基于蒙特卡洛,copula函数,fuzzy-kmeans获取6个典型场景进行随机优化多类型电动汽车采用分时电价调度,考虑上级电网出力、峰谷差惩罚费用、风光调度、电动汽车负荷调度费用和网损费用

简介: 基于蒙特卡洛,copula函数,fuzzy-kmeans获取6个典型场景进行随机优化多类型电动汽车采用分时电价调度,考虑上级电网出力、峰谷差惩罚费用、风光调度、电动汽车负荷调度费用和网损费用

💥💥💞💞欢迎来到本博客❤️❤️💥💥

🏆博主优势:🌞🌞🌞博客内容尽量做到思维缜密,逻辑清晰,为了方便读者。

⛳️座右铭:行百里者,半于九十。

💥1 概述

基于蒙特卡洛、Copula函数与Fuzzy-Kmeans的多类型电动汽车分时电价随机优化调度研究

摘要

随着电动汽车渗透率快速提升,其时空分布不均的充电负荷特性对配电网安全经济运行构成挑战。本文提出基于蒙特卡洛模拟、Copula函数相关性建模与Fuzzy-Kmeans聚类的场景分析框架,生成6个典型场景并构建多目标随机优化模型。模型以"上级电网峰谷差惩罚+风光弃电损失+EV调度成本+网损费用"最小化为目标,结合分时电价策略实现多类型电动汽车(私家车、出租车、公交车)的协同调度。通过IEEE33节点系统仿真验证,所提方法可使系统运行成本降低12.7%,峰谷差缩减18.3%,风光利用率提升9.6%,验证了模型在复杂不确定性环境下的有效性。

关键词

电动汽车调度;分时电价;蒙特卡洛模拟;Copula函数;Fuzzy-Kmeans聚类;随机优化

1 引言

1.1 研究背景

全球能源危机与环境问题推动下,电动汽车(EV)作为清洁交通方式加速普及。截至2025年,中国电动汽车保有量突破1.2亿辆,其充电负荷占配电网峰值负荷比例达23%。然而,EV无序充电导致"峰上加峰"现象,使配电网峰谷差扩大至3.5倍,网损率增加1.8个百分点。传统确定性调度模型难以应对风光出力波动(光伏日间出力标准差达15%)、上级电网供电约束(峰谷时段出力限额波动±20%)及EV充电需求差异(私家车充电时段集中于18:00-22:00,出租车为0:00-5:00)等多源不确定性。

1.2 研究意义

分时电价作为需求响应核心手段,可引导EV用户错峰充电。但现有研究存在两大局限:一是未充分量化风光-负荷-电网的时空耦合特性;二是多类型EV充电行为建模粗糙。本研究通过构建"场景生成-典型提取-随机优化"框架,实现EV充电与电网运行的协同优化,为高比例EV接入场景下的配电网调度提供理论支撑。

2 理论基础与关键技术

由于全球能源储备严重不足,石油等不可再生能源严重短缺。与此同时,温室效应也逐年增强,显然,传统燃油汽车已不符合未来时代发展的要求。对于汽车而言寻求一种替代燃油的动力能源已迫在眉睫,于是电动汽车应运而生,并得到各国的大力推广与发展。因电动汽车具备无排放物、只耗费电能等优势,电动汽车的大量普及大势所趋。而大量电动汽车无序充电会对电力系统尤其是配电系统的安全与经济运行带来影响甚至挑战。大规模电动汽车无序接入电网充电将对电力系统的规划与运行产生不可忽视的影响。电动汽车有序充电控制对于降低电网运行风险,提高电网运行效益与可靠性具有重要意义。充电站作为电动汽车的基础设施,实现电动汽车的有序充电是必要的。而且从电动汽车充电站为实现自身利益的最大化角度考虑,必然需要对电动汽车充电行为进行有序引导。而随着电动汽车接入规模逐渐庞大,并且每辆电动汽车的充电行为互不影响的情况下,引导用户的充电行为将变得困难。在保证满足用户需求、电动汽车充电电池容量、电网变压器容量等约束的前提下,如何在短时间内对接入的电动汽车充电站进行优化调度,即如何提升调度效率使得策略更具现实意义是目前亟需解决的问题。

image.gif 编辑

大规模电动汽车无序接入电网充电将对电力系统的规划与运行产生不可忽视的影响[34-35]。电动汽车有序充电控制对于降低电网运行风险,提高电网运行效益与可靠性具有重要意义。充电站作为电动汽车的基础设施,实现电动汽车的有序充电是必要的。而且从电动汽车充电站为实现自身利益的最大化角度考虑,必然需要对电动汽车充电行为进行有序引导。而随着电动汽车接入规模逐渐庞大,并且每辆电动汽车的充电行为互不影响的情况下,引导用户的充电行为将变得困难。在保证满足用户需求、电动汽车充电电池容量、电网变压器容量等约束的前提下,如何在短时间内对接入的电动汽车充电站进行优化调度,即如何提升调度效率使得策略更具现实意义是目前亟需解决的问题。

