动态规划(两个数组问题)
1. 最长公共子序列
- 状态表示
dp[i][j] 表示 s1 0 到 i 区间内,以及时s2 0 到 j 区间内所有的子序列中,最长的公共子序列 - 状态转移方程
根据最后一个位置的请款分类讨论。 - 初始化
关于字符串的dp问题,空串是有研究意义的。引入空串的概念之后会方便我们的初始化
这里还可以使用之前的方法,使用辅助节点的方式
- 填表顺序
从下往上,从左到右 - 返回值
AC代码:
class Solution { public: int longestCommonSubsequence(string text1, string text2) { int n = text1.size(); int m = text2.size(); vector<vector<int>> dp(n + 1, vector<int>(m + 1)); for (int i = 1; i <= n; i++) { for (int j = 1; j <= m; j++) { if (text1[i - 1] == text2[j - 1]) dp[i][j] = dp[i - 1][j - 1] + 1; else dp[i][j] = max(dp[i - 1][j], dp[i][j - 1]); } } return dp[n][m]; } };
2. 不相交的线
题目分析:根据这个题目可以看到不就是找最长公共子序列嘛
- 状态表示
dp[i][j] 表示 0 到 i 的所有子序列以及 0 到 j 的所有子序列当中,最长的公共子序列 - 状态转移方程
- 初始化
- 填表
- 返回值
AC代码:
class Solution { public: int maxUncrossedLines(vector<int>& nums1, vector<int>& nums2) { int n = nums1.size(); int m = nums2.size(); vector<vector<int>> dp(n + 1, vector<int>(m + 1)); for (int i = 1; i <= n; i++) { for (int j = 1; j <= m; j++) { if (nums1[i - 1] == nums2[j - 1]) dp[i][j] = dp[i - 1][j - 1] + 1; else dp[i][j] = max(dp[i - 1][j], dp[i][j - 1]); } } return dp[n][m]; } };
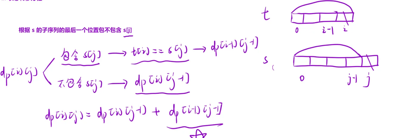
3. 不同的子序列
- 状态表示
dp[i][j] 表示 0 到 j 之间的所有子序列中有多少个出现 目标中0 到 i 之间的字母 - 状态转移方程
- 初始化
- 填表
- 返回值
AC代码:
class Solution { public: int numDistinct(string s, string t) { int n = s.size(); int m = t.size(); vector<vector<double>> dp(m + 1, vector<double>(n + 1)); for (int i = 0; i <= n; i++) dp[0][i] = 1; for (int i = 1; i <= m; i++) { for (int j = 1; j <= n; j++) { dp[i][j] += dp[i][j - 1]; if (s[j - 1] == t[i - 1]) dp[i][j] += dp[i - 1][j - 1]; } } return dp[m][n]; } };
4. 交错字符串
- 状态表示
dp[i][j] 表示 s1中[1, i]之间的字符串,以及s2当中[1,j]之间的字符串能否拼接成s3当中[1, i + j]之间的字符串 - 状态转移方程
- 初始化
当两个字符串都是空的时候,返回的一定是true,当s1 不为空, s2 为空,只要s1有一个不等于s3则直接返回false否则为true
s2的初始化也一样
- 填表
从上到下,从左到右 - 返回值
AC代码:
class Solution { public: bool isInterleave(string s1, string s2, string s3) { int m = s1.size(); int n = s2.size(); if (m + n != s3.size()) return false; s1 = " " + s1; s2 = " " + s2; s3 = " " + s3; vector<vector<bool>> dp(m + 1, vector<bool>(n + 1)); dp[0][0] = true; for (int i = 1; i <= n; i++) { if (s2[i] == s3[i]) dp[0][i] = true; else break; } for (int i = 1; i <= m; i++) { if (s1[i] == s3[i]) dp[i][0] = true; else break; } for (int i = 1; i <= m; i++) { for (int j = 1; j <= n; j++) { if ((s1[i] == s3[i + j] && dp[i - 1][j]) || (s2[j] == s3[i + j] && dp[i][j - 1])) dp[i][j] = true; } } return dp[m][n]; } };
5. 两个字符串的最小ASCII和
- 状态表示
分析,这个题目要找两个字符串最小的,可以找到公共最大的然后反向求dp[i][j] 表示 [0, i] 以及[0, j]的所有子序列当中,ASCII最大的公共子序列的和 - 状态转移方程
- 初始化
无需初始化 - 填表
从左到右,从上到下 - 返回值
两个字符串的和前去最大的乘以2
AC代码:
class Solution { public: int minimumDeleteSum(string s1, string s2) { int m = s1.size(); int n = s2.size(); vector<vector<int>> dp(m + 1, vector<int>(n + 1)); for (int i = 1; i <= m; i++) { for (int j = 1; j <= n; j++) { dp[i][j] = max(dp[i][j - 1], dp[i - 1][j]); if (s1[i - 1] == s2[j - 1]) { dp[i][j] = max(dp[i][j], dp[i - 1][j - 1] + s1[i - 1]); } } } int sum = 0; for (auto e : s1) sum += e; for (auto e : s2) sum += e; return sum - dp[m][n] - dp[m][n]; } };
6. 最长重复子数组
- 状态表示
dp[i][j]以 i 位置为结尾的所有子数组,以及以j 位置为结尾的所有子数组当中,最长公共子数组的长度 - 状态转移方程
- 初始化
无需初初始化
- 填表
- 返回值
AC代码:
class Solution { public: int findLength(vector<int>& nums1, vector<int>& nums2) { int m = nums1.size(); int n = nums2.size(); vector<vector<int>> dp(m + 1, vector<int>(n + 1)); int ret = 0; for (int i = 1; i <= m; i++) { for (int j = 1; j <= n; j++) { if (nums1[i - 1] == nums2[j - 1]) { dp[i][j] = dp[i - 1][j - 1] + 1; } ret = max(ret, dp[i][j]); } } return ret; } };
7. 通配符匹配
- 状态表示
dp[i][j] 表示 p[0, j]区间内子串能否匹配s[0, i]区间内的子串 - 状态转移方程
这种有很多表示方法的状态转移方程,需要优化不可能把每个状态都表示出来
第一种就是采用数学方法来优化:
还可以根据状态表示以及实际情
- 况优化状态转移方程
- 初始化
当p[0][j] == ”*“时就一直是true
- 填表
- 返回值
AC代码:
class Solution { public: bool isMatch(string s, string p) { int m = s.size(); int n = p.size(); s = " " + s, p = " " + p; vector<vector<bool>> dp(m + 1, vector<bool>(n + 1)); dp[0][0] = true; for (int j = 1; j <= n; j++) { if (p[j] == '*') dp[0][j] = true; else break; } for (int i = 1; i <= m; i++) { for (int j = 1; j <= n; j++) { if (p[j] == '*') dp[i][j] = dp[i- 1][j] || dp[i][j - 1]; else if (p[j] == '?') dp[i][j] = dp[i - 1][j - 1]; else { if (s[i] == p[j]) dp[i][j] = dp[i - 1][j - 1]; } } } return dp[m][n]; } };








