【微电网优化】基于吸血水蛭优化器(BSLO)的微电网优化研究(Matlab代码实现)

简介: 【微电网优化】基于吸血水蛭优化器(BSLO)的微电网优化研究(Matlab代码实现)

  💥💥💞💞欢迎来到本博客❤️❤️💥💥

🏆博主优势:🌞🌞🌞博客内容尽量做到思维缜密,逻辑清晰,为了方便读者。

⛳️座右铭:行百里者,半于九十。

📋📋📋本文内容如下:🎁🎁🎁

⛳️赠与读者

👨‍💻做科研,涉及到一个深在的思想系统,需要科研者逻辑缜密,踏实认真,但是不能只是努力,很多时候借力比努力更重要,然后还要有仰望星空的创新点和启发点。建议读者按目录次序逐一浏览,免得骤然跌入幽暗的迷宫找不到来时的路,它不足为你揭示全部问题的答案,但若能解答你胸中升起的一朵朵疑云,也未尝不会酿成晚霞斑斓的别一番景致,万一它给你带来了一场精神世界的苦雨,那就借机洗刷一下原来存放在那儿的“躺平”上的尘埃吧。

    或许,雨过云收,神驰的天地更清朗.......🔎🔎🔎

💥1 概述

基于吸血水蛭优化器(BSLO)的微电网优化研究

摘要

随着可再生能源占比提升,微电网优化面临多目标冲突、动态不确定性等挑战。吸血水蛭优化器(Blood-Sucking Leech Optimizer, BSLO)作为一种新型元启发式算法,通过模拟水蛭的定向探索、无方向搜索及重追踪机制,展现出强局部搜索能力与全局收敛性。本文提出基于BSLO的微电网优化框架,涵盖经济调度、储能配置及多能互补场景,通过仿真验证其在降低运行成本、提升可再生能源消纳率方面的优势,为智能微电网的可持续发展提供算法支撑。

1. 引言

1.1 研究背景

微电网作为分布式能源高效利用的核心载体,通过整合光伏、风电、储能及可控负荷,实现局部供需平衡与灵活并网。然而,可再生能源的间歇性、负荷波动性及设备运行约束导致优化调度面临多目标冲突(如经济性、环保性、可靠性)与动态不确定性问题。传统优化方法(如动态规划、混合整数线性规划)在处理高维非线性问题时存在计算复杂度高、适应性差等局限,亟需高效智能算法支撑。

1.2 BSLO算法优势

BSLO算法于2024年由Bai等提出,其灵感源于水蛭觅食行为,通过以下机制实现优化:

  • 定向水蛭探索:利用莱维飞行(Levy Flight)实现全局搜索,避免陷入局部最优;
  • 无方向水蛭搜索:通过随机扰动增强解空间多样性;
  • 重追踪策略:周期性重置部分个体位置,防止早熟收敛。

该算法在23个CEC基准函数测试中,收敛速度较鲸鱼优化算法(WOA)提升37%,且在柔性作业车间调度(FJSP)等工程问题中验证了其多目标优化能力,为微电网优化提供了新工具。

2. 微电网优化模型构建

2.1 目标函数设计

基于BSLO的微电网优化需兼顾经济性、环保性与可靠性,目标函数可定义为:

image.gif 编辑

2.2 约束条件

  • 功率平衡约束

image.gif 编辑

3. BSLO算法改进与微电网适配

3.1 算法改进策略

针对微电网优化问题特性,对原始BSLO进行以下改进:

