sequence_parallel/zigzag_ring_attn.py#L458


好的,上面我们已经准备好了理论,可以开始实现代码了。

注意,Ring-Attention有多个变种实现,例如strip-ring-attention[3]。在这些实现中,在负载均衡上最优秀的是zigzag(z字型,或者成为之字形)的实现方式。为了理解原始Ring-Attention的问题,我们看下下面的图:


由于GPU 0处理句子的最前部分,因此其他卡的KV流转到GPU 0的时候,GPU由于causal=True的原因根本无法参与计算句子后面的部分,而GPU3可以计算0~2的全部序列,因此每张卡的计算负载并不一致。在这个前提下,Megatron-CP和一些优秀的实现采用了Z字型切分:

假设需要切分到4张卡上,那么在保证序列可以被均分为8片的情况下,将0/7组合到一起,1/6组合到一起,2/5、3/4也分别组合到一起,这样可以保证计算的均衡。并且,这种计算还有一个特性:

  1. 在本地计算QKV(序号为0)的时候,causal=True直接计算
  2. 在流转序号小于等于当前rank时,只需要计算KV的前半部分
  3. 在流转序号大于当前rank时,只需要计算Q的后半部分

这进一步减小了计算量。代码实现参见:

GitHub链接:

https://github.com/modelscope/ms-swift/blob/main/swift/trainers/sequence_parallel/zigzag_ring_attn.py#L348


03Ulysses和Ring-Attention

不难看出,这两个序列并行方案各有特点。

  1. Ulysses通讯比较低,但受限于Attention Head数量,而且all-to-all通讯对延迟比较敏感,对网络拓扑也有一定要求。
  2. Ring-Attention的P2P环通讯要求比较低,但通讯量更高一些,也不受限于Attention Head数量。


从上面的原理可以看到,Ulysses和Ring-Attention两个技术实际上是可以融合使用的。可以先使用通讯量较低的Ulysses进行切分,如果Attention Head数量不足(GQA),或切分序列数量过大,则补充以Ring-Attention。


SWIFT中实现了这样一个融合计算的技术,并且适用于纯文本、多模态、SFT、DPO、GRPO等各类场景中。在基础代码实现中,我们采用了一些优异的社区开源工作[4][5], 并重写了部分代码。

GitHub链接:https://github.com/modelscope/ms-swift

使用方式也非常简单,在命令行中额外增加一个参数:

--sequence_parallel_size N

框架会自行计算切分方式,甚至当显卡数量不是偶数时(3,5,7等)也可以支持。


切分方式

最自然的方式是先用Ulysses做局部gather,整体使用Ring-Attention计算全局LSE和Attention-Out,假设切分为4个子序列(Ulysses world_size=2, Ring-Attention world_size=2),模型head=4,那么:



在Ulysses all-to-all 通讯后,GPU0,1作为同一个Ulysses组均持有序列0/3,但head不同(前半和后半)。GPU2,3同理。在Ring-Attention计算时,GPU0,2作为Ring-Attention组进行环状通讯,GPU1,3同理。


在切分之前,需要对序列进行padding,使其可以被world_size*2整除(乘以2是因为zigzag需要对子块重新组合)。


适配多模态

多模态模型的序列切分适配比较困难,主要原因有:

  1. 多模态模型的序列长度在实际forward之前无法确定。部分模型仅使用一个<image> token来代表多模态部分,在ViT对图像编码后,将该token替换为一个非常长的序列。
  2. 部分模型的输入序列包含了闭合性标签,例如<image></image>,在替换为实际图像编码前不能切分,否则会直接抛错。


一般多模态LLM均包含内外两层模型,外层模型包含了ViT处理过程和lm_head计算逻辑,内层模型计算decode_layers,我们称其为backbone。


为了适配多模态切分,SWIFT在实现过程中,采用了一个工程上的trick:切分不发生在数据准备过程(data_collator)中,而发生在backbone的forward hook中。因为在进入backbone时,ViT部分的多模态编码已经和纯文本部分融合完成,此时拿到的embedding是准确长度的。并且,在backbone的hook中进行切分对纯文本模型也是适配的。同时这种方式使得框架不需要保存额外的模型代码,避免了原始模型代码更新时造成的维护成本增大问题。


适配padding_free

padding_free可以理解输入格式为flash-attention的形式:多个sequence拼接为一个超长序列。



这种方式给实际的工程实现带来了麻烦。因此在实现中,SWIFT采用了如下的工程方案:


  1. 针对原始padding_free输入进行拆解,对每个sequence再单独进行padding(被world_size*2整除)和单独拆分。
  2. 在计算attention之前,根据padding位置,将QV的padding置为0,对K的padding置为极小值,防止padding对attention计算产生不良影响。
  3. 由于GRPO、DPO最终的loss计算需要完整序列,因此在padding_free中,如果先进行logits进行gather会增大通讯量,后进行gather会导致loss计算异常,因此需要完全重写各个训练的loss计算逻辑。
  4. 由于通讯序号大于rank时Q只有一半,因此在反向梯度更新时需要还原为完整长度,因此需要针对每个sequence的grad单独padding,并且LSE需要padding为极小值。


