【论文复现】风光制氢合成氨系统优化研究(Python代码实现)

简介: 基于蓄电池进行调峰和频率调节研究【超线性增益的联合优化】(Matlab代码实现)

👨‍🎓个人主页

💥💥💞💞欢迎来到本博客❤️❤️💥💥

🏆博主优势:🌞🌞🌞博客内容尽量做到思维缜密,逻辑清晰,为了方便读者。

⛳️座右铭:行百里者,半于九十。

💥1 概述

文献来源:

image.gif 编辑

摘要-我们考虑通过联合优化框架同时使用电池存储系统进行调峰和频率调节,该框架捕获电池退化、操作约束以及客户负载和调节信号的不确定性。在此框架下,我们使用真实数据显示,用户的电费可降低12%。此外,我们证明,当电池用于两个单独的应用程序时,联合优化的节省通常大于最优节省的总和。提出了一种简单的阈值实时算法,实现了这种超线性增益。

与之前专注于将电池存储系统用于单一应用的工作相比,我们的结果表明,如果电池联合提供多种服务,它们可以获得比以前想象的更大的经济效益。

指标术语-电池管理系统,数据中心,频率调节服务,电力系统经济。

TTERY储能系统在电力系统运行中正变得越来越重要。随着不确定性和间歇性可再生资源的渗透增加,存储系统对能源系统的稳健性、弹性和效率至关重要。例如,研究表明,到2050年,加州将需要22吉瓦的储能,而整个美国可能需要152吉瓦的储能。这些容量中的大部分预计将由个人消费者拥有的分布式存储系统实现。

目前,拥有大量存储空间的两种最突出的消费者类型是信息技术公司和大型建筑物的运营商。微软和谷歌等公司在其数据中心广泛使用电池存储,作为故障转移到现场本地发电[4]。

今天,尽管这些电池存储系统有潜力用于电网服务,但它们并没有与电力系统集成。对于存储所有者来说,电池是否参与电网服务主要取决于这些服务的经济效益。例如,在正常情况下,数据中心每四年更换一次电池[6]。如果电池参与电力市场,电池可能会更快地退化,需要更频繁地更换。来自市场的收益是否证明额外的运营和资本成本是合理的?以最佳方式运行电池以最大化其经济效益的问题是一个核心问题,并刺激了大量的研究。问题包括能源套利、调峰、频率调节、需求响应等(如[7]-[10]及其参考文献)。在过去的几年里,人们已经认识到,由于电池[11]的高资本成本,服务于单一应用往往很难证明其投资[12]是合理的。此外,选择单一应用程序并没有考虑到多种收入流的可能性,可能会“把钱留在桌子上”。

因此,最近的一系列研究已经开始分析电池的能源套利和调节服务[13],[14]的共同优化。

本文思想上接近[13],它捕捉了未来市场的不确定性和多个应用程序的时间尺度差异。但是,与[12]、[13]相比,我们的工作有两个重要的贡献:1)我们提出了电池进行调峰并提供频率调节服务的联合优化框架。该框架考虑了电池退化、操作限制以及客户负载和调节信号的不确定性。据我们所知,之前的所有工作都没有在优化模型中考虑电池的运行成本,这可能会导致激进的充放电响应和严重的次优操作[12]-[16]。

