PostgreSQL 聚合函数讲解 - 4 总体协方差, 样本协方差

本文涉及的产品
RDS MySQL DuckDB 分析主实例,集群系列 4核8GB
RDS AI 助手,专业版
RDS MySQL DuckDB 分析主实例,基础系列 4核8GB
简介:
1. 数学期望值, 平均值, mean
表示: E[X], 即X变量的平均值.
也用miu表示 : μ=E[X]
PostgreSQL中举例 : 

postgres=# select avg(c1) from (values(null),(1),(2)) as t(c1);
        avg         
--------------------
 1.5000000000000000
(1 row)

以上为离散概率, 数学期望就是每个值乘以它的概率除以值的个数.
如果是连续概率的话, 要统计一个取值范围的区间概率, 统计一个区间的面积.

2. 众数, mode
出现频率最高的值.
PostgreSQL中举例, 如果有多个同样频率的, 取第一个 : 

postgres=# select mode() WITHIN GROUP (ORDER BY c1) from (values(null),(1),(2),(1),(2),(3)) as t(c1);
 mode 
------
    1
(1 row)
postgres=# select mode() WITHIN GROUP (ORDER BY c1 desc) from (values(null),(1),(2),(1),(2),(3)) as t(c1);
 mode 
------
    2
(1 row)

其实在PostgreSQL统计信息中也用到了众数类似(延展)的概念, 即mcv, mce. 最频繁出现的值. 见pg_stats.

postgres=# \d pg_stats
          View "pg_catalog.pg_stats"
         Column         |   Type   | Modifiers 
------------------------+----------+-----------
 schemaname             | name     | 
 tablename              | name     | 
 attname                | name     | 
 inherited              | boolean  | 
 null_frac              | real     | 
 avg_width              | integer  | 数学期望
 n_distinct             | real     | 
 most_common_vals       | anyarray |  众数类似
 most_common_freqs      | real[]   |  众数概率
 histogram_bounds       | anyarray | 中位数类似
 correlation            | real     | 相关度
 most_common_elems      | anyarray |   众数类似
 most_common_elem_freqs | real[]   |   众数概率
 elem_count_histogram   | real[]   | 中位数类似


3. 中位数, Median
取按数字大小顺序排好后的中间数字, 如果是偶数个, 则取两个值的平均值.
例如: 1,3,5,7,9的中位数为5.
例如: 1,3,5,7,9,10的中位数为(5+7)/2=6
中位数在PostgreSQL统计信息中也有类似的应用, 即柱状分布, 见pg_stats.histogram_bounds. 每个区间(bucket)的概率是相等的, 每个值的两边的bucket概率是相等的. 类似中位数的概念.

4. 方差, Variance
方差是各个数据分别与其平均数之差的平方的和的平均数,用字母D表示。在概率论和数理统计中,方差(Variance)用来度量随机变量和其数学期望(即均值)之间的偏离程度。在许多实际问题中,研究随机变量和均值之间的偏离程度有着重要意义。
设X为服从分布F的随机变量, 如果E[X]是随机变量X的期望值(平均数μ=E[X])
随机变量X或者分布F的方差为
(总体方差) : 
(样本方差) : 
样本方差是依据所给样本对方差做出的一个无偏估计。
样本方差的计算公式以及表述符号为: 
其中: 一些统计学术语以及计算方法和表示方法 - 德哥@Digoal - PostgreSQL research为样本均值 N为样本个数
PostgreSQL中举例 : 
从计算方法来看.方差可以评估一组数字的离散度(如下).
总体方差.

postgres=# select var_pop(c1) from (values(1),(2),(3),(4),(5)) as t(c1);
      var_pop       
--------------------
 2.0000000000000000
(1 row)
postgres=# select var_pop(c1) from (values(1),(2),(3),(4),(5),(1000)) as t(c1);
       var_pop       
---------------------
 138058.472222222222
(1 row)
postgres=# select var_pop(c1) from (values(1000),(1001),(1003),(1004),(1005),(1000)) as t(c1);
      var_pop       
--------------------
 3.8055555555555556
(1 row)