反向传播

根据上面的公式推导,LSE和Attention-Out进行块状更新的反向传播需要依次进行,并且需要一些前向的信息,如块LSE、块Attention-Out等,这些信息在前向的flash_attn_forward中虽然可以拿到,但保存在ctx中可能占用额外显存,因此选择了在后向时重新计算一次flash_attn_forward的方案,再根据中间结果计算lse_grad,以及后续对QKV进行实际的backward。


04显存优化结果

我们使用了一个3B模型,在8*A100显卡上测试显存优化效果:

NPROC_PER_NODE=8 \
swift sft \
    --model Qwen/Qwen2.5-3B-Instruct \
    --dataset 'test.jsonl' \ # 9000 tokens per sequence
    --train_type lora \
    --torch_dtype bfloat16 \
    --per_device_train_batch_size 4 \
    --target_modules all-linear \
    --gradient_accumulation_steps 8 \
    --save_total_limit 2 \
    --save_only_model true \
    --save_steps 50 \
    --max_length 65536 \
    --warmup_ratio 0.05 \
    --attn_impl flash_attn \
    --sequence_parallel_size 8 \
    --logging_steps 1 \
    --use_logits_to_keep false \
    --padding_free true

如文章开头所示,在切分为8片时,训练显存占用从将近80GiB下降到不到20GiB,达到了普通商业级显卡即可训练的效果。

05展望

本篇讲解了在SWIFT框架中,实现Ulysses + Ring-Attention的融合训练能力。目前我们对于这方面的进一步优化,也还在继续探索中,例如:

  1. 在backward中,重新计算flash_attention_forward,是否是能达到最佳速度的实现?
  2. P2P的通讯量和异步执行方向,仍然有继续优化的可能。


对此有兴趣的开发者可以提出宝贵的意见,帮助SWIFT共同改进长序列场景下的大模型训练能力。


引用:1、 https:// docs.nvidia.com/megatro n-core/developer-guide/latest/api-guide/context_parallel.html2、 https:// arxiv.org/abs/2309.1450 93、 https:// arxiv.org/abs/2311.0943 14、 https:// github.com/deepspeedai/ DeepSpeed5、 https:// github.com/zhuzilin/rin g-flash-attention
目录
相关文章
|
2月前
|
安全 Java Android开发
深度解析 Android 崩溃捕获原理及从崩溃到归因的闭环实践
崩溃堆栈全是 a.b.c?Native 错误查不到行号?本文详解 Android 崩溃采集全链路原理,教你如何把“天书”变“说明书”。RUM SDK 已支持一键接入。
1006 248
|
2月前
|
SQL 数据采集 人工智能
评估工程正成为下一轮 Agent 演进的重点
面向 RL 和在数据层(SQL 或 SPL 环境)中直接调用大模型的自动化评估实践。
1182 229
|
存储 人工智能 监控
从代码生成到自主决策:打造一个Coding驱动的“自我编程”Agent
本文介绍了一种基于LLM的“自我编程”Agent系统,通过代码驱动实现复杂逻辑。该Agent以Python为执行引擎,结合Py4j实现Java与Python交互,支持多工具调用、记忆分层与上下文工程,具备感知、认知、表达、自我评估等能力模块,目标是打造可进化的“1.5线”智能助手。
1595 62
|
2月前
|
数据采集 人工智能 自然语言处理
Meta SAM3开源:让图像分割,听懂你的话
Meta发布并开源SAM 3,首个支持文本或视觉提示的统一图像视频分割模型,可精准分割“红色条纹伞”等开放词汇概念,覆盖400万独特概念,性能达人类水平75%–80%,推动视觉分割新突破。
1470 59
Meta SAM3开源:让图像分割,听懂你的话
|
3月前
|
监控 JavaScript 编译器
从“天书”到源码:HarmonyOS NEXT 崩溃堆栈解析实战指南
本文详解如何利用 hiAppEvent 监控并获取 sourcemap、debug so 等核心产物,剖析了 hstack 工具如何将混淆的 Native 与 ArkTS 堆栈还原为源码,助力开发者掌握异常分析方法,提升应用稳定性。
553 58
|
4月前
|
存储 人工智能 运维
AI 网关代理 RAG 检索:Dify 轻松对接外部知识库的新实践
Higress AI 网关通过提供关键桥梁作用,支持 Dify 应用便捷对接业界成熟的 RAG 引擎。通过 AI 网关将 Dify 的高效编排能力与专业 RAG 引擎的检索效能结合,企业可在保留现有 Dify 应用资产的同时,有效规避其内置 RAG 的局限,显著提升知识驱动型 AI 应用的生产环境表现。
2698 110
|
3月前
|
人工智能 IDE Java
AI Coding实践:CodeFuse + prompt 从系分到代码
在蚂蚁国际信贷业务系统建设过程中,技术团队始终面临双重考验:一方面需应对日益加速的需求迭代周期,满足严苛的代码质量规范与金融安全合规要求;另一方面,跨地域研发团队的协同效率与代码标准统一性,在传统开发模式下逐渐显现瓶颈。为突破效率制约、提升交付质量,我们积极探索人工智能辅助代码生成技术(AI Coding)的应用实践。本文基于蚂蚁国际信贷技术团队近期的实际项目经验,梳理AI辅助开发在金融级系统快速迭代场景中的实施要点并分享阶段性实践心得。
855 25
AI Coding实践:CodeFuse + prompt 从系分到代码