由于电池在用于频率调节和调峰时,每天循环多次,因此降解效应在决定其运行时起着重要作用。

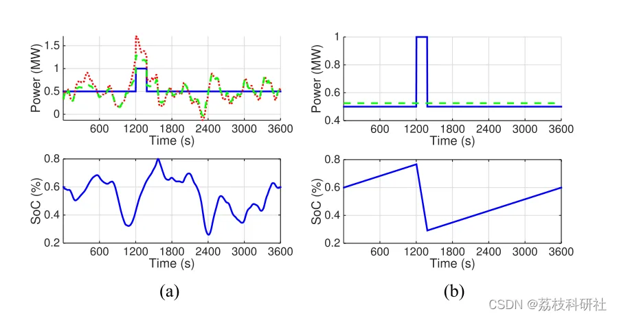
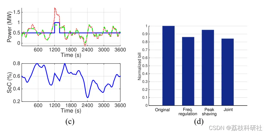
2)我们证明了存在一个超线性增益:其中联合优化的收益大于执行单个应用的总和。我们使用来自两个大型商业用户的真实数据来量化这一收益:微软数据中心和华盛顿大学EE & CSE CSE大楼。图2给出了两种情况下的每日负荷剖面示例。超线性增益与[13]-[15]中先前的观察结果有本质区别,[13]-[15]中仅比较了单个应用的协同优化收益,而不是应用的总和。[12]的结果暗示了协同优化收益与多个收益流之和之间的关系,而主要关注的是不同应用之间的权衡及其“次可加性”。我们在工作中观察到的关键是,如果电池通过探索不同应用的多样性来共同提供多种服务,那么它们可以获得比以前想象的更大的经济效益。

基于蓄电池进行调峰和频率调节研究【超线性增益的联合优化】研究

摘要

本研究旨在探讨通过联合优化框架同时使用电池存储系统进行调峰和频率调节的可行性及效益。该框架综合考虑了电池退化、操作约束以及客户负载和调节信号的不确定性。研究结果显示,在此框架下,用户的电费可降低12%。此外,当电池用于两个单独的应用程序时,联合优化的节省通常大于最优节省的总和,证明了超线性增益的存在。

1. 引言

随着不确定性和间歇性可再生资源的渗透增加,储能系统在电力系统运行中的重要性日益凸显。到2050年,加州预计需要22吉瓦的储能,而整个美国可能需要152吉瓦的储能。这些容量中的大部分预计将由个人消费者拥有的分布式存储系统实现。信息技术公司和大型建筑物的运营商是拥有大量存储空间的两种主要消费者类型。微软和谷歌等公司在其数据中心广泛使用电池存储,作为故障转移到现场本地发电的备用电源。然而,尽管这些电池存储系统有潜力用于电网服务,但它们目前并未与电力系统集成。

2. 研究背景

电池存储系统是否参与电网服务主要取决于这些服务的经济效益。例如,数据中心通常每四年更换一次电池,但如果电池参与电力市场,可能会更快地退化,需要更频繁地更换。因此,如何以最佳方式运行电池以最大化其经济效益成为了一个核心问题。过去的研究已经认识到,由于电池的高资本成本,服务于单一应用往往很难证明其投资是合理的。此外,选择单一应用程序并没有考虑到多种收入流的可能性,可能会错失潜在的经济收益。

3. 联合优化框架

本研究提出了一个联合优化框架,该框架同时考虑电池存储系统的调峰和频率调节服务。该框架不仅考虑了电池退化、操作约束,还考虑了客户负载和调节信号的不确定性。通过这一框架,可以实现对电池充放电策略的实时优化,以最大化其经济效益。

4. 研究方法

我们采用了一种简单的阈值实时算法来实现这种超线性增益。该算法根据电池的状态、客户负载和调节信号实时调整电池的充放电策略。通过使用来自两个大型商业用户的真实数据(微软数据中心和华盛顿大学EE & CSE大楼)进行模拟和验证,我们量化了联合优化的收益。

5. 研究结果

研究结果显示,在联合优化框架下,用户的电费可降低12%。此外,我们还证明了存在一个超线性增益:当电池用于两个单独的应用程序时,联合优化的节省通常大于最优节省的总和。这一发现表明,如果电池能够联合提供多种服务,它们可以获得比以前想象的更大的经济效益。

6. 讨论

本研究的结果对于电池存储系统在电力系统中的应用具有重要意义。首先,它证明了联合优化可以显著提高电池的经济效益,降低用户的电费。其次,通过探索不同应用的多样性来共同提供多种服务,电池可以获得更大的经济效益。最后,这一研究为电池存储系统在电力系统中的集成和优化提供了新的思路和方法。