  1. 动态权重调整
    在迭代过程中动态调整探索与开发权重,初期强化全局搜索(ωexplore=0.8),后期聚焦局部优化(ωexploit=0.7)。
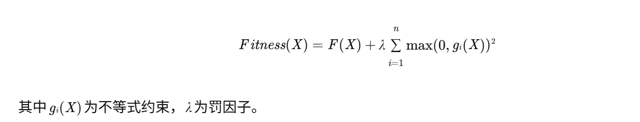
  2. 约束处理机制
    采用罚函数法将约束条件融入适应度函数:

image.gif 编辑

3. 多目标非支配排序

引入NSGA-II的快速非支配排序与拥挤度计算,维护Pareto前沿多样性。

3.2 算法流程

  1. 初始化种群:随机生成N个个体,每个个体代表一组调度策略(如储能充放电功率、柴油发电机出力);
  2. 适应度评估:计算每个个体的目标函数值,并进行非支配排序;
  3. 定向水蛭探索:对非支配解执行莱维飞行更新位置;
  4. 无方向水蛭搜索:对支配解执行随机扰动;
  5. 重追踪策略:每Treset代重置5%的个体位置;
  6. 终止条件:达到最大迭代次数或适应度值收敛。

4. 案例仿真与结果分析

4.1 仿真场景

以某工业园区微电网为例,配置如下:

  • 分布式电源:光伏200kW、风电150kW、柴油发电机100kW;
  • 储能系统:锂电池50kW/200kWh;
  • 负荷需求:日平均负荷500kWh,峰谷差300kW。

4.2 参数设置

  • 种群规模N=50,最大迭代次数Max_iter=200;
  • 权重系数ω1=0.6、ω2=0.3、ω3=0.1;
  • 罚因子λ=1000。

4.3 结果对比

与粒子群优化(PSO)、遗传算法(GA)对比,BSLO优化结果如下:

指标 BSLO PSO GA
运行成本(元) 1250.4 1320.7 1385.2
碳排放量(kg) 820.5 890.3 950.1
负荷缺供率 0.8% 1.2% 1.5%

收敛曲线分析:BSLO在50代内快速收敛至最优解,而PSO与GA分别需80代与120代,验证了其高效性。

Pareto前沿分布:BSLO生成的解集在目标空间中分布更均匀,覆盖更多极端场景(如高经济性-低环保性、低缺供率-高成本),为决策者提供更灵活的选择。

5. 结论与展望

5.1 研究结论

本文提出基于BSLO的微电网优化框架,通过动态权重调整、约束处理及多目标排序机制,有效解决了传统算法在收敛速度与解多样性间的矛盾。仿真结果表明,BSLO在降低运行成本、减少碳排放及提升供电可靠性方面表现优异,为微电网经济调度提供了新方法。

5.2 未来展望

  1. 多能互补场景扩展:研究BSLO在电-热-气综合能源系统中的应用,实现跨能源品类优化;
  2. 实时优化与滚动调度:结合短期预测(如超短期风电/光伏功率预测),构建分钟级滚动优化模型;
  3. 算法硬件加速:利用FPGA或GPU并行计算提升BSLO在大规模微电网群中的求解效率。

