PINN训练新思路:把初始条件和边界约束嵌入网络架构,解决多目标优化难题

本文涉及的产品
智能开放搜索 OpenSearch行业算法版,1GB 20LCU 1个月
实时计算 Flink 版,1000CU*H 3个月
实时数仓Hologres,5000CU*H 100GB 3个月
简介: PINNs训练难因多目标优化易失衡。通过设计硬约束网络架构,将初始与边界条件内嵌于模型输出,可自动满足约束,仅需优化方程残差,简化训练过程,提升稳定性与精度,适用于气候、生物医学等高要求仿真场景。

PINNs出了名的难训练。主要原因之一就是这个多目标优化问题。优化器很容易找到投机取巧的路径——比如拼命降低微分方程残差,但完全不管初始条件和边界约束。只要给初始条件和边界损失配的权重够低,它们增加的那点损失完全能被残差损失的大幅下降抵消掉。调整权重也许能暂时缓解这个问题,但谁也不能保证最优权重在整个训练过程中一直有效。

标准的PINN用复合损失函数,把三项加权求和:

  • 初始条件损失
  • 边界损失
  • 微分方程残差损失

要让解有用,必须让所有损失项同时降下来。用复合损失训练PINN的时候,优化器面对多个目标,有什么办法让优化器的工作简单点呢?

硬约束

要简化训练,最好能把复合损失换成单一项。所以如果能设计一种神经网络架构,让它自动满足初始和边界条件那么事情就会简单很多了。初始条件和边界条件直接"钉"在网络结构里,所以叫"硬约束"。相比之下,原始PINN把初始和边界条件放在损失函数里,那些约束是"软"的——不保证精确满足。

下面看看怎么把这些约束具体嵌入网络架构。

强制初始条件

初始条件一般是空间域上的一系列离散测量点。比如1D + t(一个空间维度加时间)的情况,初始条件就是沿x轴的一串值:(0 m, 100°C), (0.01 m, 105°C), (0.02 m, 106°C), … (0.3 m, 31°C),诸如此类。

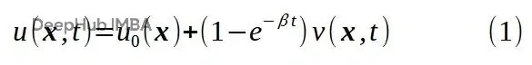
假设能用函数u₀(x)在整个空间域上插值。对1D + t的例子,如果x在样本点上,u₀(x)返回观测值;否则返回平滑插值,x ∈ [0 m, 0.3 m]。三次样条很适合干这活。现在把初始条件的插值函数u₀(x)整合进PINN架构的输出:

方程(1)给出了一种强制u(x, 0) = u₀(x)的方式。β是常数或者可训练的时间衰减参数,决定了从初始状态到热扩散状态的过渡期长短。任意函数v(x, t)是神经网络的输出,不过还有点额外的处理。

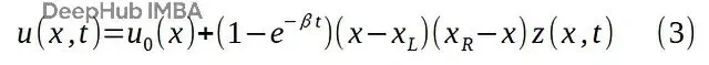
强制边界条件

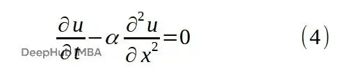
如果方程(1)里的函数v(x, t)在边界上取零值,再加上u₀(x)满足Dirichlet边界条件的假设,那么u(xᵇ, t) = u₀(xᵇ),这里xᵇ是边界上的点。

Ω(x)是个平滑函数,边界处输出零,空间域内部输出非零有限值。可以想象成平面上的肥皂泡。

文献[1]把Ω(x)叫做approximate distance function(近似距离函数),因为它的行为类似于输出到最近边界距离的函数。我觉得叫boundary bubble function(边界泡泡函数)更形象点。

对1D + t情况,Ω(x)可以取抛物线形式,在空间边界x_L和x_R处为零:

z(x, t)是任意函数的输出。这里用神经网络。

输出u(x, t)不是直接从可训练网络z(x, t)出来的,还能用梯度下降优化网络参数吗?