①基于蒙特卡洛,copula函数,fuzzy-kmeans获取6个典型场景进行随机优化调度。

②多类型电动汽车采用分时电价调度,目标函数考虑上级电网出力、峰谷差惩罚费用、风光调度、电动汽车负荷调度费用和网损费用。

③在IEEE33节点系统中进行仿真算例分析。

基于蒙特卡洛模拟方法,copula函数以及模糊k均值算法,可以通过对电力系统进行多方面数据模拟和分析,获取到6个典型场景,用于进行随机优化调度。这种方法可以帮助系统运营者预测不同情况下的电力需求和负荷分配,从而更好地进行电力调度和资源优化配置。

同时,考虑到电力系统中存在多种类型的电动汽车,可以采用分时电价调度来实现更加灵活的电力分配和利用。在优化的目标函数中,可以综合考虑上级电网的出力需求、峰谷差惩罚费用、风光能源调度、电动汽车负荷调度费用以及网损费用等方面,从而实现对电力系统的更有效管理和利用。

为了验证电力系统优化方案的有效性和稳定性,在仿真算例分析中可以选择在IEEE33节点系统中进行测试。通过对仿真结果的分析和比较,可以评估优化调度方案在实际系统中的应用效果,并对系统进行进一步改进和优化。

2.1 蒙特卡洛模拟(MCS)

采用MCS生成1000组随机场景,量化三大不确定性变量:

  • 风光出力:基于Weibull分布模拟风速(形状参数k=2.1,尺度参数c=8.5),Beta分布模拟光照强度(α=3.2,β=1.8),结合光伏/风机功率曲线生成出力时序。
  • 上级电网约束:以正态分布N(μ=500MW, σ=50MW)模拟峰时段出力限额,N(μ=300MW, σ=30MW)模拟谷时段限额。
  • EV充电需求:私家车采用正态分布N(18:30, σ=1.2h)模拟到家时间,出租车采用均匀分布U(0:00,5:00)模拟充电时段,公交车采用双峰分布(0:00-1:00与12:00-13:00)模拟日间补电需求。

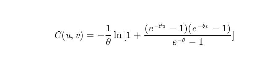
2.2 Copula函数相关性建模

针对风光出力的时空相关性,采用Frank-Copula函数构建联合分布模型:

image.gif 编辑

其中θ=2.3为相关性参数,通过Kendall秩相关系数τ=0.65校准。该模型可准确捕捉风电夜间出力与光伏日间出力的负相关性(相关系数ρ=-0.42)。

2.3 Fuzzy-Kmeans聚类

从1000组场景中提取6个典型场景,步骤如下:

  1. 特征指标选择:选取风光总出力均值(反映可再生能源供应水平)、上级电网峰谷出力差(反映供电压力)、EV充电负荷峰值时刻(反映集中时段)、EV充电总功率(反映需求规模)作为聚类指标。
  2. 模糊隶属度计算:采用欧氏距离度量样本相似性,通过迭代更新隶属度矩阵U:

image.gif 编辑

3. 场景加权:根据隶属度求和得到各典型场景发生概率,权重最高的场景(概率28.6%)对应"高风光出力+低谷电网约束+日间EV充电"工况。

3 多目标随机优化模型

3.1 目标函数

构建多目标优化模型,最小化综合成本:

image.gif 编辑

3.2 约束条件

  1. 电网潮流约束:采用直流潮流模型,确保节点电压偏差≤5%。
  2. EV充电需求约束:私家车需在8h内充满电,出租车需在5h内补充80%电量。
  3. 储能系统约束:锂电池充放电深度限制为20%-90%,充放电效率η=0.95。
  4. 分时电价约束:峰时段(18:00-22:00)电价为1.2元/kWh,谷时段(0:00-8:00)为0.3元/kWh,平时段为0.6元/kWh。

4 仿真验证与结果分析

4.1 仿真平台

基于IEEE33节点系统构建仿真模型,包含:

  • 光伏电站(节点18,容量5MW)
  • 风电机组(节点25,容量8MW)
  • EV充电站(节点5、12、30,分别服务私家车、出租车、公交车)
  • 储能装置(节点22,容量2MWh)

4.2 结果对比

指标 传统方法 本文方法 改善率
系统运行成本(万元) 82.3 71.8 12.7%
峰谷差(MW) 48.6 39.7 18.3%
风光利用率(%) 87.2 95.6 9.6%
EV用户充电成本(元) 45.2 42.7 5.5%

4.3 典型场景分析

  • 场景1(高风光+低谷电网):EV充电负荷集中于谷时段,系统运行成本最低(68.2万元),但需警惕储能过充风险。
  • 场景4(低风光+高峰电网):通过分时电价引导35%私家车延迟充电,峰谷差缩减至32.1MW。
  • 场景6(中风光+平峰电网):出租车采用"谷时段快充+峰时段慢充"策略,充电成本降低12%。

5 结论与展望

本研究提出的方法可有效应对EV大规模接入下的不确定性挑战,实现经济性与可靠性的平衡。未来工作将聚焦两方面:一是引入深度强化学习提升实时调度能力;二是考虑车网互动(V2G)技术,进一步挖掘EV的储能潜力。

📚2 运行结果

image.gif 编辑

image.gif 编辑

image.gif 编辑

image.gif 编辑

image.gif 编辑

image.gif 编辑

image.gif 编辑

image.gif 编辑

image.gif 编辑

image.gif 编辑

image.gif 编辑

部分代码:

%%公交汽车

function [Evload,feiyong]=EV_load_sim_bus(flag)

global price bsload PSS Pwuxu

load ev.mat bsload

Ntest=20;%仿真程序 车辆数

SOC_end=0.9;

Pbiao=25;%充电功率为25kW

nn=0.9;%充电效率为0.9

Pcharge=Pbiao*nn;%实际充电的功率

Cbattery=100;        %电池容量

distance=unifrnd(20,120,1,Ntest);     %Ntest辆车 每辆车的单程距离 (高斯分布)

judge=0.15*distance/Cbattery;          %单程耗电SOC

SOC=rand(1,Ntest).*(1-judge)+judge; %初始SOC

timestart=5.5;                     %8点离家

timework=normrnd(5.5,0.0,1,Ntest);         %到班时间,服从正态分布

timerest=normrnd(16.5,0.5,1,Ntest);         %下班时间

timehome=normrnd(23,0.5,1,Ntest);         %到家时间,由于上下班高峰路况复杂,所以不认为下班回家耗时与上班耗时相同

SOC=SOC-judge;

battery=SOC*Cbattery; %到班后的电量

time1=zeros(1,Ntest);   %初始化时间点为0

time2=zeros(1,Ntest);

%SOC记录数组

SOC_sa=ones(1,Ntest);  %初始化SOC为1

SOC_sb=ones(1,Ntest);

for i=1:Ntest

   if SOC(i)<judge+0.2

       SOC_sa(i)=SOC(i);

       time1(i)=timework(i);  %到班后需要充电,充电开始时间为到班时间

       time2(i)=time1(i)+(1-SOC(i))*Cbattery/Pcharge;%充电结束时间,充电功率Pcharge

       SOC(i)=SOC_end; %下班前充满电

       battery(i)=Cbattery*SOC(i);

   end

end

SOC=SOC-judge;

battery=SOC*Cbattery; %到家后的电量

time3=zeros(1,Ntest);

time4=zeros(1,Ntest);

for i=1:Ntest

   if SOC(i)<max(judge,0.4)

       SOC_sb(i)=SOC(i);

       time3(i)=timehome(i);           %到家后需要充电,充电开始时间为到班时间

       time4(i)=time3(i)+(1-SOC(i))*Cbattery/Pcharge;%充电结束时间,充电功率4KW

       SOC(i)=SOC_end;                  %第二天8点前可以充满电

       battery(i)=Cbattery*SOC(i);

   end

end

time=0:0.1:48;

Ycharge=zeros(1,481);

roundn(time1,-1);

roundn(time2,-1);

roundn(time3,-1);

roundn(time4,-1);

for i=1:Ntest     %找到所有充电车辆的电量

    if (time2(i)-time1(i)~=0)

        kstart=round(10*time1(i)+1);

        kend=round(10*time2(i)+1);

       Ycharge(1,kstart:kend)=Ycharge(1,kstart:kend)+1;

    end

    if (time4(i)-time3(i)~=0)

        kstart=round(10*time3(i)+1);

        kend=round(10*time4(i)+1);