7. 结论

本研究通过提出一个联合优化框架,实现了电池存储系统在调峰和频率调节服务中的超线性增益。研究结果显示,联合优化可以显著降低用户的电费,并提高电池的经济效益。这一发现为电池存储系统在电力系统中的应用提供了新的视角和可能性。未来,随着技术的不断进步和应用范围的扩大,电池存储系统将在电力系统中发挥更加重要的作用。

📚2 运行结果

2.1 文献结果

image.gif 编辑

image.gif 编辑

2.2 复现结果

image.gif 编辑

image.gif 编辑

image.gif 编辑

image.gif 编辑

🎉3 参考文献

相关文章
|
3月前
ABCDEF题重磅更新|2025年华为杯|研究生数学建模|思路、代码、论文|持续更新中....
ABCDEF题重磅更新|2025年华为杯|研究生数学建模|思路、代码、论文|持续更新中....
226 3
|
29天前
|
机器学习/深度学习 数据采集 存储
创新型调制方案——剪枝DFT扩展FBMC结合SC-FDMA优势研究(Matlab代码实现)
【负荷预测】基于VMD-LSTM的负荷预测研究(Python代码实现)
146 71
|
缓存 数据库
定时器的应用场景?
定时器的应用场景?
1018 0
|
5月前
|
存储 资源调度 并行计算
# Qwen3-8B 与 Qwen3-14B 的 TTFT 性能对比与底层原理详解
通义千问Qwen3系列是通义实验室2025年推出的最新大模型,包含多种参数版本,其中Qwen3-8B与Qwen3-14B均支持32K token上下文。Qwen3-8B参数量较小,响应更快,适合低延迟交互;Qwen3-14B参数更多,推理更强,适用于复杂任务。两者在TTFT、架构优化、量化技术及部署方案上各有侧重,满足多样应用场景需求。
2628 10
|
20天前
|
人工智能 自然语言处理 运维
起飞啦,太easy啦!!!小白的神级AI辅助工具,一句话即可搭建超50个节点的工作流~~~~
n8n-MCP是专为n8n打造的AI智能中间件,让大模型“读懂”节点与属性,通过自然语言自动生成复杂工作流。支持541个节点、2700+模板,兼容Claude、Cursor等AI工具,显著降低自动化门槛,提升构建效率,助力技术与非技术人员高效协作。
178 0
|
29天前
|
传感器 机器学习/深度学习
【永磁同步电机】基于自适应SDRE的非线性无传感器速度控制PMSM驱动器研究(Simulink仿真实现)
【永磁同步电机】基于自适应SDRE的非线性无传感器速度控制PMSM驱动器研究(Simulink仿真实现)
|
6月前
|
机器学习/深度学习 运维 监控
实时异常检测实战:Flink+PAI 算法模型服务化架构设计
本文深入探讨了基于 Apache Flink 与阿里云 PAI 构建的实时异常检测系统。内容涵盖技术演进、架构设计、核心模块实现及金融、工业等多领域实战案例,解析流处理、模型服务化、状态管理等关键技术,并提供性能优化与高可用方案,助力企业打造高效智能的实时异常检测平台。
455 1
|
JavaScript 前端开发
JS如何配合input框实现模糊搜索
JS如何配合input框实现模糊搜索
424 2
|
机器学习/深度学习 算法 PyTorch
【深度学习】深度学习基本概念、工作原理及实际应用案例
深度学习是一种机器学习方法,它试图模拟人脑中的神经网络结构,以解决复杂的问题。深度学习的核心在于构建多层非线性处理单元(即神经元)的网络结构,这些网络可以从原始数据中自动提取特征并进行学习。
4170 1
|
机器学习/深度学习 人工智能 算法
主流AI服务——大专生新就业之路
主流AI服务——大专生新就业之路
613 0