机器人逆运动学进阶:李代数、矩阵指数与旋转流形计算

本文涉及的产品
实时计算 Flink 版,1000CU*H 3个月
智能开放搜索 OpenSearch行业算法版,1GB 20LCU 1个月
实时数仓Hologres,5000CU*H 100GB 3个月
简介: 本文深入讲解机器人逆运动学中旋转计算的核心数学工具,包括矩阵指数与对数、SO(3)李群与李代数、流形和切空间等概念,帮助理解三维旋转误差计算原理,并提供基于矩阵指数的精确旋转更新方法及代码实现。

做机器人逆运动学(IK)的时候,你迟早会遇到矩阵指数和对数这些东西。为什么呢?因为计算三维旋转的误差,不能简单地用欧氏距离那一套,那只对位置有效。旋转得用另一套方法——你需要算两个旋转矩阵之间的差异,这就涉及到矩阵对数了。

这篇文章就是要把这事儿说清楚:从旋转矩阵构成的李群开始,到流形和切空间,再到怎么用叉积算旋转矩阵的导数,如何对旋转矩阵做增量更新,最后是如何计算从一个姿态到另一个姿态需要的角速度。

SO(3):三维旋转的数学结构

机器人的姿态其实就是一个三维坐标系。这个坐标系由三个互相垂直、长度为1的向量组成,比如最简单的情况:(1,0,0)ᵀ、(0,1,0)ᵀ、(0,0,1)ᵀ。把这三个向量当作列向量排在一起,就得到了一个3×3的旋转矩阵。

虽然这个矩阵在数学上属于ℝ³ˣ³空间,但实际上能表示旋转的矩阵组合要少得多,它们形成一个特殊的群,叫做三维特殊正交群SO(3)。类似的还有二维旋转SO(2)、四维变换矩阵等等,这些都属于李群家族。

流形和切空间:几何概念

实数是一条直线,但SO(3)不是,它在ℝ³ˣ³里形成一个弯曲的流形。这个流形是连续的、可微的,你可以在上面定义距离。想在这个弯曲的表面上移动,就得沿着切线方向走,这就引出了切空间的概念。

就像函数的切线斜率由导数决定一样,我们也可以通过计算流形切线的"斜率"来得到它的导数。

计算旋转矩阵的导数

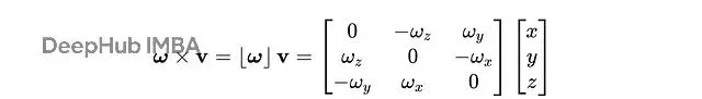
现在问题来了:一个旋转矩阵R和一个角速度向量ω,怎么算R的变化率Ṙ?

答案是这样的:

这里⎣ω⎦是ω对应的反对称矩阵:

为什么要搞成反对称矩阵?因为实际上是想算ω和R每一列的叉积。有时候你会看到这个操作写成帽子符号,都是一个意思。

所有3×3实反对称矩阵构成的空间叫做𝖘𝖔(3),这是SO(3)的李代数,也就是SO(3)在单位矩阵处的切空间。虽然它在矩阵乘法下不构成群,但它是个李代数,让我们能在非线性的SO(3)流形上做线性计算。

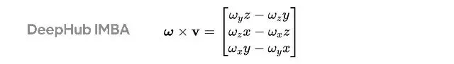
叉积的几何意义

我们来仔细看看叉积ω×v是什么意思。两个向量的叉积结果是一个同时垂直于这两个向量的新向量,长度正比于两向量夹角的正弦值。

把ω变成反对称矩阵形式,就能用矩阵乘法实现叉积运算:

对矩阵R做这个操作,就等于对R的每一列都做一次叉积。

这里有个细节要注意:这个运算可以左乘也可以右乘,取决于ω是在机体坐标系还是世界坐标系下给出的。一般我们假设ω在机体坐标系,所以⎣ω⎦右乘到R上。

把ω想象成旋转轴,|ω|是转速,这样理解叉积就直观多了。如果v指向某个点,那么ω×v就是这个点绕ω轴旋转时的速度方向。

矩阵指数:精确的旋转更新

有了上面的理解,我们再看这个微分方程:

R的每一列代表一个坐标轴,和ω做叉积得到的矩阵描述了各个轴因为旋转产生的速度。那怎么得到更新后的旋转矩阵呢?

