题目
给定一个链表,返回链表开始入环的第一个节点。 如果链表无环,则返回 null。
为了表示给定链表中的环,我们使用整数 pos 来表示链表尾连接到链表中的位置(索引从 0 开始)。 如果 pos 是 -1,则在该链表中没有环。
说明:不允许修改给定的链表。
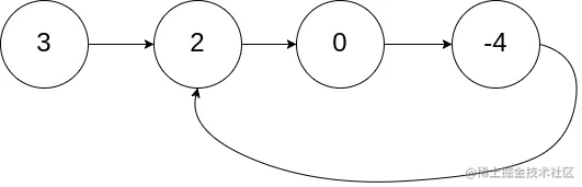
示例 1: 输入:head = [3,2,0,-4], pos = 1 输出:tail connects to node index 1 解释:链表中有一个环,其尾部连接到第二个节点。
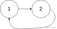
示例 2: 输入:head = [1,2], pos = 0 输出:tail connects to node index 0 解释:链表中有一个环,其尾部连接到第一个节点。
示例 3: 输入:head = [1], pos = -1 输出:no cycle 解释:链表中没有环。
进阶: 你是否可以不用额外空间解决此题?
解题思路
class Solution: def detectCycle(self, head: ListNode) -> ListNode: # #存值做法 # numsList = [] # while head: # if head in numsList: # return head # numsList.append(head) # try: # head = head.next # except: # return None # return None # 双指针双倍速度走向,当相遇的时候,慢指针再走n步,就走到链表循环入口,而n步也是从头部走到入口的部数 left = right = head while right: try: left = left.next right = right.next.next except: return None if left == right: # 相遇后,入口的也开始走了 break right = head # right指针回到表头重新走 while left and right: if left == right: return left left = left.next right = right.next return None