样本方差

postgres=# select var_samp(c1) from (values(1),(2),(3),(4),(5)) as t(c1);
      var_samp      
--------------------
 2.5000000000000000
(1 row)
postgres=# select var_samp(c1) from (values(1),(2),(3),(4),(5),(1000)) as t(c1);
      var_samp       
---------------------
 165670.166666666667
(1 row)
postgres=# select var_samp(c1) from (values(1000),(1001),(1003),(1004),(1005),(1000)) as t(c1);
      var_samp      
--------------------
 4.5666666666666667
(1 row)


5. 标准差, Standard Deviation, 对应方差的平方根. 也可用于评估离散度.
表示符号和方差一样, 但是符号上头没有代表平方的2.
标准差(Standard Deviation) ,中文环境中又常称均方差,但不同于均方误差(mean squared error,均方误差是各数据偏离真实值的距离平方的平均数,也即误差平方和的平均数,计算公式形式上接近方差,它的开方叫均方根误差,均方根误差才和标准差形式上接近),标准差是离均差平方和平均后的方根,用σ表示。标准差是方差的算术平方根。标准差能反映一个数据集的离散程度。平均数相同的,标准差未必相同。
标准差(Standard Deviation),在概率统计中最常使用作为统计分布程度(statistical dispersion)上的测量。标准差定义是总体各单位标准值与其平均数离差平方的算术平均数的平方根。它反映组内个体间的离散程度。
总体标准差

postgres=# select stddev_pop(c1) from (values(1000),(1001),(1003),(1004),(1005),(1000)) as t(c1);
     stddev_pop     
--------------------
 1.9507833184532709
(1 row)
postgres=# select dsqrt(var_pop(c1)) from (values(1000),(1001),(1003),(1004),(1005),(1000)) as t(c1);
      dsqrt       
------------------
 1.95078331845327
(1 row)

样本标准差

postgres=# select stddev_samp(c1) from (values(1000),(1001),(1003),(1004),(1005),(1000)) as t(c1);
    stddev_samp     
--------------------
 2.1369760566432809
(1 row)
postgres=# select dsqrt(var_samp(c1)) from (values(1000),(1001),(1003),(1004),(1005),(1000)) as t(c1);
      dsqrt       
------------------
 2.13697605664328
(1 row)


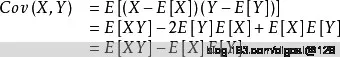
6. 协方差, Covariance
在概率论和统计学中,协方差用于衡量两个变量的总体误差(如果两组数据的误差一样, 那么和计算一组数据的方差得到的结果是一样的)。
而方差是协方差的一种特殊情况,即当两个变量是相同的情况。
注意这里提到方差是两个变量相等时的协方差, 一会我在PostgreSQL里面验证一下.
在PostgreSQL中计算一组数据协方差的方法.
总体协方差

postgres=# select covar_pop(c1,c2) from (values(1,2),(2,3),(3,4),(4,5),(5,6),(1000,1001)) as t(c1,c2);
    covar_pop     
------------------
 138058.472222222
(1 row)

样本协方差

postgres=# select covar_samp(c1,c2) from (values(1,2),(2,3),(3,4),(4,5),(5,6),(1000,1001)) as t(c1,c2);
    covar_samp    
------------------
 165670.166666667
(1 row)

在PostgreSQL中验证 : 方差是两个变量相等时的协方差

postgres=# select var_pop(c1) from (values(1),(2),(3),(4),(5),(1000)) as t(c1);
       var_pop       
---------------------
 138058.472222222222
(1 row)
postgres=# select covar_pop(c1,c1) from (values(1),(2),(3),(4),(5),(1000)) as t(c1);
    covar_pop     
------------------
 138058.472222222
(1 row)