一个朴素的想法是用欧拉积分,就是把R⎣ω⎦乘个小时间步长然后加起来。但这样做有问题:无法保证结果还是正交矩阵,也就是说可能跳出SO(3)。虽然可以每步都强制归一化,但有更精确的方法。

上面那个微分方程其实是个线性常微分方程,解是:

矩阵指数函数通过泰勒展开定义,大部分线性代数库都有实现。

看看用这个方法绕ω=(1.0,1.0,1.0)ᵀ旋转的效果:

矩阵对数:解决逆运动学问题

有时候我们需要反过来算:给定当前姿态R(0)和目标姿态R(t),需要什么旋转向量才能从一个到另一个?这就像算位置的欧氏距离一样。

对于旋转,我们把R(0)移到等式另一边,算矩阵对数,再除以时间t:

但事情还没完。真正的逆运动学问题需要算误差对关节角的导数。对于n个关节的机器人,我们要算一个3×n的雅可比矩阵:

要对R(t)关于q求导,得先过一遍对数,然后用链式法则。具体怎么做,作者说在另一篇文章里有。

代码实现

下面是生成上面动画的代码。关键是用scipy的expm函数实现矩阵指数,核心更新就是一行:

R = R @ expm(hat(omega) * dt)

 import numpy as np  
from scipy.linalg import expm  
import matplotlib.pyplot as plt  
from mpl_toolkits.mplot3d import Axes3D  
from matplotlib.animation import FuncAnimation  

def hat(omega):  
    return np.array([  
        [0,         -omega[2],  omega[1]],  
        [omega[2],   0,        -omega[0]],  
        [-omega[1],  omega[0],  0]  
    ])  

# Angular velocity vector (rad/s)  
omega = np.array([1.0, 1.0, 1.0])  

dt = 0.05  
T = 5  
N = int(T / dt)  

# Initialize rotation matrix as identity  
R = np.eye(3)  

# Store rotation matrices  
Rs = [R.copy()]  
for _ in range(N):  
    R = R @ expm(hat(omega) * dt)  
    Rs.append(R.copy())  

fig = plt.figure()  
ax = fig.add_subplot(111, projection='3d')  

# Set plot limits and labels  
ax.set_xlim([-1.5, 1.5])  
ax.set_ylim([-1.5, 1.5])  
ax.set_zlim([-1.5, 1.5])  
ax.set_xlabel('X')  
ax.set_ylabel('Y')  
ax.set_zlabel('Z')  
ax.set_title('Rotating 3D Coordinate Frame')  

# Initialize quiver objects for x, y, z axes  
quiver_x = ax.quiver(0, 0, 0, 1, 0, 0, color='r', length=1, normalize=True)  
quiver_y = ax.quiver(0, 0, 0, 0, 1, 0, color='g', length=1, normalize=True)  
quiver_z = ax.quiver(0, 0, 0, 0, 0, 1, color='b', length=1, normalize=True)  

def update(num):  
    # Remove previous quivers (if any)  
    for artist in ax.collections:  
        artist.remove()  

    R = Rs[num]  
    x_axis = R[:, 0]  
    y_axis = R[:, 1]  
    z_axis = R[:, 2]  

    ax.quiver(0, 0, 0, *x_axis, color='r', length=1, normalize=True)  
    ax.quiver(0, 0, 0, *y_axis, color='g', length=1, normalize=True)  
    ax.quiver(0, 0, 0, *z_axis, color='b', length=1, normalize=True)  

    return []  

ani = FuncAnimation(fig, update, frames=len(Rs), interval=50, blit=False)  

from matplotlib.animation import PillowWriter  
ani.save("rotation.gif", writer=PillowWriter(fps=20))  

 plt.show()