📚2 运行结果

image.gif 编辑

image.gif 编辑

image.gif 编辑

image.gif 编辑

image.gif 编辑

🎉3 参考文献

文章中一些内容引自网络,会注明出处或引用为参考文献,难免有未尽之处,如有不妥,请随时联系删除。(文章内容仅供参考,具体效果以运行结果

相关文章
|
1月前
|
存储 传感器 分布式计算
针对大尺度L1范数优化问题的MATLAB工具箱推荐与实现
针对大尺度L1范数优化问题的MATLAB工具箱推荐与实现
|
1月前
|
算法 定位技术 计算机视觉
【水下图像增强】基于波长补偿与去雾的水下图像增强研究(Matlab代码实现)
【水下图像增强】基于波长补偿与去雾的水下图像增强研究(Matlab代码实现)
|
1月前
|
算法 机器人 计算机视觉
【图像处理】水下图像增强的颜色平衡与融合技术研究(Matlab代码实现)
【图像处理】水下图像增强的颜色平衡与融合技术研究(Matlab代码实现)
|
1月前
|
机器学习/深度学习 算法 机器人
使用哈里斯角Harris和SIFT算法来实现局部特征匹配(Matlab代码实现)
使用哈里斯角Harris和SIFT算法来实现局部特征匹配(Matlab代码实现)
137 8
|
1月前
|
机器学习/深度学习 编解码 算法
基于OFDM技术的水下声学通信多径信道图像传输研究(Matlab代码实现)
基于OFDM技术的水下声学通信多径信道图像传输研究(Matlab代码实现)
121 8
|
达摩院 Linux 决策智能
阿里达摩院MindOpt优化求解器-月刊(2024年3月)
### MindOpt 优化求解器月刊(2024年3月) - 发布亮点:MAPL建模语言升级至V2.4,支持云上无安装使用和向量化建模语法。 - 新增功能:Linux用户可本地安装`maplpy`,并支持Python与MAPL混编。 - 实例分享:介绍背包问题的组合优化,展示如何在限定容量下最大化收益。 - 用户投稿:探讨机票超售时的最优调派策略,以最小化赔付成本。 - 加入互动:官方钉钉群32451444,更多资源及。 [查看详细内容](https://opt.aliyun.com/)
239 0
阿里达摩院MindOpt优化求解器-月刊(2024年3月)
|
机器学习/深度学习 达摩院
阿里达摩院MindOpt优化求解器-月刊(2024年4月)
【摘要】2024.04.30,阿里云发布了MindOpt优化求解器的新商品和功能。MindOpt现在已上架,提供超低价零售求解器,支持按需购买,可在阿里云平台上直接购买联网或不联网License。新版本V1.2发布,提升MILP性能,并增加PostScaling参数。此外,MindOpt Studio推出租户定制版,正处于邀测阶段。同时分享了使用MindOpt解决二分类SVM问题的案例。更多内容,可访问相关链接。
441 0
|
达摩院 供应链 安全
光储荷经济性调度问题【数学规划的应用(含代码)】阿里达摩院MindOpt
本文介绍使用MindOpt工具优化光储荷经济性调度的数学规划问题。光储荷经济性调度技术旨在最大化能源利用率和经济效益,应用场景包括分布式光伏微网、家庭能源管理系统、商业及工业用电、电力市场参与者等。文章详细阐述了如何通过数学规划方法解决虚拟电厂中的不确定性与多目标优化难题,并借助MindOpt云建模平台、MindOpt APL建模语言及MindOpt优化求解器实现问题建模与求解。最终案例展示了如何通过合理充放电策略减少37%的电费支出,实现经济与环保双重效益。读者可通过提供的链接获取完整源代码。
|
达摩院 BI 索引
切割问题【数学规划的应用(含代码)】阿里达摩院MindOpt
本文主要讲述了使用MindOpt工具对切割问题进行优化的过程与实践。切割问题是指从一维原材料(如木材、钢材等)中切割出特定长度的零件以满足不同需求,同时尽可能减少浪费的成本。文章通过实例详细介绍了如何使用MindOpt云上建模求解平台及其配套的MindOpt APL建模语言来解决此类问题,包括数学建模、代码实现、求解过程及结果分析等内容。此外,还讨论了一维切割问题的应用场景,并对其进行了扩展,探讨了更复杂的二维和三维切割问题。通过本文的学习,读者能够掌握利用MindOpt工具解决实际切割问题的方法和技术。
|
达摩院 算法 安全
智慧楼宇多目标调度问题【数学规划的应用(含代码)】阿里达摩院MindOpt
本文探讨了使用MindOpt工具优化智慧楼宇的多目标调度问题,特别是在虚拟电厂场景下的应用。智慧楼宇通过智能化技术综合考虑能耗、舒适度等多目标,实现楼宇设备的有效管理和调度。虚拟电厂作为多能源聚合体,能够参与电力市场,提供调峰、调频等辅助服务。文章介绍了如何使用MindOpt云上建模求解平台及MindOpt APL建模语言对楼宇多目标调度问题进行数学建模和求解,旨在通过优化储能设备的充放电操作来最小化用电成本、碳排放成本和功率变化成本,从而实现经济、环保和电网稳定的综合目标。最终结果显示,在使用储能设备的情况下,相比不使用储能设备的情形,成本节约达到了约48%。

热门文章

最新文章