验证 : (如果两组数据的误差一样, 那么和计算一组数据的方差得到的结果是一样的)。
如下两组数据, 1,2,3,4,5,1000; 2,3,4,5,6,1001; 他们各自的方差一样, 所以协方差也一样

postgres=# select var_pop(c1) from (values(1,2),(2,3),(3,4),(4,5),(5,6),(1000,1001)) as t(c1,c2);
       var_pop       
---------------------
 138058.472222222222
(1 row)
postgres=# select var_pop(c2) from (values(1,2),(2,3),(3,4),(4,5),(5,6),(1000,1001)) as t(c1,c2);
       var_pop       
---------------------
 138058.472222222222
(1 row)
postgres=# select covar_pop(c1,c2) from (values(1,2),(2,3),(3,4),(4,5),(5,6),(1000,1001)) as t(c1,c2);
    covar_pop     
------------------
 138058.472222222
(1 row)


7. 相关性, 线性相关性, Correlation 
表示两组数据的相关性, 相关值从0到1取值, 趋向1表示完全相关, 趋向0 表示完全不相关.
相关表和相关图可反映两个变量之间的相互关系及其相关方向,但无法确切地表明两个变量之间相关的程度。于是,著名统计学家卡尔·皮尔逊设计了统计指标——相关系数(Correlation coefficient)。相关系数是用以反映变量之间相关关系密切程度的统计指标。相关系数是按积差方法计算,同样以两变量与各自平均值的离差为基础,通过两个离差相乘来反映两变量之间相关程度;着重研究线性的单相关系数。
在PostgreSQL中的统计信息中也有相关性的应用, 例如用于评估数据的物理存储和值的相关性, 方便优化器计算索引扫描的成本, 相关性越高, 越趋向索引, 因为离散块扫描会更少. 可以参考如下.
在PostgreSQL中计算两组数据的相关性.

postgres=# select corr(c1,c2) from (values(1,2),(2,3),(3,4),(4,5),(5,6),(1000,1001)) as t(c1,c2);
 corr 
------
    1
(1 row)
postgres=# select corr(c1,c2) from (values(1,2),(2,3),(3,4),(4,5),(5,6),(1000,1)) as t(c1,c2);
        corr        
--------------------
 -0.652023240836194
(1 row)

另外可看百度提到的例子 : 
软件公司在全国有许多 代理商,为研究它的财务软件产品的广告投入与 销售额的关系,统计人员随机选择10家代理商进行观察,搜集到年广告投入费和月平均销售额的数据,并编制成 相关表,见表1:
表1 广告费与月平均销售额相关表 单位:万元
年广告费投入
月均销售额
12.5  15.3  23.2  26.4  33.5  34.4  39.4  45.2  55.4  60.9
21.2  23.9  32.9  34.1  42.5  43.2  49.0  52.8  59.4  63.5
参照表1,可计算相关系数如表2:
序号
广告投入(万元)
x
月均销售额(万元)
y
用PostgreSQL了解一些统计学术语以及计算方法和表示方法 - 德哥@Digoal - PostgreSQL research
用PostgreSQL了解一些统计学术语以及计算方法和表示方法 - 德哥@Digoal - PostgreSQL research
用PostgreSQL了解一些统计学术语以及计算方法和表示方法 - 德哥@Digoal - PostgreSQL research
1  2  3  4  5  6  7  8  9  10
12.5  15.3  23.2  26.4  33.5  34.4  39.4  45.2  55.4  60.9
21.2  23.9  32.9  34.1  42.5  43.2  49.0  52.8  59.4  63.5
156.25  234.09  538.24  696.96  1122.25  1183.36  1552.36  2043.04  3069.16  3708.81
449.44  571.21  1082.41  1162.81  1806.25  1866.24  2401.00  2787.84  3528.36  4032.25
265.00  365.67  763.28  900.24  1423.75  1486.08  1930.60  2386.56  3290.76  3867.15
合计
346.2
422.5
14304.52
19687.81
16679.09
  • =0.9942
相关系数为0.9942,说明广告投入费与月平均销售额之间有高度的线性正相关关系。
相关性越高, 说明广告投入和销售额的关系越明显.
相关性是如何计算的呢? 实际上是 "协方差(x,y)除以(平方根(方差(x)*方差(y)))" . 

