【每日一题】3.LeetCode——相交链表

简介: 【每日一题】3.LeetCode——相交链表


1. 题目描述

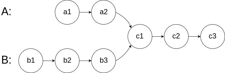
给你两个单链表的头节点 headAheadB ,请你找出并返回两个单链表相交的起始节点。如果两个链表不存在相交节点,返回 null

图示两个链表在节点 c1 开始相交:

题目数据 保证 整个链式结构中不存在环。

注意,函数返回结果后,链表必须 保持其原始结构

自定义评测:

评测系统 的输入如下(你设计的程序 不适用 此输入):

  • intersectVal - 相交的起始节点的值。如果不存在相交节点,这一值为 0
  • listA - 第一个链表
  • listB - 第二个链表
  • skipA - 在 listA 中(从头节点开始)跳到交叉节点的节点数
  • skipB - 在 listB 中(从头节点开始)跳到交叉节点的节点数

评测系统将根据这些输入创建链式数据结构,并将两个头节点 headAheadB 传递给你的程序。如果程序能够正确返回相交节点,那么你的解决方案将被 视作正确答案

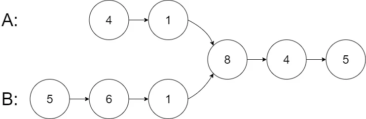
示例1:

输入:intersectVal = 8, listA = [4,1,8,4,5], listB = [5,6,1,8,4,5], skipA = 2, skipB = 3

输出:Intersected at ‘8’

解释:相交节点的值为 8 (注意,如果两个链表相交则不能为 0)。

从各自的表头开始算起,链表 A 为 [4,1,8,4,5],链表 B 为 [5,6,1,8,4,5]。

在 A 中,相交节点前有 2 个节点;在 B 中,相交节点前有 3 个节点。

— 请注意相交节点的值不为 1,因为在链表 A 和链表 B 之中值为 1 的节点 (A 中第二个节点和 B 中第三个节点) 是不同的节点。换句话说,它们在内存中指向两个不同的位置,而链表 A 和链表 B 中值为 8 的节点 (A 中第三个节点,B 中第四个节点) 在内存中指向相同的位置。

示例2:

输入:intersectVal = 0, listA = [2,6,4], listB = [1,5], skipA = 3, skipB = 2

输出:null

解释:从各自的表头开始算起,链表 A 为 [2,6,4],链表 B 为 [1,5]。

由于这两个链表不相交,所以 intersectVal 必须为 0,而 skipA 和 skipB 可以是任意值。

这两个链表不相交,因此返回 null 。

提示

  • listA 中节点数目为 m
  • listB 中节点数目为 n
  • 1 <= m, n <= 3 * 104
  • 1 <= Node.val <= 105
  • 0 <= skipA <= m
  • 0 <= skipB <= n
  • 如果 listAlistB 没有交点,intersectVal0
  • 如果 listAlistB 有交点,intersectVal == listA[skipA] == listB[skipB]

2. 思路

  1. 计算两个链表的长度的差值
  1. 定义len1表示链表A的长度,定义len2表示链表B的长度
int len1 = 0;
int len2 = 0;
  1. 定义指针plpspl永远指向最长的链表,ps永远指向最短的链表。(假设链表A是最长的链表)
ListNode pl = headA; // 永远指向最长的链表
ListNode ps = headB; // 永远指向最短的链表
  1. 计算链表A和链表B的长度
while (pl != null) {
    len1++;
    pl = pl.next;
}
while (ps != null) {
     len2++;
     ps = ps.next;
}
  1. plps分别指两个链接的头节点
pl = headA;
ps = headB;
  1. 计算链表的差值,如果链表A的长度小于链表B的长度,则交换plps的指向的头节点,重新计算链表的差值。
int len = len1 - len2;
if (len < 0) {
  pl = headB;
  ps = headA;
  len = len2 - len1;
}
  1. 让长的链表先移动len步。
while (len != 0) {
  pl = pl.next;
    len--;
}
  1. 同时移动,相遇之后就是相交的节点
while (pl != ps) {
  pl = pl.next;
  ps = ps.next;
}
  1. 返回pl
return pl;

运行结果:

这样就完了?链表一定可以相交?如果链表为空呢?null != null为假,直接返回pl,而pl正好为空

解决方法:判断链表是否为空。

while(pl != null && ps != null &&  pl != ps) {
  pl = pl.next;
  ps = ps.next;
}
if(pl == ps && pl == null) {
  return null;
}
return pl;

3. 代码

/**
 * Definition for singly-linked list.
 * public class ListNode {
 *     int val;
 *     ListNode next;
 *     ListNode(int x) {
 *         val = x;
 *         next = null;
 *     }
 * }
 */
public class Solution {
    public ListNode getIntersectionNode(ListNode headA, ListNode headB) {
        int len1 = 0;
        int len2 = 0;
        ListNode pl = headA;
        ListNode ps = headB;
        while (pl != null) {
            len1++;
            pl = pl.next;
        }
        while (ps != null) {
            len2++;
            ps = ps.next;
        }
        pl = headA;
        ps = headB;
        int len = len1 - len2;
        if (len < 0) {
            pl = headB;
            ps = headA;
            len = len2 - len1;
        }
        while (len != 0) {
            pl = pl.next;
            len--;
        }
        
        while(pl != null && ps != null &&  pl != ps) {
          pl = pl.next;
          ps = ps.next;
         }
        if(pl == ps && pl == null) {
          return null;
        }
        return pl;
    }
}

运行结果:

相关文章
|
12月前
【力扣】-- 移除链表元素
【力扣】-- 移除链表元素
126 1
|
12月前
Leetcode第21题(合并两个有序链表)
这篇文章介绍了如何使用非递归和递归方法解决LeetCode第21题,即合并两个有序链表的问题。
152 0
Leetcode第21题(合并两个有序链表)
|
4月前
|
机器学习/深度学习 算法
24. 两两交换链表中的节点, 19.删除链表的倒数第N个节点 ,面试题 02.07. 链表相交
1. **两两交换链表中的节点**:通过引入虚拟头结点,使所有节点都能采用统一的交换逻辑,避免对头结点单独处理。 2. **删除链表的倒数第N个节点**:利用双指针技巧,让快慢指针保持N个节点的距离,当快指针到达末尾时,慢指针正好指向待删除节点的前一个节点。 3. **链表相交**:先计算两链表长度并调整起点,确保从相同距离末尾的位置开始遍历,从而高效找到相交节点或确定无交点。 以上方法均在时间复杂度和空间复杂度上进行了优化,适合用于理解和掌握链表的基本操作及常见算法设计思路。
|
6月前
|
算法 Go
【LeetCode 热题100】23:合并 K 个升序链表(详细解析)(Go语言版)
本文详细解析了 LeetCode 热题 23——合并 K 个升序链表的两种解法:优先队列(最小堆)和分治合并。题目要求将多个已排序链表合并为一个升序链表。最小堆方法通过维护节点优先级快速选择最小值,;分治合并则采用归并思想两两合并链表。文章提供了 Go 语言实现代码,并对比分析两种方法的适用场景,帮助读者深入理解链表操作与算法设计。
191 10
|
12月前
|
算法
❤️算法笔记❤️-(每日一刷-160、相交链表)
❤️算法笔记❤️-(每日一刷-160、相交链表)
89 1
|
12月前
LeetCode第二十四题(两两交换链表中的节点)
这篇文章介绍了LeetCode第24题的解法,即如何通过使用三个指针(preNode, curNode, curNextNode)来两两交换链表中的节点,并提供了详细的代码实现。
124 0
LeetCode第二十四题(两两交换链表中的节点)
|
12月前
Leetcode第十九题(删除链表的倒数第N个节点)
LeetCode第19题要求删除链表的倒数第N个节点,可以通过快慢指针法在一次遍历中实现。
126 0
Leetcode第十九题(删除链表的倒数第N个节点)
|
12月前
|
索引
力扣(LeetCode)数据结构练习题(3)------链表
力扣(LeetCode)数据结构练习题(3)------链表
236 0
|
12月前
【LeetCode 10】142. 环形链表 II
【LeetCode 10】142. 环形链表 II
84 0
|
12月前
【LeetCode 09】19 删除链表的倒数第 N 个结点
【LeetCode 09】19 删除链表的倒数第 N 个结点
160 0