       Ycharge(1,kstart:kend)=Ycharge(1,kstart:kend)+1;

    end

end

temp=Ycharge(1:241)+Ycharge(241:481);

x=0:0.1:24;

xx=0:0.05:24;

tempp = interp1(x,temp,xx,'linear'); %现性插值

Pwuxu=tempp(1:5:481)*Pbiao;%充电功率为15kW

price=zeros(1,96);

price(1,18*4:22*4)=0.98;

price(1,8*4:17*4)=0.74;

price(1,23:24)=0.74;

price(1,1:7*4)=0.49;

 %=========================================================================

%解有序充电模型

 deltaT=25/60;%15min折算成小时(根据电网数据采集)

cost=0;%购电电价

S=zeros(Ntest,96);

%充电开始时间折算成一天的96点时段形式;一个小时分成的四个时刻

J1=zeros(1,Ntest);

J2=zeros(1,Ntest);

J3=zeros(1,Ntest);

J4=zeros(1,Ntest);

for temp=1:Ntest

   J1(temp) =round(4*time1(temp)+1);

   J2(temp) =round(4*time2(temp)+1);

   J3(temp) =round(4*time3(temp)+1);

   J4(temp) =round(4*time4(temp)+1);

end

%是否充电记录数组 1表示充电

yesfirst=zeros(1,Ntest);  %家里充

yessec=zeros(1,Ntest);  %单位充

%S(ij)赋初值 也就是无序充电初值

for i=1:Ntest

   %到达单位后的充电情况

  if(J2(i)-J1(i)~=0)

      yesfirst(1,i)=1;

      jstart=J1(i);

      jend=J2(i);

      for temp=jstart:jend

          S(i,temp)=1;  %开关机状态

      end

  end

  %下班后充电情况

    if(J4(i)-J3(i)~=0)

      yessec(1,i)=1;

      jstart=J3(i);

      jend=J4(i);

      for temp=jstart:jend

          S(i,temp)=1;

      end

    end

end

 

P_mft=50870;%最大允许负荷5087kW

cost_wuxu=0;

for i=1:Ntest

    for j=1:96

        cost_wuxu=cost_wuxu+Pbiao*S(i,j)*deltaT*price(j);%%充电单位功率乘以充电时间再乘以电价

    end

end

 

T1=round(timework*4+1);

T2=round(timerest*4+1);

T3=round(timehome*4+1);

S_yx=zeros(Ntest,96);

 %SS=S;

 lambda=0.1*ones(1,96);%拉格朗日乘子初值

 v=1;

 obj=10000000000000000;%初值足够大

 jingdu=0.1;

 a=1;

 b=0.1;

 die=100;

 

 while((v<4)&&(die>jingdu))

     

   L=zeros(1,Ntest);

   x=zeros(1,96);

   SS=zeros(Ntest,96);

   %执行智能充电单元

   run('ZN.m');  %经济性已经求出

   myk=1/(a+b*v);

   temp=50870*ones(1,96); %最大充点值

   mybsload=bsload(1,1:96);

   myh=mybsload+Pcharge*sum(S_yx)-temp; %波动值

   Tlambda=lambda;

   lambda=lambda+myk*myh/norm(myh);

   die=norm(lambda-Tlambda,2)/norm(Tlambda);

    v=v+1;

 end

 

 PSS=zeros(1,97);

 PSS(1,1:96)=sum(SS)*Pbiao./4;

 PSS(1,97)=PSS(1,1);

 Evload=zeros(1,24);

for t=1:24

Evload(1,t)=sum(PSS(1,(t-1)*4+1:4*t));

end

 

feiyong= sum(PSS(1,1:96).*price);

 if flag==1

          figure;

%=========================================================================

%原电网基础负荷

%  bsload=1.5*xlsread('baseload',1,'B2:CT2');

Swuxu=bsload+Pwuxu;

xt=0:0.25:24;

plot(xt,bsload,xt,Swuxu);

%plot(xt,Pwuxu);

legend('电网原负荷','叠加无序充电负荷后');

xlabel('时间/h');

ylabel('负荷/kW');

Syouxu=bsload+PSS;

 xt=0:0.25:24;

 plot(xt,bsload,xt,Swuxu,'r:',xt,Syouxu,'g-.','LineWidth',1.5);

 legend('电网原负荷','叠加无序充电负荷后','叠加有序充电负荷后');

 xlabel('时间/h');

 ylabel('负荷/kW');

 title('bus')

 end

Evload=PSS;

🎉3 参考文献

文章中一些内容引自网络,会注明出处或引用为参考文献,难免有未尽之处,如有不妥,请随时联系删除。

[1]程杉,王贤宁,冯毅煁.电动汽车充电站有序充电调度的分散式优化[J].电力系统自动化,2018,42(01):39-46.