总结

本文从理论到实践全面介绍了矩阵指数在机器人逆运动学中的应用。我们从SO(3)李群和𝖘𝖔(3)李代数的数学结构出发,解释了为什么旋转计算需要特殊的数学工具。通过流形和切空间的几何概念,我们理解了旋转矩阵导数的计算方法,并学会了使用反对称矩阵实现叉积运算。矩阵指数函数提供了精确的旋转更新方法,能够保证旋转矩阵在更新过程中始终保持正交性,避免了传统欧拉积分可能导致的数值不稳定问题。而矩阵对数则解决了逆向问题——如何计算从当前姿态到目标姿态所需的旋转误差和角速度。这套方法的核心优势在于能够在非线性的旋转空间中进行精确计算,为逆运动学算法提供了必要的数学工具,特别是在计算雅可比矩阵时所需的旋转导数。对于需要高精度姿态控制的机器人应用,这些数学工具是必不可少的。

https://avoid.overfit.cn/post/352201d5dfd749e48e2b6ccf8e81abf0

作者:Nikolaus Correll

目录
相关文章
|
机器人
剑指 Offer 13:机器人的运动范围
剑指 Offer 13:机器人的运动范围
106 0
|
2月前
|
传感器 算法 定位技术
KF,EKF,IEKF 算法的基本原理并构建推导出四轮前驱自主移动机器人的运动学模型和观测模型(Matlab代码实现)
KF,EKF,IEKF 算法的基本原理并构建推导出四轮前驱自主移动机器人的运动学模型和观测模型(Matlab代码实现)
|
6月前
|
传感器 人工智能 算法
傅利叶开源人形机器人,提供完整的开源套件!Fourier N1:具备23个自由度和3.5米/秒运动能力
傅利叶推出的开源人形机器人N1搭载自研动力系统与多模态交互模块,具备23个自由度和3.5米/秒运动能力,提供完整开源套件助力开发者验证算法。
479 3
傅利叶开源人形机器人,提供完整的开源套件!Fourier N1:具备23个自由度和3.5米/秒运动能力
|
7月前
|
算法 机器人 数据安全/隐私保护
四自由度SCARA机器人的运动学和动力学matlab建模与仿真
本课题深入研究SCARA机器人系统,提出其动力学与运动学模型,并基于MATLAB Robotics Toolbox建立四自由度SCARA机器人仿真对象。通过理论结合仿真实验,实现了运动学正解、逆解及轨迹规划等功能,完成系统实验和算法验证。SCARA机器人以其平面关节结构实现快速定位与装配,在自动生产线中广泛应用,尤其在电子和汽车行业表现优异。使用D-H参数法进行结构建模,推导末端执行器的位姿,建立了机器人的运动学方程。
|
数据可视化 机器人 Python
实例9:四足机器人运动学正解平面RR单腿可视化
本文是关于四足机器人正向运动学(FK)的实例教程,通过Python编程实现了简化的mini pupper平面二连杆模型的腿部可视化,并根据用户输入的关节角计算出每个关节相对于基坐标系的坐标。
324 1
PUN ☀️六、机器人基础设置:运动、相机、攻击与生命值
PUN ☀️六、机器人基础设置:运动、相机、攻击与生命值
|
数据可视化 算法 机器人
实例10:四足机器人运动学逆解可视化与实践
本文是关于四足机器人逆运动学(IK)的实例教程,介绍了逆运动学的概念、求解方法、多解情况和工作空间,并通过Python编程实现了简化的mini pupper平面二连杆模型的逆运动学可视化,包括单腿舵机的校准和动态可视化运动学计算结果。
999 0
|
NoSQL 机器人 Windows
ROS机器人编程技术控制两只小海龟的编队运动
ROS机器人编程技术控制两只小海龟的编队运动
553 1
|
机器人 Python
Moveit + Gazebo实现联合仿真:ABB yumi双臂机器人( 二、双臂协同运动实现 )
Moveit + Gazebo实现联合仿真:ABB yumi双臂机器人( 二、双臂协同运动实现 )
|
机器学习/深度学习 人工智能 机器人
[译][AI 机器人] Atlas的电动新时代,不再局限于人类运动范围的动作方式
波士顿动力宣布液压Atlas机器人退役,推出全新电动Atlas,旨在实现更广泛的实际应用。这款全电动机器人将拓展人类运动范围,解决复杂工业挑战。现代汽车公司将参与其商业化进程,作为测试应用场景。波士顿动力计划与创新客户合作,逐步迭代Atlas的应用,打造高效、实用的移动机器人解决方案。Atlas将结合强化学习和计算机视觉等先进技术,通过Orbit软件平台进行管理,未来将在真实世界中发挥超越人类能力的作用。