能。方程(3)里涉及的其他函数(u₀(x)、时间衰减函数、边界泡泡函数Ω(x))对x和t都可导。深度学习框架反向传播损失张量的时候会把它们的梯度算进去。所以初始条件插值、时间衰减、边界泡泡函数的具体形式其实不太关键,神经网络会自己适应。

用方程(3)作为PINN输出的过滤器,就可以开始求解偏微分方程(PDE)了。

实验

考虑一个薄金属棒,初始温度分布已知,来自一系列测量值。

初始条件,一系列温度测量点定义。图片由作者提供。

描述温度随时间演化的PDE是1D热扩散方程:

这个问题的解析解是知道的,所以能拿PINN的结果跟解析解对比。

PINN架构核心是个三层ResNet,每层宽度32。

初始条件用三次样条插值,边界泡泡函数用抛物线:

class HardConstrained1dResNet(torch.nn.Module):
    def __init__(self, number_of_blocks, block_width, number_of_outputs,
                 initial_profile, time_bubble_beta=2.0):
        super().__init__()
        self.bubble = Bubble()
        self.z_predictor = pinn1d.ResidualNet(
            number_of_inputs=2,
            number_of_blocks=number_of_blocks,
            block_width=block_width,
            number_of_outputs=number_of_outputs
        )
        self.initial_profile = initial_profile
        delta_x = 1.0/(len(self.initial_profile) - 1)
        xs = np.arange(0, 1 + delta_x/2, delta_x)
        xy_list = []
        for x_ndx in range(len(xs)):
            x = xs[x_ndx]
            xy_list.append((x, self.initial_profile[x_ndx]))
        self.initial_profile_interpolator = interpolation1d.CubicSpline(
            xy_list, boundary_condition='2nd_derivative_0'
        )

        self.time_bubble_beta = torch.nn.Parameter(torch.tensor([time_bubble_beta]))

    def forward(self, x_t):  # x_t.shape = (B, 2)
        x_tsr = x_t[:, 0].unsqueeze(1)  # (B, 1)
        t_tsr = x_t[:, 1].unsqueeze(1)  # (B, 1)
        bubble_t_tsr = self.time_bubble(t_tsr)  # (B, 1)
        bubble_x_tsr = self.bubble(x_tsr)  # (B, 1)
        z_tsr = self.z_predictor(x_t)  # (B, 1)
        initial_interpolation_tsr = self.initial_profile_interpolator.batch_evaluate(x_tsr)
        return initial_interpolation_tsr + bubble_t_tsr * bubble_x_tsr * z_tsr

    def time_bubble(self, t_tsr):  # t_tsr.shape = (B, 1)
        return 1 - torch.exp(-self.time_bubble_beta * t_tsr)  # (B, 1)

训练程序train.py里,损失函数只有一项——微分方程残差损失。初始条件和边界损失架构设计就保证了,不用放到损失函数里:

 (...)
  # Differential equation residual loss
  diff_eqn_residual_x_t_tsr.detach_()
  diff_eqn_residual_x_t_tsr.requires_grad = True
  du_dx__du_dt = first_derivative(neural_net, diff_eqn_residual_x_t_tsr)
  du_dt = du_dx__du_dt[:, 1]  # (N_res)

  d2u_dx2__d2u_dxdt = second_derivative(neural_net, diff_eqn_residual_x_t_tsr, 0)  # (N_res, 2)
  d2u_dx2 = d2u_dx2__d2u_dxdt[:, 0]  # (N_res)
  diff_eqn_residual = 1.0/duration * du_dt - alpha/length**2 * d2u_dx2  # (N_res)
  diff_eqn_residual_loss = criterion(diff_eqn_residual, torch.zeros_like(diff_eqn_residual))

  loss = diff_eqn_residual_loss
  is_champion = False
  (...)

下图是典型训练过程的损失变化:

动画1对比了10秒模拟期间的近似解和解析解:

PINN预测与解析解的比较。图片由作者提供。

符合预期,t=0时的预测就是初始条件的插值,x=0 m和x=0.3 m处的温度值精确等于设定的边界温度(Dirichlet边界条件)。

总结

多目标优化给PINN训练带来的困难是实实在在的。设计上做点简单修改,让网络输出在t=0时自动匹配初始条件插值,在边界上自动满足边界条件,就能把问题简化不少。

训练PINN解1D+t热扩散问题的结果还不错,从可视化能清楚看到PINN学会了满足PDE,同时被强制满足初始和边界条件。

这套方法对那些物理约束不能妥协的领域可能挺有价值——气候建模、生物医学仿真之类的场景。

本文的代码在这里:

https://avoid.overfit.cn/post/4b21ca89cc714512bff16ffd1af69538

参考:

[1] Exact imposition of boundary conditions with distance functions in physics-informed deep neural networks, N. Sukumar, Ankit Srivastava, https://arxiv.org/abs/2104.08426

作者:Sébastien Gilbert

目录
相关文章
|
2月前
|
机器学习/深度学习 算法 调度
14种智能算法优化BP神经网络(14种方法)实现数据预测分类研究(Matlab代码实现)
14种智能算法优化BP神经网络(14种方法)实现数据预测分类研究(Matlab代码实现)
294 0
|
27天前
|
运维 Prometheus 监控
别再“亡羊补牢”了!——聊聊如何优化企业的IT运维监控架构
别再“亡羊补牢”了!——聊聊如何优化企业的IT运维监控架构
93 8
|
1月前
|
机器学习/深度学习 算法
采用蚁群算法对BP神经网络进行优化
使用蚁群算法来优化BP神经网络的权重和偏置,克服传统BP算法容易陷入局部极小值、收敛速度慢、对初始权重敏感等问题。
232 5
|
1月前
|
缓存 运维 监控
Redis 7.0 高性能缓存架构设计与优化
🌟蒋星熠Jaxonic,技术宇宙中的星际旅人。深耕Redis 7.0高性能缓存架构,探索函数化编程、多层缓存、集群优化与分片消息系统,用代码在二进制星河中谱写极客诗篇。
|
1月前
|
机器学习/深度学习 数据采集 人工智能
深度学习实战指南:从神经网络基础到模型优化的完整攻略
🌟 蒋星熠Jaxonic,AI探索者。深耕深度学习,从神经网络到Transformer,用代码践行智能革命。分享实战经验,助你构建CV、NLP模型,共赴二进制星辰大海。
|
25天前
|
机器学习/深度学习 人工智能 算法
【基于TTNRBO优化DBN回归预测】基于瞬态三角牛顿-拉夫逊优化算法(TTNRBO)优化深度信念网络(DBN)数据回归预测研究(Matlab代码实现)
【基于TTNRBO优化DBN回归预测】基于瞬态三角牛顿-拉夫逊优化算法(TTNRBO)优化深度信念网络(DBN)数据回归预测研究(Matlab代码实现)
|
2月前
|
机器学习/深度学习 并行计算 算法
【CPOBP-NSWOA】基于豪冠猪优化BP神经网络模型的多目标鲸鱼寻优算法研究(Matlab代码实现)
【CPOBP-NSWOA】基于豪冠猪优化BP神经网络模型的多目标鲸鱼寻优算法研究(Matlab代码实现)
|
2月前
|
机器学习/深度学习 编解码 并行计算
【创新未发表!】基于BKA算法优化-BP、HO算法优化-BP、CP算法优化-BP、GOOSE算法优化-BP、NRBO算法优化-BP神经网络回归预测比较研究(Matlab代码)
【创新未发表!】基于BKA算法优化-BP、HO算法优化-BP、CP算法优化-BP、GOOSE算法优化-BP、NRBO算法优化-BP神经网络回归预测比较研究(Matlab代码)
158 0
|
2月前
|
机器学习/深度学习 数据采集 资源调度
基于长短期记忆网络定向改进预测的动态多目标进化算法(LSTM-DIP-DMOEA)求解CEC2018(DF1-DF14)研究(Matlab代码实现)
基于长短期记忆网络定向改进预测的动态多目标进化算法(LSTM-DIP-DMOEA)求解CEC2018(DF1-DF14)研究(Matlab代码实现)
|
11月前
|
SQL 安全 网络安全
网络安全与信息安全:知识分享####
【10月更文挑战第21天】 随着数字化时代的快速发展,网络安全和信息安全已成为个人和企业不可忽视的关键问题。本文将探讨网络安全漏洞、加密技术以及安全意识的重要性,并提供一些实用的建议,帮助读者提高自身的网络安全防护能力。 ####
255 17