postgres=# select corr(c1,c2) from (values(1,2),(2,3),(3,4),(4,5),(5,6),(1000,1)) as t(c1,c2);
        corr        
--------------------
 -0.652023240836194
(1 row)
使用以上公式计算结果一致 : 
postgres=# select covar_pop(c1,c2)/dsqrt(var_pop(c1)*var_pop(c2)) from (values(1,2),(2,3),(3,4),(4,5),(5,6),(1000,1)) as t(c1,c2);
      ?column?      
--------------------
 -0.652023240836194
(1 row)


[参考]
1. 百度百科
2. 百度词条
3. 维基百科
5. 用到的PostgreSQL聚合函数源码在此
    src/backend/utils/adt/float.c
6. 更多玩法, 如果要在PostgreSQL中使用R语言或MADlib库, 请参考如下.
相关实践学习
使用PolarDB和ECS搭建门户网站
本场景主要介绍如何基于PolarDB和ECS实现搭建门户网站。
阿里云数据库产品家族及特性
阿里云智能数据库产品团队一直致力于不断健全产品体系,提升产品性能,打磨产品功能,从而帮助客户实现更加极致的弹性能力、具备更强的扩展能力、并利用云设施进一步降低企业成本。以云原生+分布式为核心技术抓手,打造以自研的在线事务型(OLTP)数据库Polar DB和在线分析型(OLAP)数据库Analytic DB为代表的新一代企业级云原生数据库产品体系, 结合NoSQL数据库、数据库生态工具、云原生智能化数据库管控平台,为阿里巴巴经济体以及各个行业的企业客户和开发者提供从公共云到混合云再到私有云的完整解决方案,提供基于云基础设施进行数据从处理、到存储、再到计算与分析的一体化解决方案。本节课带你了解阿里云数据库产品家族及特性。
目录
相关文章
|
关系型数据库 PostgreSQL
PostgreSQL listagg within group (order by) 聚合兼容用法 string_agg ( order by) - 行列变换,CSV构造...
标签 PostgreSQL , order-set agg , listagg , string_agg , order 背景 listagg — Rows to Delimited Strings The listagg function transforms values from a g...
7176 0
|
关系型数据库 大数据 PostgreSQL
PostgreSQL16-新特性-并行聚合
PostgreSQL16-新特性-并行聚合
451 0
|
SQL 分布式计算 并行计算
PostgreSQL 并行计算解说 之9 - parallel 自定义并行聚合
标签 PostgreSQL , cpu 并行 , smp 并行 , 并行计算 , gpu 并行 , 并行过程支持 背景 PostgreSQL 11 优化器已经支持了非常多场合的并行。简单估计,已支持27余种场景的并行计算。 parallel seq scan parallel index scan
740 0
|
关系型数据库 PostgreSQL
【重新发现PostgreSQL之美】- 48 聚合、窗口过滤器
大家好,这里是重新发现PostgreSQL之美 - 48 聚合、窗口过滤器
|
SQL 关系型数据库 PostgreSQL
PostgreSQL 空间聚合性能 - 行政区、电子围栏 空间聚合 - 时间、空间热力图
标签 PostgreSQL , 空间聚合 , 空间热力图 , 行政区 , 电子围栏 背景 某个时间区间(或其他条件),出现在某些围栏、行政区(多边形信息)中的对象(空间点信息)有多少,按颜色深浅渲染这些多边形。
2677 0
|
物联网 关系型数据库 流计算
PostgreSQL pipelinedb 流计算插件 - IoT应用 - 实时轨迹聚合
标签 PostgreSQL , IoT , 轨迹聚合 , pipelinedb , 流计算 , 实时聚合 背景 IoT场景,车联网场景,共享单车场景,人的行为位点等,终端实时上报的是孤立的位点,我们需要将其补齐成轨迹。
2135 0
|
并行计算 关系型数据库 PostgreSQL

相关产品

  • 云原生数据库 PolarDB
  • 云数据库 RDS PostgreSQL 版
  • 推荐镜像

    更多