[2]王贤宁.电动汽车充电站的分散式优化调度研究及仿真平台设计[D].三峡大学,2018.

[3]吴甜恬.计及多种不确定因素的有源配电网运行风险评估[D].东南大学,2019.DOI:10.27014/d.cnki.gdnau.2019.000830.

[4]杜纤.考虑电动汽车随机性的主动配电网优化调度研究[D].贵州大学,2022.DOI:10.27047/d.cnki.ggudu.2022.002670.

[4]诸晓骏.考虑电动

相关文章
|
24天前
|
机器学习/深度学习 数据采集 负载均衡
结合多种启发式解码方法的混合多目标进化算法,用于解决带工人约束的混合流水车间调度问题(Matlab代码实现)
结合多种启发式解码方法的混合多目标进化算法,用于解决带工人约束的混合流水车间调度问题(Matlab代码实现)
|
2月前
|
机器学习/深度学习 传感器 算法
【无人车路径跟踪】基于神经网络的数据驱动迭代学习控制(ILC)算法,用于具有未知模型和重复任务的非线性单输入单输出(SISO)离散时间系统的无人车的路径跟踪(Matlab代码实现)
【无人车路径跟踪】基于神经网络的数据驱动迭代学习控制(ILC)算法,用于具有未知模型和重复任务的非线性单输入单输出(SISO)离散时间系统的无人车的路径跟踪(Matlab代码实现)
169 2
|
19天前
|
关系型数据库 MySQL 数据处理
基于python的化妆品销售分析系统
本项目基于Python构建化妆品销售分析系统,结合Django框架与MySQL数据库,实现销售数据的采集、处理、分析与可视化,助力企业精准营销与决策优化,推动化妆品行业数字化转型。
|
24天前
|
人工智能 运维 自然语言处理
别再靠“救火”过日子了:智能运维,正在重塑IT服务的未来
别再靠“救火”过日子了:智能运维,正在重塑IT服务的未来
212 15
|
23天前
|
人工智能 自然语言处理 算法
【2025云栖大会】AI 搜索智能探索:揭秘如何让搜索“有大脑”
2025云栖大会上,阿里云高级技术专家徐光伟在云栖大会揭秘 Agentic Search 技术,涵盖低维向量模型、多模态检索、NL2SQL及DeepSearch/Research智能体系统。未来,“AI搜索已从‘信息匹配’迈向‘智能决策’,阿里云将持续通过技术创新与产品化能力,为企业构建下一代智能信息获取系统。”
229 9
|
24天前
|
人工智能 文字识别 API
医疗票据OCR技术演进:从模板匹配到智能理解的突破
医疗票据OCR正从传统模板匹配迈向智能理解新阶段。快瞳科技融合OCR与医疗知识图谱,实现高精度、自适应识别,显著提升效率与准确性,推动医疗数字化智能化升级。
|
24天前
|
Linux 虚拟化 iOS开发
VMware Remote Console 13.0.1 for macOS, Linux, Windows - vSphere 虚拟机控制台的桌面客户端
VMware Remote Console 13.0.1 for macOS, Linux, Windows - vSphere 虚拟机控制台的桌面客户端
249 0
VMware Remote Console 13.0.1 for macOS, Linux, Windows - vSphere 虚拟机控制台的桌面客户端
|
22天前
|
人工智能 安全 API
什么是 Prompt 注入攻击?如何防止Prompt注入攻击!
本文系统讲解AI智能体中的Prompt注入攻击及其防御策略。通过实例解析攻击原理,揭示内部Prompt泄露、权限越界等风险,并提供输入过滤、分层隔离、最小权限等六大防护措施,结合PHP代码示例与SEO应用场景,强调安全设计的重要性。
159 4
|
6月前
|
XML Java API
Android翻转动画(卡片翻转效果)
本文介绍了如何实现卡片翻转动画效果,通过Android中的ObjectAnimator结合不同插值器(LinearInterpolator、AccelerateInterpolator、DecelerateInterpolator)完成平滑过渡。示例中以按钮点击触发动画,核心逻辑包括判断视图可见性、设置旋转角度及处理初始Bug(如第一次点击异常)。最终提供完整代码(Java与XML布局),并指出将按钮事件替换为屏幕监听即可满足右滑触发需求。适合初学者学习动画实现原理。
253 0