给我5分钟,带你秒杀所有图算法之DFS、BFS

简介: 给我5分钟,带你秒杀所有图算法之DFS、BFS

一、前言

上一篇文章我们提到了关于图的形象化描述方法,不知道大家还有没有印象。没有印象的话,可以去看一下上期的内容

对于图来说,搜索的方法无外乎两种,深度优先搜索(DFS)和广度优先搜索(BFS)

两种搜索算法也不太相同,今天我们就来看一下这两个搜索算法

二、深度优先搜索

我们一提到深度优先搜索,脑子里第一时间想到的就是递归

没错,深搜就是依靠递归的方法来进行的搜索,我们来看一个例题:

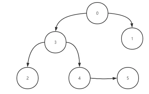
对于上图来说,使用深度优先搜索的路线为:0 -> 3 - > 2 -> 4 -> 5 -> 1

这里不懂深搜的小伙伴可以看下这篇:深度优先搜索

递归版本:

  /**
     * 深度优先搜索
     * 
     * @param node
     * @param set
     */
  public void DFS(Node node, Set<Node> set) {
        if (node == null) {
            return;
        }
        if (!set.contains(node)) {
            set.add(node);
            System.out.print(node.value + " ");
            for (Node node1 : node.nexts) {
                DFS(node1, set);
            }
        }
    }

迭代版本:

  /**
     * 深度优先搜索
     *
     * @param node
     */
  public void DFS(Node node) {
        Stack<Node> stack = new Stack<>();
        Set<Node> set = new HashSet<>();
        stack.add(node);
        set.add(node);
        System.out.print(node.value + " ");
        while (!stack.isEmpty()) {
            Node cur = stack.pop();
            for (Node next : cur.nexts) {
                if (!set.contains(next)) {
                    stack.add(cur); // 用来做记忆化的
                    stack.add(next);
                    System.out.print(next.value + " ");
                    set.add(next);
                    break;
                }
            }
        }
    }

测试结果:

迭代版本:
0 3 2 4 5 1 
递归版本:
0 3 2 4 5 1

三、广度优先搜索

对于广度优先搜索的话,简单的来说,像走地图一样,一圈一圈的扩展开来

我们来看一个例题:

对于上图来说,使用深度优先搜索的路线为:0 -> 3 -> 1 -> 2 -> 4 -> 5

这里不懂广搜的小伙伴可以看下这篇:广度优先搜索

  /**
     * 广度优先搜索
     *
     * @param node
     */
    public static void BFS(Node node) {
        if (node == null) {
            return;
        }
        Queue<Node> queue = new LinkedList<>();
        // 代表是否被使用
        Set<Node> set = new HashSet<>();
        queue.add(node);
        set.add(node);
        while (!queue.isEmpty()) {
            Node cur = queue.poll();
            System.out.print(cur.value + " ");
            for (Node next : cur.nexts) {
                if (!set.contains(next)) {
                    queue.add(next);
                    set.add(next);
                }
            }
        }
    }

四、结语

这期的深度优先搜索和广度优先搜索比较简单

让你对图的搜索大概有个了解,下几期将会讲解一些真实的算法

在算法题中,题目不会单纯的让你求深搜和广搜,经常会和别的一起出现,比如最小生成树等


相关文章
|
算法 测试技术 定位技术
数据结构与算法——DFS(深度优先搜索)
数据结构与算法——DFS(深度优先搜索)
|
1月前
|
机器学习/深度学习 算法 C++
【DFS/回溯算法】2016年蓝桥杯真题之路径之谜详解
题目要求根据城堡北墙和西墙箭靶上的箭数,推断骑士从西北角到东南角的唯一路径。每步移动时向正北和正西各射一箭,同一格不重复经过。通过DFS回溯模拟“拔箭”过程,验证路径合法性。已知箭数约束路径唯一,最终按编号输出行走顺序。
|
2月前
|
机器学习/深度学习 算法 机器人
【机器人路径规划】基于深度优先搜索(Depth-First-Search,DFS)算法的机器人路径规划(Python代码实现)
【机器人路径规划】基于深度优先搜索(Depth-First-Search,DFS)算法的机器人路径规划(Python代码实现)
232 3
|
9月前
|
机器学习/深度学习 算法
算法系列之搜索算法-深度优先搜索DFS
深度优先搜索和广度优先搜索一样,都是对图进行搜索的算法,目的也都是从起点开始搜索,直到到达顶点。深度优先搜索会沿着一条路径不断的往下搜索,直到不能够在继续为止,然后在折返,开始搜索下一条候补路径。
686 62
算法系列之搜索算法-深度优先搜索DFS
|
算法
DFS算法的实现
DFS算法的实现
243 3
|
9月前
|
存储 算法
算法系列之搜索算法-广度优先搜索BFS
广度优先搜索(BFS)是一种非常强大的算法,特别适用于解决最短路径、层次遍历和连通性问题。在面试中,掌握BFS的基本实现和应用场景,能够帮助你高效解决许多与图或树相关的问题。
855 1
算法系列之搜索算法-广度优先搜索BFS
|
存储 机器学习/深度学习 算法
第十五届蓝桥杯pb组国赛E题[马与象] (15分)BFS算法 详解
第十五届蓝桥杯pb组国赛E题[马与象] (15分)BFS算法 详解
349 3
|
算法 vr&ar 计算机视觉
数据结构之洪水填充算法(DFS)
洪水填充算法是一种基于深度优先搜索(DFS)的图像处理技术,主要用于区域填充和图像分割。通过递归或栈的方式探索图像中的连通区域并进行颜色替换。本文介绍了算法的基本原理、数据结构设计(如链表和栈)、核心代码实现及应用实例,展示了算法在图像编辑等领域的高效性和灵活性。同时,文中也讨论了算法的优缺点,如实现简单但可能存在堆栈溢出的风险等。
609 0
|
机器学习/深度学习 存储 算法
数据结构与算法——BFS(广度优先搜索)
数据结构与算法——BFS(广度优先搜索)
|
存储 算法
BFS算法的实现
BFS算法的实现
162 1

热门文章

最新文章